2022-06-08 12:36:48
靓点2 循环血癌细胞检测步入“正当年”
液体活检(liquid biopsy),作为体外诊断的一个分支,是指通过检验血液或者其他体液如尿液、唾液、胸腔积液、脑脊液等,对癌症等疾病做出分析诊断。包括循环肿瘤细胞(CTC)、 循环肿瘤DNA(ctDNA)、microRNA、微泡(外泌体)。其中CTC与ctDNA发展最为迅猛。目前液体活检主要应用领域是肿瘤的血液检测,即利用血液提示肿瘤发展进程及抗药性等信息,指导个体化精准治疗。
CTC指从实体瘤或转移性肿瘤病灶自发性或因诊疗操作导致而释放入外周血循环的肿瘤细胞,是恶性肿瘤患者出现术后复发和远处转移的重要原因,。1869年, Ashworth在血液循环发现一种同肿瘤细胞相似的血细胞, 从而首次提出了CTC的概念。CTC在血液循环中可单个存在,也可堆积成团。目前学者将由2个或2个以上的CTC堆成的细胞簇或CTC粘附其他血细胞簇称为循环肿瘤微栓子(circulating tumor microembli, CTM。CTM因CTC被包裹在簇中间而导致表面标志物无法暴露,故可以逃避免疫监视,比单个CTC的增殖潜力和转移瘤的形成能力更强,生存优势更为明显。由于体内CTC的数量很少,每106~107 个白细胞中才会发现一个CTC,检测限较低,因此临床上需要提供敏感性、特异性较高的CTC检测方法。
1. CTC的检测
CTC的检测主要包括富集筛选和细胞鉴定两大步骤。富集CTC的方法主要有过滤法、密度梯度离心法和捕获法三种。过滤法是根据肿瘤细胞体积大于白细胞体积的原理来分离CTC,代表技术为膜过滤法分离上皮来源肿瘤细胞(ISET)。过滤法的特点是可分离细胞角蛋白(CK)阳性和CK阴性细胞,检出循环肿瘤微栓子,用血量较少(1ml),但是局限性在于不易检出过小(<8um)的肿瘤细胞。密度梯度离心法是根据肿瘤细胞和白细胞密度不同来分离CTC,代表技术是OncoQuick分离体系。它的优势是也可以可分离CK阳性和阴性细胞。但是CTC可能迁移至血浆层,红细胞、白细胞层从而丢失,CTM可能迁入红细胞层从而而造成丢失 。捕获法的原理是将特异性抗体包被在已有同源二抗的磁珠上制成免疫磁珠,再与靶细胞上抗原结合成 “靶细胞-抗原抗体-磁珠”复合物,在外在磁场作用下向一定方向移动,从而富集靶细胞。其分选策略包括阳性富集、阴性筛选以及阳性富集+阴性筛选。阳性富集技术主要采用抗CTC表面标记分子即上皮细胞粘附分子(epithelial cellular adhesion molecule, EpCAM)结合免疫磁珠捕获CTC,已被美国FDA获批的自动化CTC检测系统-Cellsearch系统就是利用此原理进行CTC筛选。这种方法适用于EpCAM或CK阳性的CTC,例如乳腺癌、结直肠癌或前列腺癌。而对EpCAM或CK阴性的CTC例如黑色素瘤、部分膀胱癌及胰腺癌等不适用。癌症在转移过程中发生上皮间质变(epithelial mesenchymal transition,EMT)导致上皮标志丢失,故利用捕获上皮标志物的技术容易导致肿瘤细胞的漏检。阴性富集技术利用标记白细胞表面抗原的磁珠抗体吸附白细胞,在磁场作用下去除白细胞,使得CTC被富集沉淀。此方法的优势在于可以检出EpCAM或CK阴性的CTC,能够有效避免癌症发生EMT而导致CTC阳性率低。
