北京物流信息联盟

配电变压器保护用熔断器式隔离开关片状熔体温度特性分析

2021-10-18 07:43:13

  摘要  
配电变压器保护用熔断器的拒动问题会导致配电变压器的过载烧毁,引起严重的事故后果。针对配电变压器保护用的熔断器式隔离开关的片状熔体,建立了一种计算其温升随电流变化的数学模型,提出一种精确计算熔体热交换系数的方法。通过建立三维热电耦合模型,利用ANSYS对熔体进行仿真,与熔体实际温度状况的实验相结合,验证了在低倍数电流下的熔体仿真结果能与实际情况较好地吻合,有利于对配电变压器保护用熔断器进行较为精准的特性仿真与型式设计。


配电变压器是配网中的核心设备,它的安全可靠运行,直接关系到供配电系统的稳定和用户的供电可靠。而当前配电变压器在过电流保护方面还存在保护不匹配或者死区的现象,极易造成越级掉闸、拒动,使事故扩大或恶化,降低了供电可靠性。特别是在2012年春节期间,广东电网10kV配电变压器共损坏462台,在后续开展的事故分析中发现,广东电网采用的低压熔断器合格率仅为25%;而熔断器式隔离开关的片状熔体的合格率仅为7.7%,其不合格的原因均为不满足约定熔断电流验证,即在1.6倍额定电流下不能在规定的时间内熔断。进一步试验证明,抽检片状熔体需要在2.4倍额定电流、甚至达到4倍额定电流才能熔断,大大超过标准要求,因此按照标准采用现有的片状熔体进行保护配置,完全不能达到保护目的,从而导致事故的发生。通过产品市场调查发现,目前在片状熔体设计方面,不同厂家的型式各不相同,片状熔体形状、断口形状尺寸各不相同,其性能也参差不齐。在与选型相关的标准中,对于其型式没有具体规定,各个厂家也没有投入足够的时间和精力进行深入研究,因此对于熔断器式隔离开关的片状熔体的研究迫在眉睫,在低过载电流倍数下熔体熔断时间和稳定温度的分析计算是其关键。

目前国内对于熔断器分断能力的研究,大多集中在高过载电流的情况下对熔断器的熔体进行弧前时间电流特性仿真。而对于低过载电流的情况,由于熔体存在与周围介质尤其是空气的热交换,现有的方法大多是根据经验公式来进行估算,导致现有的理论模型不能很好地计算出熔体的温升状况。本文旨在提出一种理论模型计算的方法和熔体热交换系数的计算方法,以得到片状熔体在低过载电流的情况下的温升状况,并通过仿真分析和试验,验证其正确性。

1 熔断器理论分析
1.1  熔体熔断物理过程分析

无论哪一种类型的熔断器,也不论其保护对象是什么,熔断器的工作原理相同。在电路中设置一个最薄弱的发热元件,称作熔体,当流过的电流超过一定数值时,熔体发热熔化并产生电弧,在周围灭弧介质作用下,熄弧熔断,开断电路,保护其他电器设备。熔断器熔体通电后,熔断的物理过程如图1所示。

t1是从起始温度到熔化点之间的时间;t2是熔化时间;t3是从完全熔化到汽化点之间的时间;t4是汽化时间;t5是燃弧时间。

在低电流倍数下,由于熔体温升较慢,与周围介质散热效果较为明显,从升温到熔断的时间较长,所以其熔断时间可以只考虑t=t1+t2。

1.2 熔体熔断的数学模型分析与计算

熔断器的熔体主要分为线状熔断器熔体和片状熔断器熔体两种。对于线状熔断器的熔体,其一般物理模型是圆柱体。对于片状熔断器的熔体,其一般的物理模型如图2所示。线状熔断器和片状熔断器在使用过程中是电场和温度场耦合的过程,其温升状况和电场作用时间存在一定的关系。两者之间的区别在于:对于线状熔体,由于自身粗细尺寸较为均匀,各部分产热与散热基本相同,所以可基本忽略熔体内部之间的热交换情况;而对于片状熔体,由于其模型一般较为复杂,各部分的电阻不尽相同,所以必须考虑熔体内部之间的热交换情况。为简化分析模型,分析计算的片状熔体物理模型如图3所示。

