《火电厂大气污染物排放标准》(GB13223—2011)规定现有燃煤锅炉SOx、NOx的排放浓度均降低至200mg/m3以下,新建燃煤锅炉SOx、NOx的排放浓度在100mg/m3以下。现役机组必须利用现有污染物控制装置,结合运行条件优化,进一步提高脱硫脱硝效率,满足污染物排放要求。某电厂300MW循环流化床锅炉通过炉内干法脱硫和尾部增湿活化降低SOx的排放浓度,采用选择性非催化还原技术(SNCR)控制NOx的排放。本文研究如何在SOx、NOx排放达标的同时,最大限度降低脱硫脱硝成本,降低原料用量和系统的电耗,实现脱硫脱硝系统经济运行。
![脱硝工艺]()
1、经济指标模型的建立
针对CFB锅炉脱硫脱硝工艺,建立的经济性指标主要包括石灰石粉消耗量、增湿活化喷水量、SNCR还原剂消耗量以及电消耗量等几个方面。
1.1、石灰石粉及增湿活化喷水量模型的建立
该CFB锅炉脱硫工艺采用炉内脱硫和尾部增湿活化两部分。炉内脱硫剂选用石灰石(CaCO3)。
石灰石粉的消耗量主要与煤燃烧生成的SO2气体含量有关,钙硫比R计算式为
![脱硝工艺]()
式中:M为给煤量;Sar为煤中硫分;α为石灰石纯度;T为炉内脱硫剂石灰石粉输送量。根据试验修正的石灰石计量公式:T=0.0209S转速,可以推出钙硫比与给料机转速的关系表达式为
![脱硝工艺]()
尾部增湿活化选用水作为活化剂,活化飞灰中未反应的CaO。根据钙硫比对脱硫效率影响的试验,得出钙硫比应该设定为2~3之间的结论,由式(2)可以推出CaCO3的消耗量m(CaCO3)为
![脱硝工艺]()
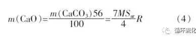
由式(3)可得燃烧相应石灰石产生的CaO质量为
![脱硝工艺]()
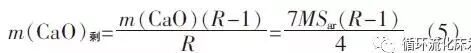
理论上飞灰中剩余的CaO,即炉内未反应CaO的质量m(CaO)剩为
![脱硝工艺]()
因此,理论上完全活化飞灰中剩余的CaO所需的喷水量M水为
![脱硝工艺]()
1.2、喷氨量模型的建立
该CFB锅炉脱硝工艺采用选择性非催化还原技术(SNCR),还原剂选用浓度为20%的浓氨水,氨水的消耗量主要与煤燃烧生成的NOx气体的含量有关,根据SNCR脱硝效率与氨氮摩尔比NSR(用K表示)的表达式ηNOx=1-exp(-hK),h为脱硝系数,易推导出如下公式:
![脱硝工艺]()
式中:MNH3为SNCR还原剂氨水的质量;C氨水为SNCR还原剂氨水的浓度;η超重为超重力机的分离效率;K为氨氮摩尔比NSR;N′NOx为折算到标准状态、干基、6%O2下未喷氨时烟气中NOx的浓度;V为水平烟道烟气流量。
1.3、耗电量模型的建立
1.3.1、炉内脱硫系统耗电量模型
炉内脱硫系统的耗电量包括给料机耗电量和空压机耗电量。
(1)给料机电耗量模型。石灰石给料机额定功率为7.5kW,额定转速为1455r/min,额定电压为400V,额定电流为17A,功率因数为0.76。由于负荷不断变化,给料量也在不断变化,将给料机的电耗直接体现在给料机的给料量T上。通过采集试验数据,确定给料机的耗电模型。设给料机电耗为W给料机,则有
![脱硝工艺]()
式中:φ为给料机耗电系数。
(2)空压机电耗量模型。炉内脱硫剂石灰石粉是由空压机产生的压缩空气送至炉膛内,因此空压机的耗电量主要用于输粉,空压机耗电量和输粉总量T之间满足定量关系,即
![脱硝工艺]()
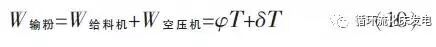
式中:δ为空压机耗电系数。因此,炉内脱硫系统耗电量为
![脱硝工艺]()
1.3.2、炉外脱硫系统耗电量模型
尾部增湿活化装置耗电量主要来自脱硫泵,脱硫泵的额定功率为15kW。由于增湿活化装置在脱硫过程中,喷水量不断变化,因此脱硫泵的耗电量也不固定。脱硫泵的电耗直接体现在喷水量上,通过采集试验数据,确定脱硫泵的耗电模型。尾部增湿活化电耗量设为W水,有
![脱硝工艺]()
式中:ρ为脱硫泵的耗电系数。