临床上常用的CTC鉴定技术是利用显色剂标记肿瘤相关性抗原角蛋白CK8、CK18、CK19的单克隆抗体以鉴定筛选的细胞。但是目前尚无针对CTC的特异性抗原,故容易造成假阳性或假阴性结果。上皮细胞特异性抗体不仅能特异性标记非肿瘤上皮细胞,还有可能非特异性标记非上皮性的非肿瘤细胞(如白细胞等),可能造成假阳性结果。良性上皮细胞增殖性疾病、炎症、组织创伤、手术干预以及不当的采血操作等也有可能致使外周血中检测到数量不等的上皮细胞。但Pan等构建了一种针对非小细胞肺癌特异性的单克隆抗体-NJ001,为基于抗原抗体结合的免疫细胞化学检测方法提供新的实验依据,但其此抗体仍然需要进行临床试验加以验证。
2.CTC的临床应用
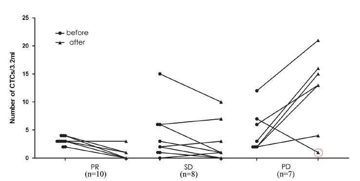
CTC检测方法不同,不同检测方法的临床诊断价值均需要做出临床评估。某些癌肿早期可以发现CTC,CTC对于早期癌症的辅助诊断具有一定价值。CTC计数最主要的用途是与CT扫描联合检查应用于晚期肿瘤患者治疗应答的评价,其基线水平也可以用于晚期肿瘤患者生存期的预测(见图3)。
图3 CTC检测的应用
例如染色体多倍体扩增的CTC鉴定技术也逐步应用于临床。多项研究[采用该技术证实了肺癌、乳腺癌、胃癌、直接肠癌和胰腺癌中存在染色体7号、8号多倍体扩增。北大肿瘤医院的初步研究发现7例I-II期、18例III期和25例IV期一线治疗前的原发性肺癌CTC[DAPI (+)CK(+/-)CETP8(+)CD45(-))]阳性率(CTC≥2/3.4ml)分别为57.14%(4/7)、83.33%(15/18)和92%(23/25)。其后更大样本量的临床研究显示出类似的结果,各期CTC阳性率显著高于血清肿瘤标志物,CTC对于晚期肺癌化疗效果评价与CT具有良好的一致性。
a
b
图4 不同期肺癌患者CTC个数/阳性率和晚期肺癌一线化疗2周期CTC的水平
本分论坛邀请到CTC联盟成员,、上海柏慧康生物科技有限公司的沈鹤松、武汉介观生物科技有限责任公司的韩超、宜昌镁光硅谷生命科技股份责任公司邓亚光、杭州华得森生物有限公司刘艳省5个企业来分享他们的CTC前沿检测技术及其在肿瘤诊治中的价值。军事医学科院附属医院的刘毅教授前来助阵。
靓点3 对于微生物MALDI-TOF MS鉴定又添新成员
基质辅助激光解吸电离飞行时间质谱(MALDI-TOF MS)是20世纪80年代发展起来的一种新型软电离有机质谱。2002年,该技术获得诺贝尔化学奖,评奖委员会认为该技术突破了生物大分子质谱分析的难题,在临床诊断领域具有巨大应用潜力。
2006年,马庆伟等人《MALDI-TOF MS 引领分子诊断新时代》在《生物技术世界》发表;2013年美国FDA批准MALDI技术用于微生物蛋白指纹图谱鉴定;2014年美国FDA批准MALDI技术用于莱顿第五凝血因子和第二凝血因子基因分型检测;2015年基于MALDI-TOF质谱平台的Veristrat非小细胞肺癌靶向用药指导技术写入美国NCCN指南;2016年,IgG糖基检测——预测生物年龄项目首次建立中国人数据模型,再度引发了质谱热潮。
1.微生物蛋白指纹图谱鉴定
基质辅助激光解吸电离-飞行时间质谱仪(MALDI-TOF)指纹图谱法是一种微生物分类和鉴定的快速可靠的方法,可广泛应用于临床诊断、环境和分类研究或者食品加工质量控制中。每种微生物都有自身独特的蛋白质组成,因而拥有独特的蛋白质指纹图谱。在MALDI-TOF质谱仪中,激光激发靶板上的细菌与基质让细菌的蛋白在真空的飞行管中。检测器通过检测蛋白飞行时间的不同来建立一个曲线图谱进而与数据库中的信息比对,得出待测菌的种。MALDI-TOF质谱仪指纹图谱法可使研究人员在几分钟内就可鉴定不明细菌、真菌和分枝杆菌。
