北京物流信息联盟

【天风金工吴先兴团队】FOF专题研究:基于风格因子视角的FOF投资策略研究

2022-03-23 07:28:14

基金风格背景

  2017年以来我国金融环境日渐趋严,在金融“去杠杆”背景下,股债期三市震荡,市场大小盘风格分化,上证50独领风骚,创业板持续低迷,关于市场投资风格已经成为投资者谈论最多的话题之一。这里的风格传统上是指大/小盘、价值/成长这样的风格因子。但是针对股票类基金,其本质主要是由股票构成的,而股票在动量/反转等风格因子上具有更强的持续性。面对日益复杂的市场环境,如何有效选择投资标的基金以及合理配置在当前市场环境下已经变得越发重要。因此,本文将从基金持仓股票的风格因子视角出发,构建FOF投资组合优化模型,并开展相应的实证研究。
构建风格因子视角的基金组合优化模型
1
模型假设
  基金会在每半年度结束后2-3个月内公布其半年度报告(中报和年报),在半年度报告会披露基金在半年度末的全部持仓情况。但是,基金的半年度报告更新频率较低且时间较晚,无法准确反映基金的持仓变化情况。同时,基金会在每个季度结束后15个工作日公布季报,并在基金报中披露基金的重仓股持仓情况。重仓股与全部持仓相比,更新频率和有效性更好。因此我们将采用重仓股研究基金的投资风格。考虑到季报公布的频率,我们假定基金重仓股在季报公布后1个季度内不变。
目标函数

  多因子模型是应用较为广泛的收益模型。多因子模型认为存在一个相对精简的因子集合,这些因子驱动了资产收益率,而不能由这些因子解释的收益被认为是资产的特质收益率。因此,股票收益率可以表示为市场收益率、行业收益率、风格因子收益率以及特质收益率的线性组合。即:

短期内股票的行业暴露基本是不变的,主要发生变化的是股票的风格因子暴露,同时假定假定特质收益率与这些因子不相关,则上式可以简化为

r=Xf+u

对上式求解期望即可得到股票的预期收益与因子预期收益间的关系,即

Q=X*E(f)

其中:Q=E(r)。这样,预期收益项就可以使用因子暴露和因子预期收益来估计。而因子暴露是可以直接获得的,而预期因子收益需要估计。通常,在组合优化模型中,预期收益取过去一段时间因子收益的平均值。在每一期,可以用t期股票收益率对t-1期因子暴露进行横截面回归,从而得到t期的因子预期收益率。本报告参考Barra USE4(The Barra US Equity Model)、CNE5(The Barra China Equity Model)的方法估计因子收益率。

  假设在t季报共有M只基金,基金重仓股形成的规范化投资权重为A。,K个风格因子暴露矩阵为X,过去一段时间的因子收益的期望为E(f),则全市场股票预期收益为Q=X*E(f)。假设w表示基金的投资权重,则基金组合的预期收益为A*Qw。我们希望基金组合的预期收益最大化,即

可见,基金组合的目标函数仅涉及了收益项。而传统的组合优化目标函数会包括三个部分,分别为收益项、风险项和成本项。由于我们使用基金重仓股近似代替全部持仓,所以组合的风险项是很难精准控制的,且基金的换仓频率较低,因此我们并未在目标函数中加入风险项和成本项。

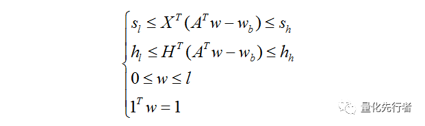
约束条件

  增加约束条件并不会提高基金组合优化模型的事前优化结果。事实上,当增加约束条件时,模型的可行域会减小。因此,从优化结果的角度来看,有约束优化问题的最优解一定不会优于无约束问题的最优解。然而,在实际中,增加约束条件的优化模型在样本外往往能够获得更好的表现。约束条件可能有助于控制组合的波动,减少下侧风险(Downside Risk)等。约束条件包括:

  (1)风格因子暴露约束。限制基金持仓组合相对于基准指数的风格因子暴露:
  (2)行业因子暴露约束。限制基金持仓组合相对于基准指数的风格因子暴露:
  (3)投资权重约束。限制卖空,并且限制单只基金权重上界:
  (4)组合仓位约束。限制基金持仓组合满仓,即要求投资权重和为1:

  综合上述约束条件,即可得到基金组合优化模型的约束条件为:


基金组合优化模型
  当综合上述的目标函数和约束条件,基金投资组合优化模型可以表述为:

  接下来,我们将对基金组合优化模型给出细致的算法操作流程,具体如下所示:
  (1)使用MATLAB软件从Wind底仓数据库中提取全市场股票信息和股票类基金信息;
  (2)从基金的上市时间、基金规模、持仓比例和持股集中度等方面对基金数据进行清洗,得到每期的优选基金,并提取每只优选基金的重仓股信息;
  (3)基于2.2节中的多因子收益分解模型对每期全市场的股票进行分析,确定因子风险暴露,以及股票的预期收益信息;
  (4)引入基金指数(如沪深300指数等),分析基金成份股确定成份股的投资权重;
  (5)依据2.2节中的公式,以优选基金重仓股信息和股票预期收益构建基金组合优化模型的目标函数;
  (6)依据2.3节中的公式,以因子风险暴露、基准指数成份股权重,以及政策和投资者等方面的要求,构建基金组合优化模型的约束条件;
  (7)结合目标函数和约束条件,构建基金投资组合优化模型开展实证研究,并引入绝对收益、超额收益和相对最大回撤等指标对策略评价分析。
图1:基于风格因子的基金投资组合模型操作流程图

资料来源:天风证券研究所


FOF投资组合优化策略实证分析

1
数据采集与处理
  本文从万得(Wind)数据库中选取2009年1月至2017年7月间所有已经上市股票信息,沪深300指数及其成份股信息,股票类基金(普通股票型基金、增强指数型基金、偏股混合型基金、平衡混合型基金和灵活配置型基金)信息等。由于《指引》对公募FOF投资的基金作出了限制,如不得持有具有复杂和衍生品性质的基金(如分级基金等);被投资基金运作期限应不小于1年;被投资基金最近定期报告披露的基金净资产应当不低于1亿元等。为保证分析的有效性和准确性,以及匹配调仓的频率,本文将对基金数据进行清洗,针对每月末的清洗步骤如下:
  ①剔除当前上市不满3年或者在未来1年内会退市的基金;
  ②剔除当前基金规模不足2亿元的基金;
  ③剔除当前基金持仓比例低于80%的基金;
  ④剔除基金重仓股持股集中度低于40%的基金。
  经过以上数据清洗后得到2009年3至2017年7月间每个季度满足公募FOF投资需求的优选基金数量。可以发现,优选基金中主要以偏股混合型为主,近年来普通股票型基金和灵活配置型基金的数量有所增加。


  针对风格因子,本文将从规模、技术反转、流动性、波动性、估值、成长、质量等7个维度选取了7个典型的因子构建股票风格因子度量指标,具体信息如下表所示。

表1:风格因子信息统计表

  同时,对于行业因子,为了充分区分股票的行业特征,本报告在中信一级行业分类的基础上,将银行业分为国有银行和股份制与城商行,将非银行金融分为证券、保险和信托及其他,共计32个行业。
  在每一期,我们选择过去12个月月末风格因子和行业因子与下期指数月度收益率进行回归分析,计算过去12个月的因子收益。对因子收益求均值作为未来一个季度的因子期望收益。


回测结果展示
  本节将基于上述的基于风格因子的基金投资组合模型构建FOF投资策略。具体策略设置如下:
  回测区间:2009年1月-2017年7月(其中前12个月用于第一期样本内因子暴露的计算);
  调仓频率:每个季度结束下一个月末;
  基金池:每期优选基金池,即
     ①上市满3年且在1年内不会退市;
     ②基金规模在2亿元以上;
     ③基金持仓比例不低于80%;
     ④基金重仓股持股集中度不低于40%。
  投资权重:以组合优化结果为投资权重,最大投资权重不超过20%;
  参数设置:风格因子相对暴露上界为0.1,下界为-0.1;行业因子相对暴露为0.1,下界为-0.1;
  交易成本:申购费1%%,赎回费0.5%。
  因此,基于风格因子视角的FOF投资组合优化策略回测结果如下所示。
图2:FOF投资组合净值曲线图

