北京物流信息联盟

机床大讲堂第171讲——基于响应面法的活动横梁动静态特性多目标优化(上)

2022-04-05 14:22:42

《制造技术与机床》杂志  



1951年创刊,属中文核心期刊,中国科技论文统计用刊和《中国学术期刊文摘》摘录用期刊。

[ 本文共1574字,预计阅读时间4分钟 ]

基于响应面法的活动横梁动静态特性多目标优化(上)

导读
为了满足300MN液压机活动横梁在具有高的动态特性的基础上,还使结构具有轻量化的要求,提出一种基于响应面法的动静态特性多目标优化方法。首先采用中心组合试验设计方法(CCD)得到样本试验点和各试验点的试验数据,采用二阶响应面建模的方法建立活动横梁各性能指标的响应面数学模型。将活动横梁的最低固有频率和活动横梁的整体质量作为目标函数,最大应力为约束函数,结合响应面模型,采用Shifted Hammersley序列抽样技术和权衡函数结合的遗传算法对活动横梁进行多目标优化,得到Pareto的优化解集,经过优化可使活动横梁的质量减轻12.2%,固有频率增加27.22%,使活动横梁在具有高的动静态特性的基础上还具有轻量化。


活动横梁是由多个零部件组成的复杂动力学系统,其主要承受各工作缸的压力,完成液压机的各项工况动作。活动横梁作为液压机的关键部件,其整体变形影响锻压件的精度,其重量直接影响到整机的重量和材料成本。在对活动横梁进行设计时,为了确保设计的计算精度和可靠性,设计者们必须采用较大的安全系数,从而导致活动横梁笨重,浪费材料,大大影响了其动态特性,严重影响了液压机和锻压件的性能。因此,需对其进行优化,使活动横梁在具有高的动静态特性的同时还使结构具有轻量化。针对此优化问题,一些学者对其进行了研究,但这些研究并没有取得很好的研究效果。首先,由于活动横梁结构复杂,很难使用显式方式的表达式对其目标以及约束函数进行表述,其次,目标以及约束函数大多是不连续的,采用传统的优化方式很难找到他们之间的最优解。响应面法是一种采用试验设计理论对指定的设计点集合进行试验得到目标函数和约束函数的响应面模型,来预测非试验点的响应值的方法。在保证活动横梁的原动静态特性不降低的情况下,尽可能地减少活动横梁的质量,使其在具有好的动态特性的前提下,结构具有轻量化,节约材料,降低制造成本,其优化设计的本质是一个多目标优化。为此,本文以300MN液压机的活动横梁为研究对象,采用实验设计、响应面法和多目标遗传算法相结合的优化设计方式对活动横梁的高动态特性,结构轻量化的多目标进行优化,并得出其相应的优化结果。该研究将为其他复杂机械产品的优化设计提供一定的指导和参考意义。


1 活动横梁优化设计流程


以300MN活动横梁的质量和动态为本优化的目标以及约束函数的优化流程图如图1所示。首先根据活动横梁的结构确定影响优化指标的关键因素。在Solidworks中建立活动横梁相应的参数化模型,将设置好的模型导入到AWB有限元仿真软件中,根据活动横梁原始的设计变量尺寸设定参数值的变化区间。其次,采用CCD的试验设计方法确定活动横梁的试验设计点,在AWB DS模块中对所确定的试验设计点进行相应的试验分析计算,得出一组试验设计数据,根据此组试验数据,拟合出活动横梁的质量、固有频率以及最大应力的数学模型,即建立相应的响应面模型,将建立的活动横梁的质量以及固有频率的响应面模型最优多目标优化的目标函数,最大应力的响应面模型作为约束函数,建立多目标优化模型。最后利用非支配的遗传优化算法寻找出活动横梁的高刚度和低质量的优选参数值。


2 参数化模型的建立


对300MN液压机的活动横梁进行建模时进行如下的简化处理:(1)活动横梁上的加工凸台、装配吊耳、铸造圆角以及拉杆螺栓等小部件对活动横梁的整体特性基本没影响,且这些小部件消耗计算机内存和影响计算效率,故忽略不计。(2)动静特性进行分析时,将活动横梁看作为一个线性的定常系统,忽略阻尼的影响。(3)动静态特性进行分析时,将活动横梁看作一个同性材料、密度均匀完全弹性的整体。根据以上叙述,建立如图2所示的300MN液压机活动横梁的三维实体模型。


3 响应曲面模型的建立


3.1 确定原始设计变量



由图2b可知,活动横梁是由不同的构件组成的,涉及很多的尺寸设计变量,若将所有的尺寸变量都设置为设计变量,则系统的计算过于庞大和复杂,造成没必要的时间浪费。基于此,优化选用活动横梁的6个主要的尺寸变量作为其本优化的设计变量:纵向板的厚度X1,纵向板上边缘的宽度X2,活动横梁组件下边缘宽度X3, 活动横梁组件厚度X4,活动横梁组件边缘宽度X5, 活动横梁组件长度X6,如图3、4所示:



3.2 实验点的选取



建立准确合理的活动横梁响应曲面模型,选择正确的试验点至关重要。中心组合试验设计方法(CCD)是一种能以最少的试验点建立相应二阶响应曲面模型而获得研究对象试验点的实验设计方法。因此本文采用CCD的实验设计方法获取300MN液压机活动横梁优化设计时所需的样本试验点。对于含有k个因子进行CCD组合设计方法所得到设计点的组成结构为:

式中:为各因素均取二水平(+1,-1)时的析因设计试验点,即沿着输入变量空间对角线所在轴的±1位置处的点,这些试验点用于估计响应面模型的一阶项和交互作用项;mr=2k为分布于坐标轴上的星号点,这些点扩展了设计区域,它们与中心点距离l为星号臂,调节l可以得到所期望结果的优良性;m0为各因素均取零水平时的试验点,即中心点,它提供一致精度和纯误差的估计。当k为2时试验点分布如图5所示。

因此,采用CCD设计方法进行实验设计时所需要的试验点的个数为:。由于本试验研究对象的设计变量数为6,为了能够使二阶响应面模型中的一阶项系数和交叉项系数可估,使试验的分辨度尽可能高,提高响应面模型的准确性,本试验将选用6个设计变量水平全为1的试验点作为析因设计的试验点,分辨度为VI,则试验设计所需的试验点数为45个,令星号臂l为设计变量所对应的边界条件。


根据上述分析,首先对本文所采用的CCD试验设计方法进行设置;其次将其导入有限元分析软件AWB进行实验设计计算得到所有实验点的参数仿真值。


3.3 性能指标响应面模型的建立


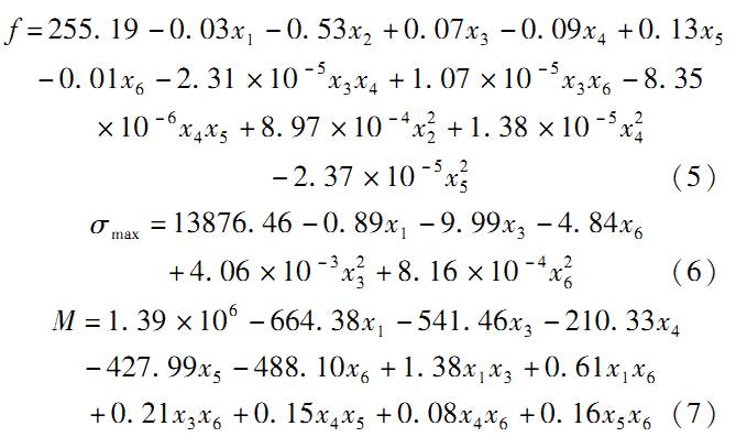
为建立300MN液压机活动横梁的性能指标与各设计变量之间关系模型,利用有限元分析得到的活动横梁由CCD试验设计方法所得各试验点对应的固有频率、质量和最大应力的响应值,并根据试验点和响应值建立平台的二阶响应面模型为:

式中:Yu(X)(u=1,2,3)为活动横梁的固有频率f、质量M和最大应力σmax。xixj(i,j=1、2、3、4、5、6)为设计变量各分量,ε为随机误差,β0、βi、βii、βij为未知系数,其中βi、βii、βij分别表示为xi的线性效应、xi的二次效应以及xi和xj之间的交互作用效应。


可将式(2)写成如下矩阵形式:

式中:Du为由试验点组成的设计矩阵,Bu为未知系数矩阵,根据最小二乘法原理可估算Bu:

式中:Yu为本文所研究试验点的响应矢量。


在AWB DX优化设计模块中对所选的设计变量进行更新,并对其在所求出试验点处活动横梁的动静态特性进行仿真研究,得出活动横梁在不同设计点下的响应矢量Yu(X)。由式(4)可知通过线性回归分析得出其未知系数矩阵,从而可以得出活动横梁性能指标的响应面模型,为了使模型的响应面更加准确,首先对该模型的显著性进行检验,其次删除模型中的不显著项,最后得出活动横梁动静态性能指标的响应面模型:

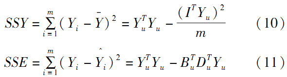
为了对建立活动横梁动静态特性的响应面模型的精确与否程度进行判断,一般采用评价指标复相关系数R2以及修正的复相关系数对其进行评价,若它们的值越近似1,则表明所建立的系统响应面模型的精度越高,其中:


式中:SSY为响应值与响应均值差的平方和,:SSE为响应值和响应估计值的平方和,Yi为所对应试验点的响应值,I为m列的单位矩阵。其中:

式中:为响应值的平均值,为根据响应面模型所得到的响应估计值。经计算出活动横梁的固有频率、质量以及最大应力的拟合度的值为:



未完待续


欢迎大家积极留言,探讨不同观点!~

山阴路的秋天

我多么想念你走在我身边的样子

想起来我的爱就不能停止

南京

欢迎加入

机床杂志社读者俱乐部

微信号:o00jia

微信号:yatou880915

选择一个上面的个人微信号加为好友注明加入读者群,之后会收到邀请,即可加入。

企业专家、行业领导、专业人员

汇聚一堂



免责声明:本文系网络转载,版权归原作者所有。转载目的在于传递更多信息和学习之用,并不代表本公众号赞同其观点和对其真实性负责。但因转载众多,无法确认真正原始作者,故仅标明转载来源。如涉及作品版权问题,请及时联系我们,我们将删除内容以保证您的权益在此,感谢一直喜欢和支持本公众号的朋友们!如果你有什么问题和建议请联系我们。Email:ad@mtmt.com.cn




机床杂志社

欢迎关注,长按识别


友情链接

Copyright © 2023 All Rights Reserved 版权所有 北京物流信息联盟