继BRUKER和VITEK后,Clin-TOF MS及其配套的BioExplore数据库,具有强大可靠的数据处理能力,是微生物鉴别与分类中的最新技术。BioExplore软件通过Clin-TOF MS质谱仪测得待测微生物的蛋白质指纹谱图,对这些指纹谱图进行处理并和数据库中各种已知微生物的标准指纹图谱进行比对,从而完成对微生物的鉴定。与现有传统的微生物鉴定技术相比,具有操作简单、快速、通量高、灵敏度高、准确度好、试剂消耗少等优势。
《中华检验医学杂志》2017年1月第40卷第1期,范欣等人研究文章“国产基质辅助激光解吸电离飞行时间质谱系统Clin-TOF MS与Bruker Biotyper质谱系统在革兰阴性菌的鉴定效能评估”中报道,Clin-TOF质谱系统准确鉴定率为98.5%(1005/1025),Bruker质谱系统准确鉴定率为99.22%(1017/1025),表明 CLIN-TOF在临床微生物鉴定方面已与德国布鲁克质谱系统鉴定效能相当。Clin-ToF飞行时间质谱系统的研究成果,已在该领域跃居世界先进水平(参考文献:范欣, 肖盟, 徐志鹏, 等. 国产基质辅助激光解吸电离飞行时间质谱系统 Clin-TOF-ⅡMS 与 Bruker Biotyper 质谱系统在革兰阴性菌的鉴定效能评估.中华检验医学杂志,2017, 40(1):41-45.)。
2.MALDI-TOF质谱或可应用于肺癌TKI治疗的疗效预测
蛋白质是在体内实现各种功能的主要物质,随着疾病的发展,相关的蛋白质则一定会产生相应的变化,而且变化的种类,幅度和组合数目远超过基因,因此通过检测血清中蛋白质的变化或可从基因检测以外的角度提供一个新的思路。MALDI-TOF质谱是一种常用于蛋白质多肽研究的平台,其肽质量指纹图谱技术(Peptide Mass Fingerprinting, PMF)可通过对比不同疾病组间的峰图建立检测模型,并通过模型对样本进行分类,该技术已被成熟的应用于临床微生物鉴定多年,但一直未被应用于肿瘤的诊疗。
2007年美国学者Carbone,DP et al.小组,在MALDI-TOF质谱平台,应用PMF技术成功建立了一种可用于预测厄洛替尼治疗效果的方法,完全独立于EGFR突变基因检测之外。该方法主要检测血清中多肽的变化,其结果可将病人分为”Good”组(即,疗效好组)和”Poor”组(即,疗效差组),经过未曾做过EGFR突变检测的96例一线厄洛替尼治疗的非小细胞肺癌患者回顾性血清样品(ECOG protocol E3503)验证时发现,69例分类为Good组的病人在一线治疗中服用厄洛替尼后,中位生存期为306天,远远高于27例中位生存期为107天的Poor组病人(参考文献:Taguchi F et al. J Natl Cancer Inst. 2007;99(11):838-846)。
这种基于蛋白质组学的检测方法是独立于基因检测之外的一种新思路。与基因检测所关注的特定基因的特定变化不同的是,这种分类法聚焦于对比血清中蛋白质多肽总体趋势性的变化,而非定位于某个蛋白标志物。经过若干临床研究验证,该方法已被证实可在一线和二线治疗中被应用于EGFR-TKI靶向药物治疗及化疗疗效预测,如果结合现有的基因检测技术,可做到更加精准的细分治疗获益人群,提高治疗有效率,具有广阔的临床应用前景。
本届大会质谱新技术论坛上毅新博创公司将为大家对Clin-TOF质谱系统对于微生物鉴定的性能及其在其他领域里的应用做深入解读。
靓点4 超高压色谱质谱(UPLC)在激素、治疗药物监测/毒物分、氨基酸分析和新生儿筛查中的作用越来越受到重视