  上图中绘制了FOF投资组合优化策略的净值曲线图,同时引入沪深300基准指数和FOF投资组合与沪深300指数相对强弱曲线。可以发现,2010年以来FOF投资组合明显跑赢沪深300,且2013年下半年以来超额收益越发明显,相对强弱曲线平稳增长。2010年2月至2017年7月间,沪深300指数累计收益率为16.66%,最大回撤为46.70%,而FOF投资组合的累计收益率为67.48%,最大回撤为43.74%,累计超额收益达到了50.83%。

表2:FOF投资组合分年度收益风险统计表

  上表中对FOF投资组合策略年度收益风险进行了统计,可以看到:全回测期内,FOF投资组合的年化超额收益为5.04%,除2011年和2014年外,其他年份的超额收益率均为正,且相对最大回撤都控制在10%以内。特别地,自2015年以来,随着优选基金数量的增加和基金类型的多元化,使得FOF投资组合的超额收益越发稳定。
  同时,结合上图中相对强弱曲线走势可以发现,FOF投资组合的超额收益出现亏损以及出现较大相对回撤主要发生在牛市阶段,此时市场中小盘股明显比大盘股表现更为优异,以重仓股识别的基金在这种行情下整体上是很难跑赢市场指数的。


稳健性检验
  为进一步检验策略结果的稳健性,本文将对基金组合优化模型的参数敏感性进行分析,统计不同参数下策略的收益表现。基金组合优化模型中主要有两组参数,分别为风格因子相对暴露界限和行业因子相对暴露界限。为方便检验,我们假定风格因子相对暴露的上界与下界互为相反数,行业因子相对暴露的上界与下界互为相反数,这样基金组合优化模型只需要检验两个参数,分别为风格因子相对暴露的上界sh和行业因子相对暴露的上界hh。

  为了综合考虑sh和hh同时变动对本模型回测结果的影响,本文以0.05为步长对风格因子相对暴露的上界sh取值在0.05到1之间进行分割,以0.05为步长对行业因子相对暴露的上界hh取值在0.05到1之间进行分割,形成20×20的sh*hh网格,在保证其他参数不变的情况下,以网格节点处值为参数进行策略回测研究,计算回测区间的各项统计指标情况,结果如下面各图所示。

图3:FOF投资组合策略年化超额收益率的参数敏感性变化曲面图

图4:FOF投资组合策略相对最大回撤的参数敏感性变化曲面图

图5:FOF投资组合策略稳定性度量IC值的参数敏感性变化曲面图

资料来源:Wind,天风证券研究所

  上面各图中绘制了不同参数下FOF投资组合策略的年化超额收益、相对最大回撤和IC值的变化曲面图。可以发现,行业因子相对暴露上界的变化对策略的影响不大;而随着风格因子相对暴露上界的增加,策略的年化超额收益先逐渐增加后减小,而策略的相对最大回撤逐渐增大,策略的IC值先快速增大后逐渐减小,表明风格因子相对暴露上界的增加虽然可以提升策略的年化超额收益率,但是会增加策略的相对最大回撤且使得月度超额收益的IC值稳定性降低。因此,应该选取风格因子相对暴露上界较小的参数。同时,上节FOF投资组合优化策略中,行业因子相对暴露上界取0.1,风格因子相对暴露上界取0.1,可视作是一个较为稳定的局部最优解。


总结与展望






  本报告基于基金重仓股具有较强持续性的假设前提下,引入多因子收益分解模型估计股票的预期收益,以基金重仓股组合预期收益最大化作为目标函数,以因子暴露约束、,构建了基金组合优化模型。同时,给出了模型实证过程的全部操作流程。
  本报告以沪深300指数为基准指数,基于上节中构建的基金组合优化模型进行实证研究,构建FOF投资组合策略。策略从规模、技术反转、流动性、波动性、估值、成长、质量等7个维度选取了7个典型的因子作为风险因子,选取中信行业分类作为行业因子。
  实证结果发现,2010年以来FOF投资组合明显跑赢沪深300,且2013年下半年以来超额收益越发明显,相对强弱曲线平稳增长。2010年2月至2017年7月间,沪深300指数累计收益率为16.66%,最大回撤为46.70%,而FOF投资组合的累计收益率为67.48%,最大回撤为43.74%,累计超额收益达到了50.83%。FOF投资组合的年化超额收益为5.04%,除2011年和2014年外,其他年份的超额收益率均为正,且相对最大回撤都控制在10%以内。同时,经参数的稳健性检验,模型具有较强的稳健性。
  当然,本报告旨在提出一种基于风格因子视角的FOF投资组合优化模型,但是在风格因子的选择,模型约束条件的设置等方面都存在诸多改进的地方,因此在接下来的研究中我们将针对基金组合优化模型的各个模块进行系统的分析和优化。


