北京物流信息联盟

【深度】​基于数字信道化接收机的聚类分选算法(上)

2022-01-03 15:18:19


今日荐文

今日荐文的作者为西安电子科技大学,专家张勇强,汤建龙本篇节选自论文《基于数字信道化接收机的聚类分选算法》,发表于《中国电子科学研究院学报》第12卷第2期。本文为论文的第一部分。

摘 要提出了一种适合数字信道化接收机的未知雷达辐射源聚类分选算法。该算法通过对数字信道化接收机产生的脉冲描述字(PDW)流融合预处理,对预处理后的PDW流进行网格密度聚类,获得雷达辐射源的初始分类结果后,利用累计差直方图法(CDIF)最优门限对虚警辐射源进行剔除,再合并处理生成辐射源描述字(EDW)。仿真结果表明,该算法能有效的用于数字信道化接收机的雷达信号分选。


关键词雷达信号分选 ;数字信道化接收机 ;网格密度聚类


引 言

雷达辐射源信号分选是电子侦察处理的关键技术,信号分选的效果直接影响着雷达侦察系统的整体作战效能。随着雷达技术的快速发展,雷达体制趋于多样化、复杂化、综合化,电子对抗所面临的电磁环境越来越复杂。目前雷达辐射源信号分选的准确性、实时性及可靠性均面临着严峻的挑战。


聚类分析实现脉冲序列去交错一直是雷达信号处理的重要方法,是一种无监督的学习方法。通过将数据集中的样本按一定的相似性度量和评价准则进行归并分类,聚类方法可发现数据集的内在组织结构,以便于人们更好地理解数据。


  • 聚类算法一般分为基于划分的方法、基于层次的方法、基于密度的方法、基于网格的方法以及基于模型的方法等。基于网格的聚类算法具有处理速度快,对数据对象的数目和输入顺序不敏感,可以处理任意类型的数据等优点,因此非常适合实时性要求高并且处理数据量大的雷达信号分选。


  • 目前基于网格密度聚类的雷达信号分选存在的主要问题:

(1)网格密度聚类算法数据源是利用设定的辐射源参数按一定的虚警率和漏警率直接生成PDW,未采用实际接收机所产生PDW,缺乏工程应用背景。

(2)由于线性调频信号PDW的复杂性,聚类分选算法并没有将它到考虑其中。针对以上问题,本文提出了一种改进的基于网格密度聚类的分选算法,以数字信道化接收机所产生PDW流为源数据,充分利用载频(RF)、到达时间(TOA)、结束时间(TOE)、能量(E)等特征参数进行聚类,完成未知雷达辐射源的分选。该算法无需人为设定聚类数目,实现自动聚类,对聚类结果准确提取雷达辐射源EDW的各特征参数,算法复杂度低,抗噪声干扰能力强,聚类精度高,适合处理大规模的雷达侦察数据。

1 改进的网格密度聚类分选算法


1.1 数据的融合预处理

单频信号经过数字信道化会使其频谱扩展,会在其频率两侧信道上产生PDW。线性调频信号经过数字信道化会使其频谱所在的多个连续的信道上产生PDW。因此,在聚类之前有必要进行数据融合。融合预处理流程图如图1所示。

 

图1  融合预处理流程图

 

其中,时间是否相继,信道是否相邻,均在一定容差范围内满足条件即可。LFM代表线性调频信号。


数字信道化接收机所产生PDW包含{载频(RF)、到达时间(TOA)、结束时间(TOE)、能量(E)}四个特征参数。由于信道特性不理想,对于单载频信号,会出现多信道同时检测,融合准则为:


(1) 单信道检测:直接输出PDW。

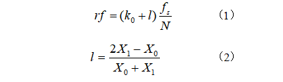
(2) 同时两信道检测:RF进行插值处理,实现对信号频谱谱峰的精确定位,降低测频误差。插值公式:

其中,rf为频率估计值,k0k1为同时检测的两信道,X0X1为各信道对应的的谱峰,fs为采样率,N为FFT宽度。


对于线性调频信号,多个相邻信道相继检测,相继检测指下一PDW的脉冲前沿时间小于当前PDW的脉冲结束时间,利用该特征合并PDW,记录其最低频率和最高频率。 


融合预处理后,PDW格式{RF0、RF1、PW、TOA、FLAG、E},增加了一维特征参数标志位(FLAG),FLAG=1表示为单载频,FLAG=2表示为LFM。PW为脉冲宽度。RF0和RF1为线性调频信号的起始频率和截止频率,对于单载频信号,RF0=RF1。


1.2 网格密度聚类算法

1.2.1 网格密度结构

给定s维(s表示空间的维数,如二维空间,三维空间)空间S中的一个点,其属性(S1,S2...,Ss)都是有界的,设第i维空间的值在区间[li,hi] 中,其中i=1,2,...,s,则 S=[l1,h1]*[l2,h2]*...*[ls,hs]。将空间S的第i维空间平均划分为ki个长度相等的区间段,每一维都被这样划分,这样空间S被划分为k1*k2*...*ks个网格单元。 如果两个网格单元共有边界或者顶点,则称这两个网格为邻居网格。网格密度是落入每个网格单元的数据点的个数。一个网格单元的密度大于或者等于密度阈值(Minpts)时,称该网格单元为高密度网格,否则称为低密度网格。一个聚类是高密度网格单元及其低密度邻居网格的集合。如果一个低密度网格单元的所有邻居都是低密度网格单元或者空白网格,那么该网格中的点为噪声点。