高效液相色谱(high-performance liquid chromatography, HPLC),流动相进入色谱柱,连续并稳定通过填料,不同的化合物以不同的速度在色谱柱中移动。如果化合物与流动相极性相似,它的流动速度就会较快,更为接近流动相的速度。如果化合物与填料固定相极性相似,那么它与固定相之间较强的吸附力使得它移动明显更慢。根据每种化合物移动速度不同,我们能够进行色谱分离。质谱(mass spectrometry, MS)是带电分子或分子碎片按质荷比的大小顺序排列的图谱。质谱仪是一类能使物质粒子在离子源中离子化并通过适当的电场、磁场将它们按空间位置、时间先后或者轨道稳定与否实现质荷比分离,并进行检测后物质分析的仪器。质谱分析法是通过对被测样品进行离子化,并对离子化离子的质荷比(m/ z)进行测定来对样品进行定性和定量分析的一种方法。
液质联用技术(LC-MS/MS)早在上世纪 90年代初就开始应用于临床。经过近20年的发展,LC-MS/MS在临床诊断中的应用日趋成熟。LC-MS/MS灵敏度极高,检测水平可以达到 pg级,大大减少生物样本的上样量,简化样品前处理的方法。而且,LC-MS/MS采用多反应监测的定量方式,具有极高的特异性,可同时检测上百种化合物,很好地克服了免疫学方法的弊端,已成为多个检测项目的金标准。
传统的激素,药物检测主要依赖免疫学技术,如放射免疫法,酶联免疫法等。而该类方法存在两个主要问题:1)抗原抗体交叉反应,将药物或激素的代谢物误认为药物或激素原型进行检测,测定结果比真实值偏高;2)一次实验只能检测一种化合物,检测多种药物或激素则需要多次实验,且试剂昂贵。此外,部分检测项目无可用的免疫学方法,如儿茶酚胺类激素等。
超高压色谱质谱(UPLC-MS)比普通的高压液相色谱质谱(HPLC-MS)分析速度快。Waters UPLC Xevo TQD/ Waters UPLC Xevo TQ-S得到国家食品药品监督管理局医疗器械注册证审批,获得CFDA II类医疗器械许可证。该平台稳定性及重现性极佳,可作为开展日常检验的平台,高通量开展临床检验项目,其主要应用在以下几个方面。
1.激素检测,辅助疾病诊断
激素作为内分泌系统的信使,发挥着调节机体各种生理活动,维持内环境相对稳定的作用。准确测定体内激素水平是判断内分泌代谢紊乱与诊断分型的重要指标。然而,体内激素种类繁多,浓度差异极大,对于检测技术要求很高。
激素过去常用免疫分析方法检测,但结果并不理想,而且部分激素无免疫学方法可用。运用Waters LC-MS/MS可测定所有的胺类激素和类固醇类激素(雄激素,雌激素,孕激素,糖皮质激素,盐皮质激素)。目前临床上较为常用的包括:尿中儿茶酚胺类激素的检测,血浆中变肾上腺素类激素的检测(适用于高血压患者中的嗜铬细胞瘤的筛查),25羟基维生素D2和D3的检测(用于体内维生素D水平的评价,适用于骨质疏松患者,肿瘤患者,心血管疾病患者,多发性硬化患者),血中醛固酮的检测(用于原发性醛固酮增多症的辅助诊断),血中睾酮的测定(适用于男性更年期,女性男性化特征及儿童性早熟,目前推荐作为前列腺肿瘤趋势治疗的指征),双氢睾酮、雌二醇、的检测,女性雄性激素的检测用于在多囊卵巢综合征(PCOS)的辅助诊断,血浆、尿液和唾液中糖皮质激素的质谱检测用于库兴氏综合症的辅助诊断,肾素、血管紧张素II的检测等。LC-MS/MS可提高检测特异性,并且不需要复杂的样品处理。诊断先天性肾上腺增生通常采用免疫学方法测定17-羟孕酮、氢化可的松、,假阳性率非常高。应用LC-MS/MS,可将假阳性率降低85.15%。 因此,LC-MS/MS已成为临床激素检测的最佳仪器平台。