考虑将片状熔体划分成无数个非常小的计算单元,每个单元都是边长为r的正方体,对于每一个计算单元有如下关系式:

单元电阻


式中:熔体金属电阻率ρ1(T)=ρ0[1+a(T-T0)],与温度有关的变量;ρ0为常温下金属电阻率;a为电阻温度系数;T0为环境温度;T为熔体温度

单元吸收热量的计算公式为


式中:c为熔体的比热容;m0为单元的质量;dT为在时间dt内熔体的温升;dQ0为单元吸收的热量。

单元的质量计算公式为

式中ρ2 为熔体的密度。

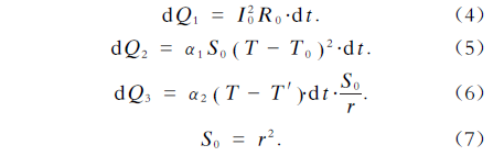
单元通过电流产生焦耳热量dQ1单元向周围介质交换的热量dQ2和单元之间交换的热量dQ3的计算公式见式(4)、(5)和式(6)。

式中:I0为单元通过电流的有效值;α1为随温度变化的变量;T为相邻单元的温度;S0为单元与周围介质或单元之间每个面接触的面积;α2为单元之间的热传导系数,是一个常数

熔体吸收的热量的计算公式为

式中n为单元与周围介质接触面的个数由于单元与周围介质最多有3个面接触,所以有0n3

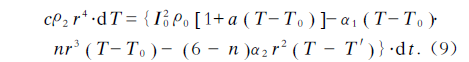
联立式(1)至式(8)可以得到单元温升与时间的微分关系式:

对式(9)进行积分则可以得到熔体温升和时间的关系式:


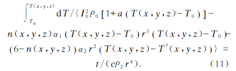
对于一个确定的片状熔体,其外尺寸是确定的在空间直角坐标系内对于每一个单元都有一个对应的坐标(x ,y ,z )与之对应,则式(1 0)可以改写为:


本节通过建立熔体温升过程的数学模型,得到熔体各部分温升的计算公式(11),可对其进行积分求解,最终得到熔体上某位置(x,y,z)的温度随时间的变化情况和其最终的稳定温度。

1.3 热交换系数分析

热交换系数反映流体与固体表面之间的换热能力,当物体表面与附近空气温差1K,单位时间单位面积上通过对流与附近空气交换的热量,其单位为W/(m2·K)。表面对流换热系数的数值,与换热过程中流体的物理性质,换热表面的形状部位,表面与流体之间的温差,以及流体的流速等都有密切关系物体表面附近的流体的流速愈大,其表面对流换热系数也愈大

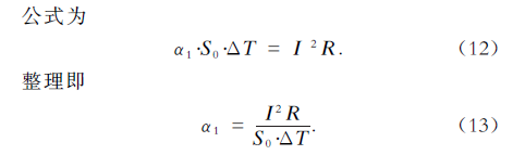
根据式(4)、(5)和式(6),如果某种特定熔体在稳定时各部分温升基本相同,那么当其在电流有效值I的作用下达到稳定温度T,其温升为ΔTT=T-T0),dQ3=0,根据傅里叶定律,其与某种特定介质的热交换系数α1的计算公式为

由式(13)可知,如果在熔体上加载不同大小的电流I1I2I3,并通过测定此时熔体表面的温升ΔT1、ΔT2、ΔT3,以及此时熔体的电阻R1R2R3,即可求出此时熔体与周围环境的热交换系数α1α2α3,再通过拟合,得到不同温度下熔体与周围介质的热交换系数

本节根据傅里叶定律得到熔体热交换系数的计算方法根据式(13)的计算公式,可以较为准确地计算出熔体在特定环境下的热交换系数,进而在仿真的过程中,可以较为准确地模拟熔体实际工作情况,提高仿真的精确度


