北京物流信息联盟

不能进行所有相频噪声参数的完整测试?上海光机所研制的这款测试仪器已获突破

2022-01-09 12:13:47


作者:杨飞  蔡海文  马康


低噪声单频激光器在超高分辨率成像、超高速率通信、超高精度传感等领域具有广泛的应用前景,对其相位噪声、频率噪声、线宽等相频噪声特性的表征与测试具有不可忽视的基础性和重要性。


,并获得国家专利。该仪器既能保证测量完整性,同时又能保证测量稳定性,极具现实意义。


1

高精度单频激光器的主要测试方法


对于传统激光光源的相频噪声特性测量,一般采用光谱分析仪(OSA),其测量精度一般为0.01 nm;对于线宽在兆赫兹量级的激光光源,一般采用法布里-玻罗(F-P)扫描干涉仪测量。


但是目前用于高精度测量系统中的激光器线宽越来越窄,达到千赫兹量级甚至百赫兹量级,此时往往通过干涉解调。


干涉解调过程的低噪声性(准确性)和高稳定性成为人们发展各种测量技术的出发点。现在主要的技术有以下几种:


01

基于两台同类型激光器的拍频测试

这样可以得到线宽、噪声功率谱等参数,但是只能得到两台激光器的平均值,对线宽的测试依赖于先验的噪声模型,随着测量性能越高对环境的要求也会越高;


02

基于马赫-增德尔干涉仪的90°

相差延迟自外差技术

该方法也依赖于测试的噪声模型,能够测得最小kHz级的线宽;


03

基于迈克尔逊干涉仪结构的90°

相差延迟自外差技术

该方法能够测得噪声功率谱,不需要先验模型,但是需要主动控制技术保持干涉仪的正交工作状态,而这增加了系统复杂度和对环境的要求,同时限制了系统的噪声基底;


04

基于光纤环结构的重复环路自外差技术

该技术普遍适用,也是该领域的研究热点,但是由于使用100 km级的延迟光纤,所以其稳定性有待提高。


上述几种方案中,没有一种方案能够进行所有参数的完整测试,测试精度和稳定性也有待提高。


另一方面随着相干雷达、相干通信、水听器、空间单频激光器等众多实际项目的不断发展,对单频激光器相频特性准确性的表征测量需求越来越迫切。


因此研制能够克服上述几种方案的缺点,在保证测量完整性的同时又能保证测量稳定性的相频噪声特性测试仪器具有重要的现实意义。


2

  能够完整测试相频特性,

又兼具稳定性的仪器问世


,成功研发了一套低噪声单频激光器相频噪声特性测试仪器(中国发明专利ZL201110172609.3; 软件著作权2017SR098918; Optics Express 2015, 23(17), 22386),其基本原理如图1所示,实物样机如图2所示。


待测激光(LUT)的输出经过环形器(C)进入3×3耦合器(OC)的输入端口1,然后经过OC的输出端口1和2分别到达法拉第旋转反射镜FRM1和FRM2,输出端口3未使用。FRM1和FRM2反射的两束光具有不同的时延,并在OC处发生干涉,干涉信号分为3束从OC的3个输入端口输出,分别到达光电探测器PD1、PD2和PD3进行光电转换,完成待测激光的相干探测。


然后用高速数据采集卡(A/D)采集探测信号输入计算机,并对其进行相干解调从而获得待测激光的相位信息,然后在数字域进行待测激光的相位噪声解调和相应的计算就可以获得完整的相频噪声特性。


图1相频噪声特性测试仪器光学硬件原理图


图2相频噪声特性测试仪器实物图


3

测试仪器优势明显 其他测试方案无可匹敌


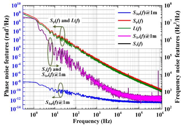
利用该仪器测量的RIO公司的平面波导外腔半导体激光器的相频特性如图2所示,该结果与其产品手册的结果非常吻合,同时还反映了很多产品手册没有包含的内容,比如线宽随测量时间增加而增加的变化特征等。


图3利用相频噪声特性测试仪器测量的RIO公司平面波导外腔半导体激光器的差分相位波动功率谱密度SΔφ(f) @ 1m,差分频率波动功率谱密度SΔν(f) @ 1m,瞬时相位噪声Sφ(f)、瞬时频率噪声Sν(f)以及相位噪声L(f)。


图4利用相频噪声特性测试仪器测量的RIO公司

平面波导外腔半导体激光器的线宽


该仪器现在已经可以提供相关产品的测量服务,基本参数如表所示。


相频噪声特性测试仪器基本参数表


该方法利用干涉仪的原理,同时借鉴相干探测的核心思想,即增加一个附加变量,然后通过数字处理算法进行自适应的相位解调。具体方式是通过将常使用的两臂90°反相干涉改为增加一个输出端口的120°相差干涉,然后通过三通道高精度数字采样(ADC)后在数字域内进行相位解调和噪声功率谱以及线宽等其他特性参数的计算。


它具有以下优势:


01

相比于90°相差延迟自外差技术,该方案在能够完整测试所有相位频率噪声参量的同时,增加了第三个自由度用于相位解调,不再需要额外的主动控制手段保持正交性;


02

相比于拍频等其他几种方案,该方案只需要一台激光器,不需要先验的噪声模型,不需要很长的光纤,具有很好的先进性、实用性和通用性;


03

该技术及仪器可以同时得到相位噪声/频率噪声、相位噪声功率谱/频率噪声功率谱、线宽、相对强度噪声RIN等几个反映单频激光器相频特性的完整参数。


该技术和仪器主要用于单频激光器相频噪声特性的测量,主要涉及方向包括:



相干光学传感:水听器、B-OTDR、声传感等;


相干通信;


相干雷达;


空间单频激光器;


光学计量和光谱学。


为了适应更多单频激光器的测量需求,未来,本课题组将继续扩展该技术和仪器的适用范围,例如在动态噪声特性测量、单频脉冲激光器方面的适用性。


—END—

关注我们,从这里开始

我们的微信矩阵


本文版权所有,未经授权,谢绝转载

如需转载,请联系oepn@siom.ac.cn

(欢迎转发到朋友圈~~)


友情链接

Copyright © 2023 All Rights Reserved 版权所有 北京物流信息联盟