北京物流信息联盟

【多因子研究合辑】多因子模型系列报告:模型理论随想和纯因子组合构建

2020-11-13 09:36:55

一、模型的一般形式




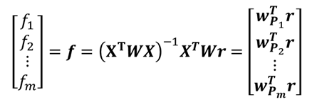
典型的股票多因子模型将 n 只股票的收益率分解为 m 个因子的线性组合和未被因子解释的残留部分,一般形式为:





二、组合的因子暴露度和纯因子组合

    



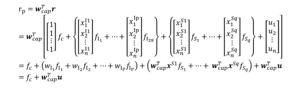
    假设一个投资组合P 中的个股权重为:



如果一个投资组合,对模型中某因子暴露度为1,对其他风险因子暴露度为0,则称该组合为该因子的纯因子组合。


任一因子 m 对应的纯因子组合应该有:



可见,对于充分分散的组合,因子收益 fm 就是因子 m 对应的纯因子组合的收益。至此,将 fm 称作是“收益”才有了很好的解释。


通过多个纯因子组合的线性组合可以构造出对每个因子具有指定暴露度的组合,如希望构建一个组合,使组合对规模因子(size)暴露为0,对E/P 因子暴露为0.5,其他因子无要求,则可先由两因素模型解出这两个纯因子组合的个股权重,则满足要求的投资组合权重为(当然,实际构建投资组合时还有很多其他限制条件):


可见,纯因子组合可将各种风险收益精确的切割开来,求解出纯因子组合中的个股的权重,就可以精确控制组合对因子的暴露度,使组合只对希望暴露的风险因子暴露,从而让风险和收益精确匹配起来。




三、几种常见模型

    




这些模型都是众所周知的,无需赘言,这里列举几种(CAPM、Fama-French、Barra)来使上面的一般形式具体化,后文重点展示从Barra 模型构建纯因子组合的应用。



1CAMP




2Fama-French 三因素




Fama-French 模型的因子收益是市场基准收益、大小规模收益差和高低估值收益差;因子暴露是对个因子的betas。


3Barra USE3 和Barra CHE2等




4Barra USE4 和Barra CHE5等



最新的Barra USE4 和 Barra CNE5 在模型中加入了截距项,是我们这一多因子模型系列报告采用的形式。


同时包含截距项和行业哑元变量将导致解不唯一,此处加入限制条件:



以上是常见的 4 种形式的模型,前两种模型和 Barra 的不同之处在于,Barra 的因子收益无法直接观察到,是通过在截面上回归得到的,因子暴露度是由基本面、技术面等因子的值计算截面z-score 直接得到的;;而CAMP和Fama-French中的因子收益不需要截面回归,可以直接观察到(多空组合),但因子暴露度(或称 betas)需要通过时间序列回归来估计。




四、理解因子暴露度

    


1单个股票的因子暴露都度

单个股票的因子暴露度是通过将因子值在截面上正态标准化得到:

2投资组合的因子暴露度

一个投资组合的因子暴露度就是这个投资组合的个股权重对其中单个股票因子暴露度的加权平均:



简言之,基准组合对各个因子的因子暴露为0,其他投资组合的因子暴露度就是这个投资组合在该因子上偏离了基准组合多少倍标准差。

3截距项fc

回顾Barra USE4 和Barra CHE5等模型,计算基准组合的投资收益:


在充分分散的前提下,流通市值加权的组合(基准组合)的收益就是截距项fc。



五、鸿沟:从解释到预测

    


上文介绍模型时我们总是将强调“分解”二字,想要强调的是,不论Barra 还是CAMP和Fama-French,都只是收益的解释模型,并不包含任何预测信息,套用陆游的名句,汝果欲做预测,功夫还在模型外。


前文均在截面上讨论,忽略了时间下标,将模型加入时间下标后的表示应该是:



要预测未来的股票收益,就需要知道未来的因子收益,从未来到未来,可见,模型本身并不提供预测。但模型的功用至少有三点:

一是,事后对取得的收益做分解和评价,毕竟如果不知道收益从何处而来,也会不知道今后收益为何而去;
二是,起降维的作用,从预测 n 只股票到只需预测 m 个因子的收益;
三是,找到合适的因子,考察因子的对应的纯因子组合的收益序列,避免了简单排序导致对其他因子的暴露,更能反映该因子的历史收益情况。

