北京物流信息联盟

电法勘探找水野外常见干扰问题分析与处理

2021-08-11 14:24:26

摘要 : 

      针对野外电测找水中出现的问题 , 探讨布极与跑极、覆盖层、低阻岩层、低阻矿体、地形、接地电阻、漏电等因素对电法勘探找水的影响。针对可能出现的各种影响因素 , 提出了沿等高线布线、电线不要悬在空中、 加大电极与土壤接触面积、 减少电极附近介质的电阻率、 布极方向垂直于游散电流方向、 清理电极附近的植物、 电极不能布置在疏松的填土上等相应处理措施 , 排除了各种干扰因素 , 提高了测量精度 , 使成井率保持在 90 % 以上 , 找水效果明显提高。



     电法勘探找水在各地得到了广泛的应用。刘福臣等利用联合剖面法对泰山群变质岩地下水进行了研究 ; 山东农业大学对鲁西泰山群变质岩地下水进行了系统研究 , 利用电测深、 激发极化、 中间梯度等方法 , 在泰山群变质岩地层中定井 100 余眼 , 经钻探验证 , 成井率保持在 90 % 以上。电法勘探找水野外工作中 , 经常会出现覆盖层、低阻矿体、地形、漏电等各种因素干扰 , 影响到测量结果的精度 , 降低成井率。因此 , 系统研究野外电法勘探找水可能遇见的干扰问题 , 排除各种因素的干扰 , 提高电法勘探找水的准确性具有重要意义。


1 布极与放线

1.1布极

     野外电测时 , 由于地下不均匀地质体的影响或地表地形起伏的影响 , 同一测点、不同的布线方向所绘出的电测深曲线可能不尽相同。在平原地区 , 由于地层在水平向比较稳定 , 布线方向可任意选择 ; 在山丘地区 , 当地形倾角较大时应沿等高线布线 , 并尽量少穿越较深沟谷和陡坎 ; 如果岩层倾角较大 , 一般沿岩层走向布线;如果存在断层 , 则应沿断层走向布线 , 这样才能够正确反映地下岩层的地质情况。

1.2放线

     为避免导线漏电 , 不能将铺设的导线浸入水中 ,放线长度要准确。遇有障碍物时 , 电极应垂直于电极排列方向挪移 , 但挪动距离不应大于极距 AB/2 的5 %;当只能沿电极排列方向挪动时 , 挪动距离不能大于极距 AB/ 2 的 1 % 。为了使极化电位稳定 , 使用的测量电极应该相同 , 一般采用紫铜棒, 并使MN电极插入地下的时间尽可能长一些。测量电极一般布置在干净的地方。冬季测量时 , 电极应穿透冰土层 , 否则接地电阻较大 , 影响电压的大小。当土壤很干时 ,可以在电极附近浇水 , 以减少接地电阻。一般要求浇水之后 30min 再进行观测。电极一般不能布置在疏松的填土上 , 若不可避免 , 一定要踏实。电极与导线的裸露部分应避免与植物的叶子接触 , 以免造成漏电。电线不宜悬在空中 , 如悬在空中则应拉紧 , 以免摇摆产生感应电动势 , 造成极化电位不稳。


2 覆盖层的影响

     覆盖层电阻率一般小于坚硬岩层的电阻率, 覆盖层越厚则低阻屏蔽现象越严重, 联合剖面曲线越平缓, 基岩中的异常反映越不明显。当 AB/2<3H时( H为覆盖层厚度) ,在土层变厚处及土层电阻率变小的地方都会出现正交点;在覆盖层厚度相对较大时, 尽管 AB/2 很大 , 也会出现假的正交点。根据模型试验结果 , 一般在 AB/2 ≥ 3 H 时可大幅度降低覆盖层的影响。


3 低阻岩层、低阻矿体的干扰

3.1电阻率法

     电阻率法测量要求目的层的电阻率与围岩的电阻率差异明显, 差异越明显时电测效果越理想。若目的层的电阻率与围岩的电阻率差异不大 , 则电阻率法无能为力。例如石灰岩层中被黏土充填的溶洞、 裂隙以及石灰岩层中的页岩层和泥灰岩夹层都呈低阻异常 , 电阻率接近或相等 , 根据电阻率的大小不易将它们区分 , 往往误判为充水溶洞 , 造成定井失败。