2 现场试验


试验采用规格为500A的片状熔体,由合保电气(芜湖)有限公司提供试验时将片状熔体按照现场实际工况安装在熔断器式隔离开关上,在开关端口处施加电流恒定的工频交流电环境温度为20,在片状熔体上分别通入300A400A500A的电流,在熔体温度达到稳定后测量熔体的温升并记录,见表1其中,在通以500A电流时熔体的温升为262K,此时,表面的焊锡已经熔化,但由于表面张力作用还未滴落



3 仿真结果与分析


3.1  热交换系数计算

熔体的各项参数见表2、表3。片状熔体的主体材质是纯铜,。

根据表1和表2,结合式(13)分别计算熔体在不同电流所对应的温度条件下的热交换系数,并进行拟合,所得结果见表4和如图4所示由图4可以看出,本文所采用的片状熔体的热交换系数是随温度不断上升的变量,在温升较小的时候,热交换系数也较小;在温升较大的时候,热交换系数也较大将图中熔体的热交换系数随温度变化的曲线进行拟合,得到热交换系数α1与温升ΔT的关系式:

根据以上分析,采用式(12)得到的熔体与周围介质的热交换系数进行仿真计算。


3.2 仿真计算与分析

由于熔体的温升是一个温度场和电场耦合的复杂过程,一般采用有限元的方法进行求解本文采用有限元分析软件ANSYS进行计算ANSYS软件是集结构流体电磁场声场和耦合场分析于一体的大型通用有限元分析软件,可对电流场和温度场进行直接耦合计算

片状熔体的ANSYS仿真模型如图5所示根据表2和表3的数据和计算得到的热交换系数进行ANSYS仿真,得到如下结果

熔体通有300A400A500A的电流时,待熔体上温度稳定后,其表面的温度分布云图如图5(a)(c)所示,环境温度按照试验时的温度设置为20从图5可以看出片状熔体温度稳定时的温升分别为63K136K272K,与实际测得的平均值69K139K262K非常接近

当片状熔体上分别通有不同大小的电流时,记录仿真计算得到的稳定后熔体温升,见表5 。

由表5 可以看出,按照熔体温升计算模型式(13)进行仿真,可以较为准确地模拟熔体的实际工作情况。据此,可先通过仿真分析对熔体进行型式设计,再通过试验对仿真设计出的熔体进行准确性验证,为熔体型式设计指明了方向,极大地节约了设计成本,具有较高的工程意义。


4 结束语


本文以熔断器式隔离开关片状熔体为研究对象,提出了一种计算熔体温升随电流变化的数学模型和精确计算熔体热交换系数方法,并通过建立三维热电耦合模型,利用有限元分析软件ANSYS,对熔体温升随电流变化情况进行了仿真仿真结果显示:本文所提出的计算熔体热交换系数的方法,能够较为准确地反映熔体实际与周围介质的热交换情况,对于熔体温升计算,可使仿真结果与实际情况的误差小于8.7%,提高了仿真的精度利用本文提出的模型和方法对熔断器式隔离开关片状熔体进行设计,可提高设计的准确性,为工程应用提供便利

(本文来源:广东电力)


EPTC微官网位于微信自定义菜单处,下设E动态、会议通知、精华汇、技术成果等四栏,为您展示EPTC动态、聚集焦点信息。欢迎点击浏览。


欢迎关注EPTC

大板块:

 培训、智库、咨询


大职能服务体系:

 信息互动沟通

 专项技术交流

 标准协作宣贯

 成果创新应用

 技能培训咨询

 国际交流合作



欢迎关注EPTC

微信号:china-eptc

EPTC:立足行业、服务企业、联系政府、沟通社会,汇集国内外电力行业各细分领域顶级专家和技术精英,为电网公司和设备企业搭建起一个跨地域、跨部门、跨专业的互动交流平台。

友情链接

Copyright © 2023 All Rights Reserved 版权所有 北京物流信息联盟