2021-11-12 14:44:45
扰动项的空间过程会影响空间计量模型的估计效果。通过探究空间关联误差效应下空间动态面板数据(SDPD)模型拟极大似然估计(QML)的有限样本性质,发现含空间自回归误差项的SDPD模型大样本性质较好;其估计结果优于不含空间自回归误差项的模型;较强的误差项空间相关性对参数估计精度的影响程度较大;误差项分布偏离正态性会影响模型的估计结果,但模型总体估计的稳健性良好。总体蒙特卡洛结果与本文的理论分析一致。
The disturbance of spatial processeswill influence the estimate effects of spatial model.We explore the finitesample properties of spatial dynamic panel data(SDPD)model of quasi-maximumlikelihood estimation(QML)in the presence of spatial error effects in thispaper.Monte Carlo simulation shows that the large-sample properties of SDPDmodel containing spatial autoregressive error term are better.Its estimationresults are better than those free from spatial autoregressive error term.Theaccuracy of parameter estimation will be greatly influenced when there presencesstrong spatial correlation in error term.Then the deviation from normality ofthe error term will affect the model estimation results,but the overallestimate of the robustness of the model is good.The overall results of MonteCarlo are consistent with the theoretical analysis in this paper.
近年来,空间计量模型在社会科学尤其是在经济领域的应用出现了爆炸性增长,空间计量模型被用于研究区域就业增长率、房屋价格模型、技术引进、机场消费等问题,是区域科学、地理和经济领域的重要分析工具。而从方法论角度而言,空间回归技术已成为应用计量工具箱的一部分,于是现在广大学者的研究兴趣已逐渐从空间计量模型转向更复杂的空间面板数据模型、空间动态面板数据(SDPD)模型。本文研究的SDPD模型更注重探究空间单元之间的交互效应,这也使得模型的估计变得更加复杂。这种交互效应的形式包含因变量的时空滞后和误差项的空间自回归,这与经济行为间存在的交互关系不谋而合,现如今较多学者注重分析个体和时点固定效应下SDPD模型的空间交互作用,而忽略了误差项的空间自回归效应也是经济关系的重要影响因素。本文主要探究误差项空间自回归效应存在下SDPD模型的有限样本表现,分析模型的适应性。为今后空间自回归误差项SDPD模型的应用作铺垫。
空间动态面板数据模型是由静态面板数据模型(Anselin,1988)发展而来的,这类模型具有截面和空间相关性,大多被用于探究待估模型的渐近性质(Elhorst,2003;Kapoor等,2007;Baltagi等,2013),使用面板数据进行预测等(Baltagi和Li,2004;Baltagi等,2013)。而当经济单元中的数据同时具有截面和动态关联性时,使用空间面板模型进行分析是最直接有效的方法,学者们主要通过一般化如Cliff和Ord(1973)提出的截面空间自回归(SAR)模型得到SDPD模型。较早的时候,没有直接的关于SDPD模型的研究,这主要归因于将空间与动态相关联时,那些专门用于分析动态而非空间或者分析空间而非动态的方法会产生估计偏误,这也是一直以来SDPD模型方法论的研究缺陷。近年来,SDPD模型逐渐成为学者们的研究焦点。Elhorst(2001)第一次分析了时间和空间角度的动态模型,开创了长久以来SDPD模型估计无人问津的研究先例。如今已有的关于SDPD模型的研究主要集中于分析模型的空间交互作用,并通过在模型中加入固定效应(Blundell和Bond,1998;Korniotis,2010)或随机效应(Parent和LeSage,2010、2012)后进行SDPD模型的估计和统计推断。此外,关于SDPD模型的应用就集中于同时考虑固定效应和随机效应下的模型估计。选择的估计方法大多是拟极大似然(QML)估计,在进行一致性和渐进性分析的时候,选择的估计模型略有不同,多数条件下选择的是一般化的SDPD模型(张征宇和朱平芳,2009;Lee和Yu,2010)。