如果仅从形式上来说,将模型右侧的f^t1改为f^t0即构成一个看起来不错的预测模型:


这其实隐含了预测f^t1=^t0, 我们称这是一个朴素预测(Naïve Forecast),即“过去即未来”。在没有任何信息的情况下,这也是一种选择,但因子收益一般是轮动的,我们有理由追求更好的轮动模型,这是本系列报告将来会讨论的。

在“预测”的语境下,模型通常被写作:


另外,这种写法默认了组合是充分分散的,即组合的特异收益率为0 ,如果股票过少(例如只选择r^t1最大的10只股票),只能寄希望于模型无法解释的特异收益率和预测收益率同方向了,即多因子持股不适用于集中持股的策略。

由于模型和预测之间的鸿沟如此巨大,报告中提到模型时都避免使用“预测”的字样。





六、模型的解

    




1回归方程的解

模型是线性的,求解十分方便。但是从上一节可以知道,回归的解( 即因子收益f ) 是历史上的,其实对预测未来的作用十分有限,除了使我们更加了解这个因子在历史上的收益率如何以外(以致于在此基础上做一个未来收益的推断),其实并不十分重要。

线性模型


的解众所周知,十分简单:


其中W是加权线性回归的回归权重。

2纯因子组合的解

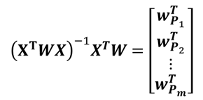
上述解不仅回归出了因子收益 f 的值,更是给出了纯因子组合的权重。因为,解的右边部分,一定可以写为行向量的形式:


所以,


等式两端, 面向未来用来指导投资,f 和 r 都是未来的,未知;面向历史用来回归,f 和 r 都是历史的,作用不大。唯有纯因子组合的权重是当下可知的,是连接当下和未来的桥梁,故而十分重要。


对于带有等式约束的模型如Barra USE4 和 Barra CNE5等,只需引入拉格朗日乘子,而后如法炮制,此处不再赘述。





七、共线性问题和 t 统计量

    




1共线性问题

要想顺利求解,必须要求线性回归信息矩阵可逆。如果两个因子存在完全的线性关系,将使该矩阵减少一个自由度,矩阵完全不可逆。通常这种完全的线性关系不会发生,但存在相关关系的两个因子导致矩阵近乎不可逆,勉强求出的解数值误差极大,即便因子本身多么优秀,之后的工作也是徒劳。

这里列举两例常见共线性的陷阱来说明问题。

a.  行业哑元因子和常数项的发生共线性。假设4 只股票,分属两个行业,因子模型为:



此时还需要加入一个条件或去掉常数项,才能使矩阵满秩。

b.  同时包含PE-ttm 因子和一致预期PE 因子的模型

沪深300 指数成分股2016 年4 月1 日提取的PE-ttm 和未来12 月一致预期PE-ftm 散点图:


因子模型:


信息矩阵X^T*X虽然可逆,但其特征值是[6e5, 8e3, 76.8] ,条件数8e3,引入不小的数值计算误差。过小的特征值也会增大因子估计的标准误,导致 t 值变小。该截面回归 pe-ttm 和 pe-ftm 的 t 值分别为-0.15 和-0.44;如果分别构建单因子模型,pe-ttm 的t 值为-1.53,pe-ftm 的t 值为-1.58。

所以在构建模型时,特别是加入新的因子时,对共线性的检查尤为重要,否则一个共线性坏了一锅模型。通常检查的方法是计算方差膨胀因子(VIF)值,通常VIF 大于5 就认为该因子和其它某因子存在较强共线性(但无法给出是和哪个因子共线性)。如果发现存在共线性因子,还可通过回归时的信息矩阵的特征值和条件指数(condition index)对照方差分解比例(variance decomposition proportions)来确定哪些因子共线性。


2t 统计量

从因子收益的角度理解 t 值更直观。 计算出 f_i  后通常还会计算每个因子的 t 统计量,如果|t|>2 则认为因子显著。但是,“因子显著”是在说因子的什么显著?回归本源,此处 t 检验的完整表达是:


所以“因子显著”的意义是,如果 |t|>2,我们观察到的非零因子收益是可以相信的;当 |t|<2 时,我们观察到的非零因子收益可能仅仅是由随机波动导致的。

既然是因子收益,就不能希望期期都有显著收益(特别是行业因子),所以应当考察因子收益的持续性,并坦然接受因子有可能(较长时间)失效。Barra 的指标是计算历史上发生的 |t|>2 次数占比。



八、纯因子组合----以上证50 为例

    



1纯因子组合性质

前文已经阐明,截距项因子收益 fc 对应的组合是基准组合,基准组合对各风格因子的暴露均为0,对自身暴露为1(全额投资),回归得到的纯因子组合的权重应该和基准组合十分接近。
风格因子对应的纯因子组合,对截距项暴露为0(零额投资),即该组合一定为多空组合,且多头/空头为100/100,对各行业因子暴露为0(在各行业中也是多空100/100零额投资),对其他风格因子暴露为0,对自身风格因子偏离基准组合1 个标准差。

行业因子对应的纯因子组合对本行业暴露为1(即权重100%),对截距项暴露为0(零额投资),所以需要100%自身行业多头,同时100%基准组合空头,即行业因子收益本身就是一种超额收益。另外,该组合对各个风格因子暴露为0。


2计算纯因子组合

因为上证 50 股票数量少,适合作为例子展示结果,我们以上证50 为例来说明纯因子组合的上述特性比较容易。同时我们将模型简化为包含截距项、银行行业、非银金融行业、其他行业、规模、BP 等6 个因子的模型,模型的形式为:


并附带前文所述行业限制条件以保证有解。

在2016 年4 月1 日截面上,提取因子暴露度数据,如下表:


依据前面“模型的解”一节内容,由截面数据便可计算出各因子对应的纯因子组合的权重,即虽然组合的收益是未知,但纯因子组合的权重是预先可知的。求解出的各因子对应的纯因子组合的个股权重见下表。



3验证

a. 验证 纯 fc 因子组合接近市值加权组合

与上证50 指数的偏差来源主要是流通市值权重和上证 50 指数权重不完全相同。

b. 计算各个纯因子组合的权重之和、在各行业中的权重,以及对风格因子的暴露度。

可见:
1. 纯 fc 因子组合就是基准组合(全额投资,行业中性,对各风格因子0 暴露)。
2. 纯银行因子组合持有银行行业100%多头,持有 fc 组合100% 空头(fc组合包含银行44.2%、非银15.96%、其它39.85%),最终权重为55.8%银行,-15.96%非银,-39.85%其他行业,是一个零额投资的多空组合,并且对各种风格因子暴露为0。非银行业和其他行业的纯因子组合类似。
3. 纯风格因子组合也是零额投资的多空组合,并且在各行业中也是这样,同时对模型中其他风格因子暴露为0,对自身暴露度为1。



九、纯因子组合的用武之地


  


一个自然的延伸是通过纯因子组合的表现来衡量因子的显著性。既知组合权重,就可观察各纯因子组合在当月的表现,如图4、图5。

在剔除风格暴露影响后,银行组合从4 月中旬开始发力。


此处作为例子,仅在一个时间截面上做了回归,通过在一系列历史截面上回归,可以分析纯因子组合的历史收益。由于纯因子组合对模型中其他因子的暴露为0,相比排序进行多空组合,更能检验因子的作用力。


再者,通过分析纯因子组合在各个行业中的收益率,还可以了解因子在不同行业中的特性,以便因行业而制宜。分析纯因子组合在各个行业中的收益率:

纯银行、纯非银因子组合的收益主要来自卖空其他行业。低PB 股票在银行业中收益为负;小市值股票在银行和非银中收益为负。不过,这只是在2016 年4 月这个截面上的例子,主要展示如何通过纯因子组合分析因子的效用,并不代表一般结论。

除了检验因子效果、分析收益来源外,纯因子组合还可以用于构建投资组合,使投资组合只暴露在想要暴露的风险因子上,实现精确地风险收益匹配。已经注意到,纯行业、纯风格因子组合是一个多空组合,在存在卖空限制的市场上没有办法实现,下面我们还是依上文上证50 的例子构建一个在全额投资和不允许卖空的限制条件的可以投资的组合。

纯 fc 因子组合是一个全额投资组合,纯行业、纯风格因子都是零额投资组合,所以纯 fc 因子组合和任意行业、风格因子的线性组合组合:


是一个全额投资组合。因为,


所以全额投资是自动满足的。

不允许卖空是一个线性不等约束条件:


再给定目标函数,即是一个完备的最优化问题。




本片报告是多因子系列报告的第一篇,主要目的是在梳理模型理论和探讨纯因子组合的运用,但并没有涉及任何实际的投资策略。
接下来的计划是:
1. 利用纯因子组合来检验常见因子的显著性,筛选出几个比较能持续产生因子收益的常见因子。
2. 纯因子组合无法直接投资,利用线性规划方法将纯因子组合合成为对几个常见因子的高暴露的因子组合。
3. 因子收益具有轮动特性,
后续会探讨通过多种高暴露因子的配置来降低单个因子带来的波动性,提高组合夏普比率。
4. 因子择时是最难的部分,放在这一系列报告的最后,我们希望找到大概有效的模型来预测因子的涨跌方向。




风险提示:历史业绩不保证未来收益。

证券研究报告《多因子模型系列报告之一:模型理论随想和纯因子组合构建》

对外发布时间:2016年05月24日

报告发布机构:长江证券研究所

参与人员信息

秦瑶    SAC编号:S0490513080002   邮箱:qinyao@cjsc.com.cn

邓越    邮箱:dengyue1@cjsc.com.cn

评级说明及声明

评级说明

行业评级:报告发布日后的12个月内行业股票指数的涨跌幅度相对于同期沪深300指数的涨跌幅度为基准,投资建议的评级标准为:看好:相对表现优于市场;中性:相对表现与市场持平;看淡:相对表现弱于市场。

公司评级:报告发布日后的12个月内公司的涨跌幅度相对于同期沪深300指数的涨跌幅度为基准,投资建议的评级标准为:买入:相对于大盘涨幅大于10%;增持:相对于大盘涨幅在5%~10%;中性:相对于大盘涨幅在-5%~5%之间;减持:相对于大盘涨幅小于-5%;无投资评级:由于我们无法获取必要的资料,或者公司面临无法预见结果的重大不确定性事件,或者其他原因,致使我们无法给出明确的投资评级。

重要声明

长江证券股份有限公司具有证券投资咨询业务资格,经营证券业务许可证编号:10060000。本报告的作者是基于独立、客观、公正和审慎的原则制作本研究报告。本报告的信息均来源于公开资料,本公司对这些信息的准确性和完整性不作任何保证,也不保证所包含信息和建议不发生任何变更。本公司已力求报告内容的客观、公正,但文中的观点、结论和建议仅供参考,不包含作者对证券价格涨跌或市场走势的确定性判断。报告中的信息或意见并不构成所述证券的买卖出价或征价,投资者据此做出的任何投资决策与本公司和作者无关。本报告所载的资料、意见及推测仅反映本公司于发布本报告当日的判断,本报告所指的证券或投资标的的价格、价值及投资收入可升可跌,过往表现不应作为日后的表现依据;在不同时期,本公司可发出与本报告所载资料、意见及推测不一致的报告;本公司不保证本报告所含信息保持在最新状态。同时,本公司对本报告所含信息可在不发出通知的情形下做出修改,投资者应当自行关注相应的更新或修改。本公司及作者在自身所知情范围内,与本报告中所评价或推荐的证券不存在法律法规要求披露或采取限制、静默措施的利益冲突。本报告版权仅仅为本公司所有,未经书面许可,任何机构和个人不得以任何形式翻版、复制和发布。如引用须注明出处为长江证券研究所,且不得对本报告进行有悖原意的引用、删节和修改。刊载或者转发本证券研究报告或者摘要的,应当注明本报告的发布人和发布日期,提示使用证券研究报告的风险。未经授权刊载或者转发本报告的,本公司将保留向其追究法律责任的权利。

免责声明

本公众平台不是长江证券研究所官方订阅平台。相关观点或信息请以“长江研究”公众平台为准。市场有风险,投资需谨慎。在任何情况下,本公众平台信息所表述的意见并不构成对任何人的投资建议,任何人不应单独依靠本公众平台中的信息而取代自身独立的判断,应自主做出投资决策并自行承担投资风险。

END



友情链接

Copyright © 2023 All Rights Reserved 版权所有 北京物流信息联盟