3.2.1激发极化法

     在激电法勘测中, 电子导电性矿物和人工电子导体的干扰往往造成分析判断错误, 因此在测量过程中要注意排除电子导体的低阻矿体干扰 , 正确地辨认含水层, 提高定井成功率。充电率 M 过大时 ,往往意味着地下有电子导体存在。根据泰山群变质岩地区野外电测经验, 当充电率 M > 3ms 时 , 一般是电子导体的反映。

3.2.1天然低阻矿体的干扰

     在采用激发极化法找水时 , 要特别注意天然低阻矿体( 金属矿体 ) 产生的干扰。如果充电率 M曲线平直, 则基本上可以排除低阻矿体存在的可能性 ; 若M值过大 , 则可能是矿体的反映。如泰安市某村激电测深曲线 , M曲线从AB/2=16m开始上升 , 至74m 时达到 3.3 ms 。钻探证实 , AB/2 = 30m时开始出现含铁质片麻岩 , 井深 60 m , 出水量只有0.5m³/h 。

3.2.2 人工电子导体的干扰

     在无天然低阻矿体的地区 , 虽然不存在天然低阻矿体的干扰 , 但也应该注意人工电子导体的干扰。如在临沂某变质岩地层中测得 1 组激电测深曲线 ,M值超过 4.0ms , 初步分析认为可能是电子导体引起的高值异常。后经钻探验证 , 岩层为花岗片麻岩 ,裂隙不发育 , 也未发现金属矿物存在 , 出水量只有4m³/ h 。经详细调查 , 发现在距钻孔 5m 远处有一金属供水管道 , 由于测线方向平行于管道方向布设 , 且管道又位于勘探体积内 , 所以造成了假异常 , 导致找水定井失败。


4 地形的影响

4.1电测深法

     野外电测时, 由于地下不均匀地质体的影响或地表地形起伏的影响, 同一测点、不同的布线方向所绘出的电测深曲线可能不尽相同。当地面坡角小于或等于20°时,地形起伏变化对电测深曲线影响较小,此时测线方向可任意选择 ; 若地面坡度大于或等于20°,或者测线方向极距跨越山谷或山脊时,地形起伏变化对电测深曲线影响较大。

     根据周天福的研究, 当测点位于斜坡时地形所造成的测量异常较小, 而测点位于山顶或谷底时地形所造成的测量异常最大;对于同一种地形而言,垂直于地形等高线的方向布置测线时, 地形所造成的测量异常比平行于等高线方向布置测线时所造成的测量异常要大,并且所造成的测量异常随极距AB/ 2 的增大而增大。平行于地形等高线的方向布置测线时 , 地形所造成的测量异常较小, 且所造成的异常随极距AB/2的增大而趋于稳定;异常主要出现在 AB/ 2 小于 3 a 的极距上,其中a为山脊或山谷宽度。当AB/ 2大于3a 后,无论是山脊、山谷,也无论是平行或垂直于走向布极,地形引起的测量异常均较小。

4.2 联合剖面法

     联合剖面通过山脊时 , 联合剖面曲线在山脊所对应的位置上出现极小值的交点 , 该交点为反交点 [ 6 ] 。在山坡脚所对应的位置上对称地出现 2 个不典型的正交点 ; 当联合剖面通过山沟时联合剖面曲线在沟底所对应的位置上出现极大值的交点 , 在山沟的两侧对称地出现 2 个反交点 , 这些交点均随着极距的增大而逐渐变得不明显。


5 野外常见干扰

     电阻率法观测的是供电时在电极M和N之间产生的稳定电位差,这种正常信号传到仪器后,指针应该是稳定的。但是由于各种干扰使指针有规律或无规律地摆动,影响观测质量。这些干扰一般有以下3类:不稳定地电场,感应电动势,变化的电极电位。

5.1 不稳定地电场

     稳定的地电场 ( 如金属硫化矿、石墨以及炭化岩层所形成的自然电场等)可以在测量前被补偿掉,不构成干扰;而变化的地电场 ( 如大地电流、工业游散电流、随时间变化的渗滤电场等) ,会引起测量电位差Δ u 的过程中仪器指针摆动,干扰严重时甚至无法读数。