临床研究表明多种内分泌代谢性疾病及精神类疾病都会表现出儿茶酚胺素类激素异常,如嗜铬细胞瘤、神经母细胞瘤、脑梗死、重症肌无力、进行性肌营养不良、心肌梗死、躁狂性精神病,帕金森病、癫痫等疾病等。北美神经内分泌肿瘤协会2010年就嗜铬细胞瘤,副神经细胞瘤,甲状腺髓样瘤在内的三类肿瘤的诊断和治疗发布导则指出,对于不同检测物质在不同样本中的诊断价值方面,血液中MN和NMN水平在所有组合中具有很好的敏感度和特异性。而维生素D是一种类固醇激素,维生素D家族中最重要的是维生素D2和维生素D3。研究表明,佝偻病、骨质疏松、肿瘤、心血管疾病、糖尿病、高血压等疾病都与维生素D缺乏有关。传统免疫学方法检测不能区分维生素D2和维生素D3,会影响结果准确性。当使用LC-MS/MS检测时,根据维生素D2和维生素D3不同的分子量进行特异性质谱检测,从而得到血液中维生素D的含量。血浆醛固酮检测是诊断原发性醛固酮增多症(简称原醛症)的主要参考指标,对鉴别肾上腺皮质增生、肿瘤等相关疾病引起的继发性高血压具有重要价值。研究表明原醛症在难治性高血压人群中的患病率甚至可高达 17~23%,为他们鉴明病因并采取具有针对性的治疗,可以有效改善预后。美国内分泌协会近年在更新原醛症管理指南时,指出了串联质谱技术应用对改进醛固酮检测标准化及准确性的重要价值。
2.新生儿遗传代谢疾病筛查,给宝宝的第一份礼物
随着新生儿出生基数逐年增加,新生儿遗传代谢病的发现例数随之增加。为减少出生缺陷,有效防治遗传代谢病,开展新生儿遗传代谢病筛查的工作势在必行。新生儿疾病筛查是通过实验室检测的方法,对某些先天性代谢缺陷性疾病进行筛查,找出可疑病例,再加以进一步检查确诊,从而使有这些疾病的患儿得以早期诊断和治疗,避免日后造成体格和智力发育障碍,甚至死亡。开展新生儿筛查,是避免错过早期诊断、治疗的良机的有效手段。目前,新生儿疾病筛查已写入《母婴保健法》及其实施办法,以法律形式确定每个新生儿都有疾病筛查的权利。通过Waters LC-MS技术能够在2分钟内同时检测干血滤纸片中的40多种氨基酸谱和酰基肉碱谱,为临床快速诊断氨基酸、有机酸和脂肪酸代谢性疾病提供了技术支持,使诊断更加可靠,推动了遗传性代谢病的筛查、诊断和治疗。除LC-MS外,并无其他技术可实现多种遗传代谢病的快速筛查。
Waters在新生儿筛查领域有20多年历史,1994年Waters是全球第一家提供串联质谱新生儿筛查仪器(LC-MS/MS)和软件方案(Neolynx)的公司。1997 年澳大利亚新南威尔士韦斯特米德医院(全球第一个提供ESI LC-MS/MS进行新生儿筛查的中心)开始使用Waters仪器开展新生儿筛查。1998 年北卡罗来纳,马萨诸赛州和伊利诺先后开始使用Waters仪器开展新生儿筛查。目前,国内已有一半城市已开展LC-MS遗传代谢病的筛查项目。这不仅为医院带来经济效益,更创造巨大的社会价值。
表1 串联质谱新生儿筛查疾病种类
序号 | 氨基酸代谢疾病(酶或缺陷) |
1 | 苯丙酮尿症(苯丙氨酸羟化酶) |
2 | 枫糖尿病(支链α-酮酸脱氢酶) |
3 | 高胱氨酸尿症(胱硫醚β合成酶CBS) |
4 | 瓜氨酸血症Ⅰ型(精胺丁二酸合成酶) |
5 | 精胺丁二酸酶缺乏症(精胺丁二酸裂解酶) |
6 | 酪氨酸血症Ⅰ型(延胡索酰乙酰乙酸水解酶) |
7 | 高苯丙氨酸血症(变种,良性,苯丙氨酸羟化酶) |
8 | 酪氨酸血症Ⅱ型(酪氨酸转氨酶) |
9 | 生物蝶呤生物合成病(6-丙酮酰四氢蝶呤合酶) |
10 | 高精氨酸血症(精氨酸酶) |
11 | 酪氨酸血症Ⅲ型(4-羟基-苯基-丙酮酸氧化酶) |
12 | 生物蝶呤再生病(二氢蝶呤还原酶) |
13 | 高蛋氨酸血症(甲硫氨酸腺苷三磷酸钴胺素腺苷转移酶) |
14 | 瓜氨酸血症Ⅱ型(天冬氨酸谷氨酸载体柠檬酸) |
序号 | 脂肪酸代谢疾病(酶或缺陷) |
1 | 中链酰基辅酶A脱氢酶缺乏症(中链酰基辅酶A脱氢酶) |