风险提示
  本报告为基于历史数据统计结果,市场结构的调整和因子变动等风险均可能使得模型失效。

点击最下方“阅读原文”,查看完整报告~ 



天风金工专题报告一览

1 《金融工程:专题二十九-基于动态风险控制的组合优化模型》 2017-09-21

2 《金融工程:国债期货套期保值实证》 2017-09-04

3 《金融工程:MHKQ因子择时模型在A股中的应用》 2017-08-15

4 《金融工程:专题报告二十三-自适应收益预测模型下的组合优化策略》 2017-08-14

5 《金融工程:FOF专题研究(四):景顺长城沪深300增强指数型基金》2017-08-10

6 《金融工程:专题报告二十一-买卖压力失衡——利用高频数据拓展盘口数据》2017-08-01

7 《金融工程:FOF 专题研究(三):华泰柏瑞量化A偏股混合型基金》2017-07-24

8 《金融工程:专题报告十九-半衰IC加权在多因子选股中的应用》2017-07-22

9 《金融工程:FOF专题研究(二):国泰估值优势偏股混合型基金》2017-07-17

10 《金融工程:专题报告-私募EB正股的投资机会》2017-07-11

11 《金融工程:FOF专题研究(一):银华中小盘精选偏股混合型基金》2017-07-06

12 《金融工程:中期策略会纪要1:天风金工“四位一体”仓位管理体系》2017-06-27

13 《金融工程:专题报告-国债期货组合趋势策略:以损定量,顺势加仓》2017-06-19

14 《金融工程:专题报告-戴维斯双击》2017-06-12

15 《金融工程:专题报告-反转现象的选择性交易策略》    2017-06-01

16 《金融工程:专题报告-国债期货展期价差交易》    2017-05-25

17 《金融工程:专题报告-基于高管增持事件的投资策略》   2017-05-14

18 《金融工程:专题报告-2017年6月沪深重点指数样本股调整预测》   2017-05-06

19 《金融工程:专题报告-预知业绩能有多少超额收益?》 2017-04-16 

20 《金融工程:专题报告-策略的趋势过滤》 2017-03-22

21 《金融工程:专题报告-日间趋势策略初探》 2017-03-10

22 《金融工程:专题报告-基于自适应破发回复的定增选股策略》 2017-03-09

23 《金融工程:专题报告-定增节点收益全解析》 2017-03-06

24 《金融工程:专题报告-潜伏ST摘帽》 2017-03-06

25 《金融工程:专题报告-量化CTA策略概述》 2017-02-14

26 《金融工程:专题报告-潜伏业绩预增》 2017-02-13

关注我们

分析师:吴先兴
执业证书号:S111051612001
Tel:18616029821
Email:wuxianxing@tfzq.com
分析师:张欣慰
Tel:13818851963
Email:zhangxinwei@tfzq.com
联系人:陈奕

Tel:18516639613

Email:chenyi@tfzq.com
联系人:罗彧文
Tel:13162526158
Email:luoyuwen@tfzq.com
联系人:杨怡玲
Tel:13776619525
Email:yangyiling@tfzq.com
联系人:阚文超
Tel:18717948990
Email:kanwenchao@tfzq.com
联系人:许金涛
Tel:15251892319
Email:xujintao@tfzq.com
联系人:韩谨阳
Tel:13270752203
Email:hanjinyang@tfzq.com


风险提示:本报告为基于历史数据统计结果,市场结构的调整和因子变动等风险均可能使得模型失效。

注:文中报告节选自天风证券研究所已公开发布研究报告,具体报告内容及相关风险提示等详见完整版报告。

证券研究报告

《天风证券-专题报告:基于风格因子视角的FOF投资策略研究  2017-09-18》

对外发布时间

2017年09月18日

报告发布机构

天风证券股份有限公司

(已获中国证监会许可的证券投资咨询业务资格)

本报告分析师

吴先兴 SAC 执业证书编号: S1110516120001


友情链接

Copyright © 2023 All Rights Reserved 版权所有 北京物流信息联盟