5.1.1 大地电流场

     大地电流场强度一般较小,有一定方向性,夏季强、冬季弱。一天中中午强、夜间弱,但周期性较复杂,是一种随机干扰。可采取以下措施避免或减少:① 在大地电流较弱时间观测(如避开中午) ;② 加大供电电流 , 以增大信噪比 ; ③ 进行多次观测 , 合理地读数。

5.1.2 游散电流

     在城市、 矿山、 电气化铁路等用电量很大的地区 , 由于接地线的存在 , 大地有强大的游散电流。另外在变压器、 有线广播线的附近 , 接地线也能产生游散电流。由于用电量大小、 时间和地点变化 , 使游散电流的分布、 强度和方向变化多端 , 因此游散电流场的存在会引起测量仪器指针无规律地摆动 , 解决方法如下 : ① 在停电或用电低峰时间观测; ② 加大供电电流 , 以提高信噪比; ③ 尽量使布极方向垂直于游散电流方向;④ 多次观测 , 合理取数。

5.1.3 随时间变化的渗滤电场

     由于降雨或因地面干燥而浇水 , 在短时间内会引起随时间变化的渗滤电场。这种电场会引起测量仪器指针缓慢漂移 , 为避免这种干扰 , 一是雨后不要立即进行观测 , 二是浇水后应间隔 0.5h 以后再进行观测。

5.2 感应电动势

     当测量导线悬空随风摇动切割地磁场或其周围存在变化的磁场时 , 都会在测量线路内产生感应电动势 , 形成干扰。在测量过程中应注意以下问题 :① 使测量导线尽量不要悬空 ; 在无法实现测量导线不悬空的情况下要将导线拉紧 , 使之不能随风摆动。② 供电回路接通或断开的瞬间 , 由于电流突然变化 ,在周围产生变化的磁场 , 因而在测量回路产生瞬间感应电流。供电瞬间感应电动势加入测量仪器后与Δ u 方向相同 , 会导致测取读数增大。但这种情况只能维持很短时间 , 因此在观测读数时应读其稳定读数。③ 当测量导线邻近并平行于高压、 低压输电线或通讯电缆时 , 会产生感应电动势 , 前者使测量仪器指针抖动 , 后者使测量仪器指针产生脉冲性偏转。消除方法主要是使测量线垂直于输电线 , 远离后再平行铺放。

5.3 变化的电极电位

     金属电极与土壤接触产生电极电位。土壤中的溶液性质或浓度改变都会引起电极电位的变化 , 从而导致极化电位差的变化。如电极布置在流水中 ,则测量仪器指针表现为随水流摆动;有时由于测量导线漏电 , 导线裸露部分在风的吹动下使测量仪器指针产生脉动式摆动。克服方法如下 : ① 采用不极化电极;② 清理电极附近的植物 , 防止风吹动时植物与电极接触; ③ 严防测量导线漏电。


6 接地电阻

     供电电极的接地电阻大小不仅影响供电电流强度,而且对漏电程度也有影响。测量电极接地电阻的大小影响着漏电电位差的大小。总之减少接地电阻是节省电源、提高工效、保证观测精度的有效措施。

6.1 影响接地电阻的因素

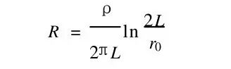
     野外常用电极是棒状金属电极 , 其接地电阻为


公式1

     式中 : R 为接地电阻; ρ为介质的视电阻率;L 为电极入土深度;r0为电极的半径。

     从式(1)中可以看出,R与ρ成正比,与L和r0近似成反比。如果电极处的土处于松动状态,接地电阻会增大。所以为减少接地电阻的影响 , 应使电极与周围的土紧密接触。 R 随电极入土深度的增大及电极与周围土接触面积的增大而减小,但电极入土深度大时其置入、拔出都较困难,粗了又过于笨重而搬运不便 , 所以电极一般用直径2cm、长度 50 ~70cm 的铜棒做成,入土深度一般在30 ~ 50cm 范围。