2 | 超长链酰基辅酶A脱氢酶缺乏症(超长链酰基辅酶A脱氢酶) |
3 | 长链左-3-羟酰基辅酶A脱氢酶缺乏症(长链左-3-羟脱氢酶) |
4 | 三官能团蛋白质缺乏症(三官能团蛋白α,β亚基Ⅰ) |
5 | 肉碱摄取缺损(纸膜肉碱转运体) |
6 | 短链酰基辅酶A脱氢酶缺乏症(短链酰基辅酶A脱氢酶) |
7 | 戊二酸血症II型(电子转移黄素蛋白ETF;α,β亚基Ⅰ) |
8 | 短链左-3-羟酰基辅酶A脱氢酶缺乏症(短链左-3-羟酰基辅酶A脱氢酶) |
9 | 中链酰基辅酶A脱氢酶缺乏症(中链酰基辅酶A脱氢酶) |
10 | 肉碱棕榈酰Ⅱ型转移酶缺乏症(肉碱棕榈酰Ⅱ型) |
11 | 肉碱-酰基肉碱的移位酶缺乏症(肉碱-酰基肉碱移位酶) |
12 | 肉碱棕榈酰Ⅰ型转移酶缺乏症(肉碱棕榈酰la型) |
13 | 2,4-二烯醇-辅酶A还原酶缺乏症(2,4-二烯醇-辅酶A还原酶) |
序号 | 有机酸代谢疾病(酶或缺陷) |
1 | 异戊酸血症(异戊酸辅酶A脱氢酶) |
2 | 戊二酸血症Ⅰ型(戊二酰辅酶A脱氢酶) |
3 | 3-羟基-3-甲基戊二酸血症(3-羟基-3-甲基戊二酰基-辅酶A裂解酶) |
4 | 多种酰基辅酶A脱氢酶缺乏(全羧化酶合成酶) |
5 | 甲基丙二酸血症(甲基丙二酰辅酶A变位酶) |
6 | 甲基丙二酸血症(腺苷钴胺素合成酶) |
7 | 甲基丙二酸血症合并同型半胱氨酸血症(MMA变位酶及MTHF甲基转移酶) |
甲基丙二酸血症合并同型半胱氨酸血症(MMADHC蛋白) | |
8 | 3-甲基巴豆酰基辅酶A羧化酶缺乏症(3-甲基巴豆酰辅酶A羧化酶α,β) |
9 | 丙酸血症(丙酰辅酶A羧化酶) |
10 | β酮基硫解酶缺乏症(β酮基硫解酶) |
11 | 丙二酸血症(丙二酰辅酶A脱羧酶) |
12 | 异丁酰甘氨酸血症(异丁酰基-辅酶A脱氢酶) |
13 | 2-甲基-3-羟基丁酰辅酶A水解酶缺乏症(2-甲基-3-羟基丁酰辅酶A脱氢酶) |
14 | 2-甲基丁酰甘氨酸血症(2-甲基丁酰辅酶A脱氢酶) |
15 | 3-甲基戊二酸血症(3-甲基戊二烯二酰辅酶A水解酶) |
3.全谱氨基酸分析,健康评价和疾病筛查的重要手段
氨基酸不仅是人体需要的一种营养成分,而且通过与细胞内各种生物分子的相互作用调控着各种生理病理过程,在一些疾病的发生和发展中扮演着至关重要的角色。氨基酸分析可以作为健康评价和疾病筛查的重要手段,提示及早预防疾病、改善身体营养状态和作为营养补充参考标准。全谱氨基酸在临床包括代谢、心血管、消化道、肿瘤、精神类等疾病领域展开了广泛和深入的研究,它可能成为预测糖尿病、心血管和各肿瘤早期诊断的生物标记物,为疾病的机理提供新的见解同时为临床患者提供潜在的治疗方案。 据研究报道,Shinji Kume等人对10年随访II型糖尿病人进行31种氨基酸谱检测并构建模型,不用基于病人尿蛋白检测和其他常规风险因素评估下,可以帮助预测糖尿病患者心血管患病几率。Asiago等人采用谷氨酸、组氨酸、脯氨酸、酪氨酸作为代谢标记物,成功地预测了乳腺癌的复发。目前,氨基酸的测定方法有很多种,通常分光光度法、液相色谱法、毛细管电泳法、随着现代氨基酸分析技术的发展,质谱作为高选择性和高灵敏度的检测工具,在氨基酸分析中发挥着重要作用。生物组织中氨基酸的传统检测方法可能是费时、操作繁琐、需要复杂的样品制备过程等缺点,但是质谱法却方便许多,具有样品不需要预处理,直接取样,样品消耗少,分析速度快,灵敏度高、基体干扰小等优点。Waters提供了AccQ•Tag衍生联合QDa质谱检测氨基酸的临床应用研究解决方案,此方法与常规氨基酸分析方法对比见表2.