1.3.3、SNCR耗电量模型
脱硝风机参数:风量0~3500m3/h、风压0~10000Pa、主轴转速2900r/min、功率15kW;脱硝风机电机参数:电流28.9A、电压380V、功率因数0.893、功率15kW、转速293/2930r/min、频率50Hz;超重力旋转填料床参数:功率7.5kW、转速0~600r/min。
超重力旋转填料床将浓氨水分离出氨气,脱硝风机引出的热风携带分离出来的氨气进入旋风分离器烟气入口。脱硝风机和超重力旋转填料床的耗电量随喷氨量的变化而变化。将脱硝风机和超重力机的耗电量统称为SNCR耗电量,近似认为耗电量与喷氨量之间满足定量关系,即:
![脱硝工艺]()
式中:σ为SNCR耗电系数。
2、多目标优化数学模型的建立
2.1、基本概念
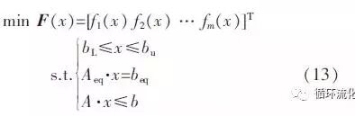
为了既满足新环保标准、达到理想的脱硫脱硝效率,还要使系统的经济性最好,就需要通过试验数据建立多目标数学模型。多目标数学模型一般假设为:
![脱硝工艺]()
式中:F(x)为待优化目标函数向量;fm(x)为待优化目标函数分量;x为待优化变量;bL和bu分别为变量x的下限和上限;Aeq˙x=beq为变量x的线性等式约束;A˙x≤b为变量x的线性不等式约束。
图1中,无法同时使目标函数f1(x)和f2(x)两者达到最优。因为A1<B1且A2>B2,即要使f1(x)达到最优,就必须牺牲f2(x),反之亦然。一般称解A和解B是非劣解,或者说Pareto最优解。多目标优化算法的目的就是寻找Pareto最优解。
![脱硝工艺]()
2.2、CFB锅炉污染物排放过程优化设计
2.2.1、优化方案的确立
为了实现循环流化床锅炉污染物排放过程参数优化,选择经济效益作为优化目标,其中包括脱硫脱硝系统耗电量、炉内脱硫石灰石消耗量、炉外脱硫尾部增湿活化喷水量以及SNCR所消耗的还原剂量。
2.2.2、约束条件
(1)床温。对于CFB锅炉脱硝来说,床温越低,燃煤生成的NOx就越少,但考虑到床温对炉内脱硫效率的影响以及CFB锅炉稳定运行考虑,选取床温范围为800~910℃。
(2)钙硫摩尔比。理论上,脱硫效率会随着钙硫摩尔比的增大而变高,但通过试验发现,钙硫比在达到一定值时,脱硫效率增长很缓慢,甚至还会出现小部分的回降,而且钙硫比增加到一定程度以后,锅炉的灰渣量会显著增加,影响锅炉热效率。因此在满足脱硫效率的前提下,出于经济性的考虑,选取钙硫摩尔比范围为0~3.3。
(3)氨氮摩尔比(NSR)。试验中,最初SNCR的脱硝效率和NSR呈正相关性;但达到一定值后,还原效率增加较缓慢。出于脱硝经济性考虑,选取NSR范围为0.7~2.5。
(4)还原剂喷入点温度。试验表明较高或较低的温度都会影响SNCR的脱硝效率,故需选择合适的还原剂喷入点温度保证较高的脱硝效率。选取的还原剂喷入点温度为1000~1400K。
2.3、多目标优化函数模型的建立
建立CFB锅炉烟气污染物排放多目标优化函数是为了寻找最优参数(包括床温、钙硫摩尔比、氨氮摩尔比、SNCR还原剂喷入点温度),在满足脱硫脱硝效率的同时,使原料消耗量最小。综合前述各个目标函数模型得到多目标优化模型为
![脱硝工艺]()
式中:m为脱硫系数;O2′为实测含氧量。
3、CFB锅炉污染物排放多目标模型的求解与优化
3.1、影响参数及电耗系数的确定
3.1.1、炉内脱硫影响参数的确定
根据不同Ca/S比对应的炉内脱硫效率,用MATLAB计算炉内脱硫系数m值,如表1所示。
![脱硝工艺]()
表1中,钙硫比R=1.3时求得的m值为0.7125与其他m值相差比较大,为了结果的准确性,舍去该值。对剩余的m值求平均值,将所求值作为炉内脱硫系数代入到式(14)中。
3.1.2、炉外脱硫影响参数的确定
已知炉外脱硫效率为:ηSO2(外)=γM水+0.02根据不同喷水量对应的炉外脱硫效率,用MATLAB计算炉外脱硫系数γ值,如表2所示。
![脱硝工艺]()