SDPD模型常用的估计方法是QML估计法。Su和Yang(2007)分析了当n很大而T固定的条件下SDPD模型的误差效应。Yu等(2008)考虑了在n和T都足够大的条件下SDPD模型的个体效应。Parent和LeSage(2010)则将时空滤波的方法引入空间动态面板随机效应模型,并对其进行空间溢出影响效应的量化分析。Elhorst(2010)分析了极大似然估计(ML)、误差修正LSDV法和广义矩估计法(GMM)的估计偏差和时间复杂度,并进行了方法比较。Yu等(2012)探究了不稳定情形即存在单位根情况下的QML估计,同时考虑了当T较小时的两阶段最小二乘(2SLS)估计和广义矩(GMM)估计。已有的关于SDPD模型的分析主要集中于探究n和T变动下模型的一致和渐近估计,而鉴于误差项的空间自回归效应将进一步增加模型的估计复杂度,较少文献将其考虑在内,但在区域市场、劳动经济、公共经济、城市经济敛散性等领域,除时空滞后项外,误差项的空间交互作用也将对模型的估计偏误产生影响。于是本文在考虑SDPD模型随机效应的同时,注重分析误差项空间自回归SDPD模型的有限样本性质。
Anselin(2003)、Anselin等(2008)将SDPD模型分成四类,分别是:一是纯空间递归模型,这类模型中只包含了空间时间滞后项;二是时空递归模型,此类模型中既包含了个体时间滞后又包含了空间时间滞后;三是时空同步模型,个体时间滞后和同期空间滞后在这类模型中被详细说明;四是时空动态模型,这个模型就包含了上述的所有滞后项。本文要分析的模型就是一般化的SDPD模型,即上述的第四类模型。同时考虑模型误差项的空间自回归效应。主要贡献如下:第一,本文将空间滞后和误差项的空间效应同时引入SDPD模型,在一般化的SDPD模型下探究空间关联误差项的空间效应;第二,统计推导了随机效应下SDPD模型的QML估计,分析估计结果的渐近性质;第三,使用蒙特卡洛模拟法进行数值模拟,探究QML法下含空间误差项的SDPD模型在有限样本中的表现,继而将估计结果与不含空间误差项的SDPD模型的估计结果进行对比,之后进行QML估计的稳健性检验,判定模型估计的有效性。
一、SDPD模型的空间自回归误差项结构和假设
对SDPD模型的研究近年来才兴起,很多领域未被涉足,鉴于模型分析的复杂性,含空间误差项的SDPD模型的研究也几乎没有。而现如今,关于SDPD模型的应用日趋增多,SDPD模型能更好地表达经济增长数据间的面板特性,考察省域或区域经济变量间的时空联动性,使得模型估计结果更符合经济波动规律。但现有研究大多忽略了随机误差项的空间相关性,在构建模型时,随机误差项通常用来存放未考虑到的遗漏变量,于是随机误差项常常被认为会对模型参数估计的显著性产生定性影响。而本文通过显式表达空间自回归误差项,将随机误差项的影响效应扩展到空间范围,从定性分析和定量分析两方面探究随机误差项的扰动强度,便于今后研究中对随机误差项空间影响效应的细致分析。
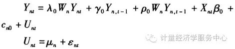
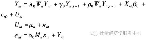
本文选择的一般化的SDPD模型如下:
上述模型有限样本性质存在的假设条件(Kelejian和Prucha,1999;Lee和Yu,2010)如下:
假设1 均为行标准化的空间权重矩阵,各矩阵主对角线上的元素均为零。
对空间加权矩阵进行行标准化能够确保所有的权重都在0~1之间,并且在设定空间权重矩阵时,任一个体与自身均不存在邻里关系。
一致有界的假定最早出现在Kelejian和Prucha(1999)的文章中,并且也被Lee(2004)使用,这主要作用是限定空间关联程度在一个可控的范围,便于极限定理的实施。
本文假定随机新息变量遵循独立同分布,否则当模型存在未知异方差时,模型的QML估计量将不一致。模型的有限四阶矩存在,并且高于四阶的矩条件让我们可使用Kelejian和Prucha(1999)的中心极限定理。
二、含空间自回归误差项的SDPD模型的QML估计
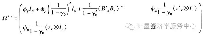
基于上述模型识别结果,本文选择误差项包含随机效应和空间自回归结构的空间自回归误差SDPD模型进行QML估计,主要分析n和T变化组合下模型的有限样本性质。而模型中各变量的假设以及变量间的关系会导致模型的估计偏误。于是本文假设随机效应与观测变量不相关,
服从均值为0,方差为
的独立同分布,与新息向量
不相关。此外,由于SDPD模型的时空滞后效应同时存在,并且随着时间维度T的大小的变化,初始截面数据包含的信息将对模型估计的结果和计算复杂度产生影响(Su和Yang,2007),于是本文在进行模型有限样本性质的估计分析时,在加入空间自回归误差项的条件下,对