6.2 减少接地电阻的措施

     a. 加大电极与土壤接触积。使用表面积大的电极,加大电极入土深度,除去电极表面的铁锈,电极打入地下后将其周围的土压紧。

     b. 减少电极附近介质的电阻率。① 在规范允许的情况下将电极布置在潮湿的地方。② 在电极附近浇水。根据点电源的电场分布可知,在电极附近的电位降较快 , 可见接地电阻主要表现在靠近电极附近的介质中 , 故在电极附近浇水即能达到减少接地电阻的目的。另外,不要将电极布置在电阻率大的砂子、石子附近。③ 供电时间较长也会增大接地电阻 , 即电流随时间减少。原因是通电后电极表面析出的电解产物主要是各种气体,电极表面气体增加会导致接地电阻增加。可在电极附近浇一些硫酸铜溶液,以减少电极上气体的析出量。


7 漏电的影响

     在野外,尤其是雨后潮湿的环境中观测,或者电线老化时有可能漏电。漏电可能发生在供电线路、测量线路和仪器等部位。漏电部位和漏电程度不同,对观测结果的影响也不相同。当漏电部位位于供电线路和测量线路时,电测深曲线会出现严重畸变,具体表现为:在某一个供电极距测量时电阻率很大或者很低,电测深曲线出现明显的拐点。如果排除高阻或低阻岩体的影响,这种情况有可能就是由漏电造成的。

7.1 供电线路漏电

7.1.1  漏电影响

     由于漏电点存在,相当于在测量电场内又多了1个点电源,由于漏电影响而产生的电位差为


公式2

式中 : Δ u 为总电位差 ; K 为装置系数; Δ U , I 分别为正常供电时的电位差和电流;α为漏电系数,即漏电点流入地下电流占总供电电流的百分比;xAM , xAN 分别为供电电极 A 到测量电极 M 和 N 的距离;xFM ,xFN 分别为漏电点 F 到测量电极M和N的距离。由式(2)可知,等号右边第2项是由漏电误差引起的。由此看来漏电影响主要取决于 2 个因素: 一是漏电量(即α的大小);二是漏电位置F。

a. 漏电系数α。漏电系数α计算公式为


公式3

     式中RA和RF分别为电极A和漏电点F的接地电阻。α与RA和RF有关,在RF一定条件下,RA越小则α越小,漏电引起的电压误差也就越小。因此 , 在实际工作时应尽量减少电极 A 和电极 B 的接地电阻。

     b. 漏电位置F。漏电位置F越靠近测量电极其产生的影响也越大,这是因为F点靠近测量电极时,相当于在测量电极附近增加了1个附加电极 , 该电极产生的电场强度对电极M和N的电位影响较大。漏电位置越靠近供电电极则影响越小。当漏电位置与供电位置一定时,漏电影响随装置系数 K 的增大而增大,K值大,即供电距离大,而测量电极M和N之间的距离相对较小,此时Δ u 较小,故漏电影响较大。因此,在大极距工作时应特别注意供电线路漏电问题。

7.1.2 预防和消除漏电的方法

     a. 保持导线干燥、清洁,防止老化,发现漏电处应及时用绝缘胶布包好,导线通过湿地、水田、河沟时要架空;尽量减少供电电极的接地电阻。

     b. 在野外观测中应该经常按规范要求进行漏电检查,特别是电测深曲线上出现畸变时一定要进行漏电检查。

7.2 测量线路漏电

     当测量导线漏电时,由于导线金属接地所产生的新的极化电位加入测量仪器,使观测电位差减小,计算的视电阻率偏少 ,造成低阻的假象,对电测深曲线的解释影响很大。因此,在野外电测过程中必须高度重视。减少导线漏电影响的方法主要有 : ① 加大测量线路漏电点的接地电阻;②减少测量电极M和N的接地电阻;③野外观测中经常进行漏电检查 , 发现问题及时处理。


8 小结

     野外电测找水中出现的各种问题会影响到测量精度和找水效果。笔者探讨了布极与跑极、覆盖层、低阻岩层、低阻矿体、地形、接地电阻、 漏电等因素对电法勘探找水的影响,分析了各种影响因素, 提出了相应的处理措施。



湖南省山水地质勘探设备有限公司

湖南省山水地质勘探设备有限公司是一家专业从事地质勘探设备系统研发、制造及销售的高新技术企业和软件企业。所研发新技术为特色的多功能天然电场物探仪,都已获得国家专利,目前产品主要应用在地质找水、地质找矿等领域。


长按二维码然后点击识别二维码,即可关注山水物探最新产品资讯。





友情链接

Copyright © 2023 All Rights Reserved 版权所有 北京物流信息联盟