《制造技术与机床》杂志  
1951年创刊,属中文核心期刊,中国科技论文统计用刊和《中国学术期刊文摘》摘录用期刊。
[ 本文共1359字,预计阅读时间4分钟 ]
![]()
成形磨齿工艺参数对磨削温度影响规律的研究(上)
成形磨削过程中砂轮在短时间内去除材料时会产生很高的温度且只有小部分被带走,这些集中在齿面表层的热量达到一定程度时,会造成齿面材料金相组织变化,导致磨削烧伤、残余应力和裂纹等热损伤问题,这将严重影响齿轮的使用性能。由于磨削过程受到多种因素的影响,很多学者在温度场理论基础上运用计算机仿真技术,对磨削弧内温度场分布特点进行了仿真研究。毛聪采用圆弧热源模型进行了平面磨削温度场的三维数值仿真,其结果与实验数值吻合度非常好。,采用移动热源理论和有限元法建立了磨削温度场有限元分析三维模型和磨削瞬态温度场,以此仿真研究了磨齿时的瞬态热应力和热裂纹。高航基于已建立的断续磨削温度场数学模型,编制了计算断续磨削温度场分布的通用软件,用此软件可模拟出多种断续比下的温度分布特征。而目前对斜齿轮成形磨削热的研究鲜见报道。
本文根据矩形移动热源理论,使用有限元软件ANSYS对斜齿轮成形法磨削过程进行瞬态温度场模拟仿真,可得到齿面温度场在不同磨削工艺参数下的分布状况。
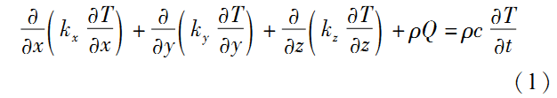
在斜齿磨削过程中,砂轮与齿面接触形成一个以一定速度移动的面热源,导致齿面温度呈瞬时变化。根据能量守恒原则及传热学理论,将磨削过程转化为三维传热问题。在三维传热求解域Ω内,磨削区瞬态温度场的温度变量T(x,y,z,t)在直角坐标系中应该传热平衡,则有方程:
![]()
式中:方程右边为微分体吸收的总热量;方程左边前三项分别表示沿着坐标系x、y、z方向传入微分体的热量;方程左边第四项为微分体内热源产生的热量。被加工齿轮没有内热源,故在求解域Ω内ρQ=0。
在求解方程(1)时,求解域Ω内的温度特征必须满足初始和边界条件。在干磨工况下,假设齿轮各面与空气不存在对流换热,而初始条件就是磨削开始时工件自身的温度分布状况,即第一类边界条件![]() ,假定域Ω的初始温度为25 ℃。磨削开始后,形成的移动面热源在磨削区上输入热流密度,即第二类边界条件
,假定域Ω的初始温度为25 ℃。磨削开始后,形成的移动面热源在磨削区上输入热流密度,即第二类边界条件![]() 。这两类边界条件的控制方程经热传导和热量守恒定律推导如下:
。这两类边界条件的控制方程经热传导和热量守恒定律推导如下:
在![]() 边界上,
边界上,
![]()
在![]() 边界上,
边界上,
![]()
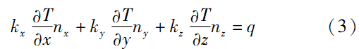
式中:![]() 表示Γ1边界上温度值;kx、ky、kz分别为齿轮材料沿坐标系中x、y、z方向的导热系数;nx、ny、nz分别表示为边界外法线的方向余弦;q=q(Γ,t)为Γ2边界上给定的热流密度。
表示Γ1边界上温度值;kx、ky、kz分别为齿轮材料沿坐标系中x、y、z方向的导热系数;nx、ny、nz分别表示为边界外法线的方向余弦;q=q(Γ,t)为Γ2边界上给定的热流密度。
利用有限元法的离散化原则,把斜齿轮单齿划分为有限个单元。考虑边界条件![]() ,并在一短时间内把磨削时产生的热流密度加载于边界单元
,并在一短时间内把磨削时产生的热流密度加载于边界单元![]() 上,由于磨齿温度场的场函数是空间域Ω和时间域t的函数,但域Ω和t本身不是耦合的,因此可以采用部分离散的方法获得有限元法干式磨削温度场的数学模型:
上,由于磨齿温度场的场函数是空间域Ω和时间域t的函数,但域Ω和t本身不是耦合的,因此可以采用部分离散的方法获得有限元法干式磨削温度场的数学模型:
![]()
式中:ρ为材料密度;c为材料比热;Ω为空间域;Ti为单元节点温度;Ni/Nj为插值函数; i,j=1,2,…,n。
方程(4)满足具有第二类边界条件的单元,采用加权余数法能建立温度场的总热传导矩阵[K],利用软件ANSYS就可求解出齿面磨削区的温度分布。
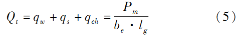
在磨削斜齿轮时,砂轮磨除金属材料时会产生极高的热量并流入工件表面,这导致齿面温度升高,因此要对进入磨削区的热量进行计算。干磨工况下假设这些热量全部传入齿面、砂轮和磨屑中,所以磨削弧内总热流密度Qt分别进入齿面的热流密度qw、砂轮的热流密度qs和磨屑的热流密度qch。而总热流密度Qt可根据单位接触面积belg和机床主轴传递给砂轮的磨削功率Pm来计算,即有:
![]()
式中:be表示磨削宽度;Pm=Ftvs,其中Ft表示切向磨削力;vs表示砂轮线速度;lg表示几何磨削弧长,其值![]() ,其中D为砂轮直径,ap为磨削深度。
,其中D为砂轮直径,ap为磨削深度。
根据Malkin的研究,磨屑带走的热量可由极限磨削能ech计算,在单位时间内齿面材料的去除率为磨削宽度be、磨削深度ap和砂轮进给速度vw之积,则磨屑带走的热流密度qch可由磨屑能和单位接触面积belg来计算,则有:
![]()
式中:Tm为齿轮材料熔点;ρw为齿轮材料密度;cw为齿轮材料比热;vw为砂轮进给速度。
在Hahn提出的热量分配模型中,其认为进入磨屑的热流量与该模型分析无关,则由工件和砂轮吸收的热流密度qws=qw+qs,可得出工件与砂轮的热量分配比Rws=qw/qws,即为:
![]()
式中:kg为砂轮磨粒导热率;![]() 为齿轮材料热接触系数;r0为砂轮磨粒与磨削面有效接触半径取值15 μm。
为齿轮材料热接触系数;r0为砂轮磨粒与磨削面有效接触半径取值15 μm。
由式(5)~(7)可得干磨时流入齿面磨削区的热流密度为:
qw=(Qt-qch)Rws                                            (8)
斜齿轮参数为:左旋,螺旋角β=16°,模数m=5 mm,齿数Z=25,压力角α=20°,齿顶高系数ha*=1,顶隙系数c*=0.25,齿宽B=30 mm。齿轮材料为40Cr钢,熔点Tm=1 400°。砂轮材料为棕刚玉,导热率kg=35 W/(m·℃)。考虑到工件材料的物理特性会随温度不断改变,如表1所示,因此把40Cr钢随温度变化的物理特性数值输入到仿真软件中,以提高仿真结果的准确性。
![]()
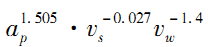
磨削工艺参数:砂轮直径D=400 mm,磨削宽度be=m(2ha*+c*)(cosα)-1=11.97 mm,磨削深度ap、砂轮线速度vs、砂轮进给速度vw和几何磨削弧长lg由表2所示,切向磨削力可由经验公式
![]()
![]() 计算得到。由材料物理特性和磨削工艺参数并根据公式(7)的计算结果显示,热量分配比Rws在不同温度下可近似为一常数,其值为90%,则热流密度qw由公式(8)计算可得。
计算得到。由材料物理特性和磨削工艺参数并根据公式(7)的计算结果显示,热量分配比Rws在不同温度下可近似为一常数,其值为90%,则热流密度qw由公式(8)计算可得。
![]()
将软件Pro/E5.0创建的斜齿轮单齿三维模型导入有限元分析软件ANSYS中,采用体扫掠方法进行网格划分,可得到离散化的单齿模型(图1所示)。划分单元时,选用的单元类型为三维热实体单元且有八个节点的Solid70,为保证计算时间的合理性,经过多次网格划分并进行仿真,最后选取的单元总数为68 250,节点总数为75 456。
![]()
本文采用矩形移动热源(图2)实现对磨削区热流密度的加载。通过设定“载荷步和子步”把磨齿过程作离散化处理,即每经过一个载荷步就表示磨削去除掉一个几何弧长的材料,并在这段磨削时间内对磨削区施加热流密度并开始计算,完成后,仿真软件会把此次的运算结果作为下一次仿真计算的初始条件。图2表示了热流密度qw均匀分布在磨削弧内,并沿着砂轮进给方向不断加载,直到磨削结束为止。由于磨削工艺参数是变化的,所以不同磨削工况下的仿真中载荷步总时间不一样。为提高仿真结果的准确度,所有载荷步均分为3个子步。仿真时根据APDL语言中的*Do循环命令可实现热载荷在齿面上的逐步加载,最终得到齿面三维仿真瞬态温度场随时间的变化情况。
欢迎大家积极留言,探讨不同观点!~
我多么想念你走在我身边的样子
想起来我的爱就不能停止
南京
![]()
微信号:o00jia
微信号:yatou880915
选择一个上面的个人微信号加为好友,注明加入读者群,之后会收到邀请,即可加入。
免责声明:本文系网络转载,版权归原作者所有。转载目的在于传递更多信息和学习之用,并不代表本公众号赞同其观点和对其真实性负责。但因转载众多,无法确认真正原始作者,故仅标明转载来源。如涉及作品版权问题,请及时联系我们,我们将删除内容以保证您的权益!在此,感谢一直喜欢和支持本公众号的朋友们!如果你有什么问题和建议请联系我们。Email:ad@mtmt.com.cn