表2 Waters UPLC-MS对氨基酸分析仪对于全谱氨基酸分析分析性能比较
Waters UPLC-MS | 氨基酸分析仪 | |
分离 | 反相UPLC | 离子色谱 |
流动相 | 无需缓冲盐和离子对试剂 | 缓冲盐,离子对试剂 |
衍生化试剂 | AccQ·Tag | 茚三酮柱后衍生 |
检测 | MS | UV/Vis |
分析时间 | 9 min | 120 min |
实验成本 | 低 | 高 |
扩展性 | 扩展性强 | 专用平台 |
4. 治疗药物检测,满足个体化给药需要
治疗药物检测(TDM)是根据药代动力学原理,对用药患者的血液和其他体液进行药物浓度检测的一种手段。通过对患者的药物治疗持续追踪,对不同的患者及不同时期患者用药情况具体分析,持续调整优化用药剂量和程度,制定合理、安全、有效的个体化给药方案,从而解决患者药物治疗后的个体差异,减少患者用药后的不良反应或毒副作用的发生,提高临床给药治疗效果。随着社会进步和时代的发展,医院药学已由传统的药品供应保障型向临床药学技术服务型转变,临床药学服务理念也由“药品”为中心向以“患者”为中心转变, TDM是临床药学中最顺应临床医学个体化治疗需求、最具发展潜力的专业领域。传统免疫学方法,存在交叉反应,并且通量低。LC-MS/MS检测方法灵敏度高、特异性好、结果不受代谢物的影响并且与药理效应之间具有更好的量效关系。Waters LC-MS/MS凭借其极高的灵敏度和良好的特异性,可采用极少的体液样本在一次进样时同时测定多种治疗药物,如免疫抑制剂(FK506、环孢霉素A、西罗莫司),抗抑郁药物(氯丙嗪、多虑平),抗癫痫药物(、卡马西平、丙戊酸),抗肿瘤药物(甲氨喋呤),抗菌药物(万古霉素、伏立康唑)等,对患者全血药物浓度监测有较强实用性,能更好地控制每个患者的药物治疗效果。
6.中毒药物检测,帮助挽救患者生命
随着经济发展,患者因为误服误用药物、有毒食品致病的病例逐渐增加。由于缺乏毒物快速检测的方法,患者送医后往往无法获得及时诊断并给予针对性的治疗,从而导致不可逆的肝损害和肾衰竭,甚至危及生命。LC-MS/MS应用于毒物检测后,可在短时间内快速检测上千种毒物,为医生诊断提供有效参考。国外医院急症科,药剂科或检验科已将LC-MS进行毒物筛查作为常规检测项目。由于LC-MS/MS灵敏度极高,特异性好,该技术每年帮助挽救数万人的生命。目前,Waters LC-MS/MS一针进样15 min可筛查的毒物包括上千种治疗药物,农药,兽药,毒品,兴奋剂等。
本论坛邀请到沃特世(上海)科技有限公司谭晓杰博士前来做相关报告。
,与演讲嘉宾展开深入讨论、共同分享检验医学前沿技术,以共同促进前沿技术向临床应用的转化。
注:ctDNA部分的更详细内容将发表在江苏省医学会主办的《临床检验杂志》上,敬请关注。
如果您觉得我们发布的信息对您及您的朋友有帮助,请点击右上角···按钮分享到朋友圈。
获取更多检验资讯请浏览“医学检验网”www.mir168.com
欢迎向我们投稿或推荐优秀文章,将优秀文章与更多的同行分享、交流。
投稿邮箱:mir-c.s.d@mir168.com
相关推荐
友情链接
Copyright © 2023 All Rights Reserved 版权所有 北京物流信息联盟