表2中,M水=0.6时求得的γ值-0.015与其他喷水量下求得的γ值相差较大,为了结果的准确性,舍去该值。对剩余的γ值求平均值得0.0041,将所求值作为炉外脱硫系数代入到式(14)中。
3.1.3、SNCR影响参数的确定
已知SNCR脱硝效率为:ηNOx=1-exp(-hK)根据不同氨氮比对应的SNCR脱硝效率,用MATLAB计算脱硝系数h值,如表3所示。
![脱硝工艺]()
表3中将h求平均值,将所求值作为脱硝系数代入式(14)中。
3.1.4、给料机电耗系数的确定
通过改变给料量T,观察给料机的耗电量,确定给料机电耗系数。每次固定给料量后,试验时间为1h,试验数据如表4所示。
![脱硝工艺]()
由试验所求的给料机电耗系数的平均值可以得到:
![脱硝工艺]()
3.1.5、空压机电耗系数的确定
将给料速度恒定在20t/h,分别统计相应时间内空压机的耗电量,从而根据响应时间内的输粉总量确定空压机的耗电系数。试验数据如表5所示。
![脱硝工艺]()
由试验所求的空压机耗电系数的平均值可以得到:
![脱硝工艺]()
由上述给料机、空压机电耗模型,可以推出输粉系统(即炉内脱硫系统)产生的总耗电量表达式为
![脱硝工艺]()
3.1.6、炉外脱硫电耗系数的确定
通过试验记录相应时间内总喷水量以及增湿活化所消耗的电量,确定炉外脱硫电耗系数。记录数据如表6所示。
![脱硝工艺]()
由于喷湿系统室外管路冰冻、系统缺陷调试、系统打压实验导致第8、9、16组数据不具有代表性,计算平均值时舍去。试验所得增湿活化耗电系数平均值为
![脱硝工艺]()
3.1.7、SNCR脱硝电耗系数的确定
通过试验记录相应时间内总喷氨量以及SNCR脱硝所消耗的电量,确定SNCR脱硝电耗系数。记录数据如表7所示。
![脱硝工艺]()
将平均值20.40作为SNCR电耗系数,有:
![脱硝工艺]()
3.2、多目标模型的求解
3.2.1、钙硫比与床温的关系
GB13223—2011《火电厂大气污染物排放标准》要求SOx的排放浓度在200mg/m3以下,针对该机组,要求脱硫效率达到95%以上,通过前面增湿活化试验可以看出,炉外脱硫效率一般在5%左右,这就意味着炉内脱硫效率要达到90%以上。
试验可见钙硫比和床温是影响炉内脱硫效率的主要因素。欲简化多目标模型,需要求解床温和脱硫效率的关系ηSO2=(3-R)f1(x)+(R-2)f2(x),得出满足ηSO2(内)最大的床温参数x,即令
![脱硝工艺]()
因求解x的表达式中有参数R,分别对R(2≤R≤3)赋值,逐一求解x,得表8。由试验数据可知,当炉内脱硫效率最高时,钙硫比与床温之间近似满足线性关系,通过MATLAB拟合得出二者关系表达式为
![脱硝工艺]()
3.2.2、多目标规划模型的求解
将上述所求系数及关系表达式代入多目标模型式(14)中,假定燃煤硫分Sar及石灰石粉纯度α不变,分别取Sar为1%、α为90%,求解多目标模型如下:
![脱硝工艺]()
机组运行过程中一直处于中高负荷,根据实际情况设定给煤量M为200t/h。根据给煤量可以近似算出烟气流量为1000000m3/h,将给煤量和烟气流量代入式(22)得到多目标模型中最优参数为
![脱硝工艺]()
3.3、优化结果分析
为了比较机组实际运行过程中参数值与优化模型所求的参数值,选定和优化模型一样的中高负荷工况,采集了一个月的机组实际运行数据,找出准确可用的数据并分别求其平均值。
![脱硝工艺]()
4、结语
对比实际运行参数值与优化模型参数值可见,两种情况下SOx、NOx的排放浓度都能满足文献要求。尽管机组实际运行过程中,SOx、NOx排放浓度要略低于优化结果,但经济性指标与优化结果相差很大,不仅脱硫剂消耗量大,而且脱硫脱硝系统耗电量显著增加,机组运行的经济性较差。因此,在不改变现有污染物脱除装置的前提下,一味追求降低排放浓度的代价太大。综合经济性考虑,多目标优化后的脱硫脱硝参数优于机组实际运行参数。
文献信息
王琦,白建云,王欣峰,王力.CFB锅炉脱硫脱硝系统多目标优化[J].中国电力,2017,50(07):109-114+121.