1.2.2 网格划分数ki和密度阈值Minpts

网格划分决定了网格尺寸,对聚类结果的准确性有重要影响。如果网格的尺寸太大,影响聚类准确性,如果网格的尺寸太小,网格单元数过多,会提高算法复杂度。采用网格划分的方式处理数据本质上是数据压缩,每一维划分数ki就代表了数据压缩的程度。本文对第i维选择一个固定的分辨率resi及最小值Mini和最大值Maxi,则每一维的划分数Ki的选择:  

密度阈值的作用是滤除混合在雷达脉冲信号中的噪声,减少噪声干扰。现有的网格聚类算法要求用户输入密度阈值来判定网格是否为高密度单元,密度阈值的不同可能会导致的聚类结果的不同。本文借鉴平均密度思想,计算得到Minpts

其中,G为生成的网格单元数目,deni为每个网格单元的网格密度,Max_den为生成的相交网格中的最大网格密度。


1.2.3 网格密度聚类主要步骤

预处理后数据作为待分选数据。对于单载频PDW集,选取特征参数:脉宽PW,载频RF,信道重复周期CRI构成三维待分选数据集S1,S1为若干个格式为{PW,RF,CRI}的单载频型PDW集合;对于线性调频PDW集,选取特征参数:脉宽PW,载频RF0,载频RF1构成三维待分选数据集S2,S2为若干个格式为{PW,RF0,RF1}的线性调频型PDW集合。对PDW集合S1和S2进行网格密度聚类。网格密度聚类算法流程图如图2 所示。

 

 图2 网格密度聚类流程图

 

1.3 聚类结果处理

1.3.1聚类结果的选择剔除

融合预处理后的PDW流在进行网格密度聚类算法后,得到了辐射源描述字EDW。当PDW流是数字信道化接收机产生时,由于门限的选择,无论是何种类型的雷达信号,都会有相邻信道的PDW产生。因此,在聚类结果中,可能会出现一些错误的聚类结果,有必要对错误结果进行剔除。


累计差值直方图(CDIF)是基于周期性的脉冲时间相关原理的一种传统脉冲重复周期(PRI)分选算法,通过累积各级差值直方图来估计原始脉冲序列中可能存在的PRI,并以此PRI进行脉冲搜索。CDIF的最优门限是:

其中,k 为可调系数,通常取 0 < k < 1。T为采样时间,为直方图自变量。本文对聚类结果中的每一类EDW所包含的PDW进行PRI搜索,剔除不满足CDIF最优门限的聚类即错误的聚类结果,同时判断各类EDW是否存在PRI参差信号。


1.3.2 聚类结果合并处理

对于LFM聚类结果,在经过CDIF门限选择后,生成LFM型EDW。

对于单载频聚类结果,在经过CDIF门限选择后,需要进一步处理,将其分类为单载频信号、频率捷变信号、频率分集信号。

合并处理主要步骤:


1.4 分选算法的基本步骤

输入:数字信道化接收机产生的PDW流,PDW(RF,TOA,TOA,E)。

输出:聚类结果EDW。

(1) 读入数据,对PDW流进行融合预处理,标记为LFM型PDW流和单载频型PDW流。

(2) 对两种类型的PDW流进行网格密度聚类,生成初始聚类。

(3) 对初始聚类结果进行处理,包括CDIF最优门限选择性剔除和合并处理。

(4) 生成最终聚类结果EDW{信号类型、RF0~RF5、PW、PRI、Num_Of_Pulse}, Num_Of_Pulse代表总脉冲个数,信号类型主要有单载频信号,线性调频信号,频率捷变信号,频率分集信号。


(未完待续,参考文献略)



《 召 集 令 

身怀学术绝技的你速速前来!


1,有学术水准:一定的专业学术水准是必须的!

2,有独到思想:具深度,广度,锐度者为最佳!

3,内容范畴:自然科学,社会科学等等不设限!

4,资讯或翻译类文章:符合上述条件的均可以。


学术plus咨询/投稿邮箱

xueshuplus@163.com





声明:版权归《中国电子科学研究院学报》所有。转载请务必注明出处,违者必究。文章观点不代表本机构立场。



  • 《中国电子科学研究院学报》欢迎各位专家、学者赐稿!投稿链接 http://kjpl.cbpt.cnki.net

  • 电话:010-68893411

  • 邮箱:dkyxuebao@vip.126.com



2017文章全收录(3月)一篇文章满足你

2017文章全收录(1-2月)

2016文章全收录 · 信息与电子前沿

DARPA的13个科研成果转化项目

DARPA2016年最受关注的10大项目

DARPA的关键研究领域:信息,生物,技术边界

只要内容过硬,其他都无所谓的,2016微信大调查

两院院士:评选2016年中国、世界10大科技进展

15张图看未来30年科技改变社会

未来30年,塑造社会变化的6个关键趋势

美国陆军报告:未来30年,影响世界的24个核心科技趋势

麻省理工科技评论:2016年十大突破技术

新视点:漫谈面向未来之颠覆性技术

新视点:美国国家创新体系发展进程概览

新视点:中美在网络空间如何达成共识:一种建构主义视角

新视点:特朗普大选获胜是颠覆式创新的胜利

新视点:透过数据看美国国防科技创新体系(三)

新视点:智慧城市就是更多参与

新视点:漫谈面向未来之战略前沿技术



友情链接

Copyright © 2023 All Rights Reserved 版权所有 北京物流信息联盟