的识别形式进行如下细分(Parent和LeSage,2012)。
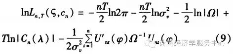
1.是外生的估计
于是,可得关于式(8)的对数似然函数:
2.是内生的估计
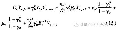
式(9)是在满足外生性假定条件下推导出的(Bhargava和Sargan,1983),若该假定不满足,那么式(9)的估计结果就是有偏和不一致的。此时,假设
是内生的,于是选择初始0时期的前m(m≥1)个时期进行分析,该情形下的
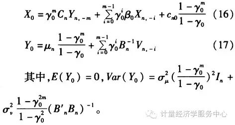
不能被忽略,那么,主要使用T+1(t=1,…,T)个时期的数据进行系统估计。式(4)还可以被写成:
当t=0时,有:
式(15)可被分成内生和外生两部分,分别是:
三、含空间自回归误差项的SDPD模型的有限样本性质
已有研究对含空间自回归误差项的空间计量模型进行了分析,分别得出各类模型的有限样本性质。Das等(2003)通过对带自回归扰动的空间自回归模型进行蒙特卡洛模拟,认为其估计参数的精确度随样本数的递增而递增。Yu等(2008)认为模型的预测结果随着n和T的变化而发生变动,即当n不变时,参数估计的偏差和标准差与T的变动呈反比,而当T不变时,只有参数估计的标准差与n的变动呈反比。Lee和Yu(2010)探究了个体固定效应下的空间自回归模型,认为只有在T较大时才能得到一致的参数估计结果。上述研究使用不同的模型进行了有限样本性质的探究,本文基于以上研究结果,分析如下的含空间自回归误差项的SDPD模型的有限样本性质。
为了评价上文估计方法的有效性和可行性,下文选择蒙特卡洛模拟法,分别从外生和内生的角度进行模拟分析,得出对应参数的估计值,进而选择估计结果样本的均值(Mean)、标准差(SD)和均方根误差(RMSE)评价估计效果。那么有:
其中,为第k个参数的第j次模拟估计值与其真实值之差,r代表模拟的次数。
1.数据生成过程
SDPD模型的数据生成过程如下:
2.数值模拟结果
由表1可见,当为外生时,n既定条件下所有参数(λ除外)的均值都随着T的增大而不断接近给定初值,并且所有的(λ除外)RMSE数值与T的变动呈反比,即模型估计的准确度越来越高。而当T一定时,n的增大使得
,γ,β,λ的估计值逐渐逼近初值,使得
,γ,β,λ的RMSE递减。即随着n和T持续增大到n=80和T=20时,
外生性假设下SDPD模型的QML模拟结果表现出较好的大样本性质。
综上,对比表1和表2可见,无论是n既定还是T既定条件下,为外生时均值与初值的差和RMSE较
内生性假设下参数对应的估计值普遍更大,说明
为内生时估计结果的精确度整体较高。通过对比
两种假设条件下的协方差矩阵即式(6)和式(22)可见,式(22)所包含的模型信息更加丰富,使最终的计算结果更精确。此外,还可通过对比n相同或T相同时各参数的RMSE平均变化率,本文绘制图1和图2以对比
外生和内生条件下RMSE的下降率①。可见,各个参数n一定T上升时的RMSE平均下降率低于T既定n上升时的RMSE平均下降率,主要原因是表1和表2中,n一定而T上升引起的面板数据变动总量比T一定n上升时引起的面板数据变动量小,则前者模型包含的估计信息少于后者。并且在
内生的条件下,含空间自回归误差项的SDPD模型进行QML估计时能利用更多的信息,进一步提升参数估计的精确度,表现为RMSE的平均下降率更高,面板数据的变动数量与精确度的正向关联性也说明了模型具有较好的大样本性质。
以上论述较好地表征了SDPD模型QML估计的大样本性质,为了更细致地说明空间关联误差项系数的变动对模型性质的影响,本文通过λ、α以及λ的RMSE值的三维图描述参数λ和α的变动对模型参数λ估计精确度(用RMSE值表示)的影响。首先,使用QML估计分别计算出其他参数不变,λ和α在-1、-0.75、-0.5、-0.25、0、0.25、0.5、0.75和1这9个值中变化时参数λ的RMSE值;进而,采用拥有保凸性、局部支撑性、几何不变性、变差减小性和凸包性等优点的B样条曲线最小二乘逼近法进行曲面拟合;最终,得出以α、λ为X、Y轴,λ的RMSE值为Z轴的三维参数估计图。如图3所示。下页图4和第37页图5、图6同样采用这种拟合方式,之后就不进行赘述。
由图3可见λ和α的变动对λ估计精度的影响情况。当保持n不变时,对比图3(a)、图3(c)和图3(e)可得参数λ的RMSE值与T的变化呈反比。而当T保持不变时,图3(b)小样本下λ的RMSE波动较大,图3(d)、图3(f)大样本下λ的RMSE波动幅度较小,并且随着样本量的增加,RMSE数值变化趋于缓慢,那么既定T下,随着n值的增大,RMSE值的变化在大样本条件下不显著。综上,在加入误差项空间自相关的SDPD模型中,T变动下的RMSE值变化比n变动下的RMSE值变动大,于是时间T对模型估计精确度的影响占主要地位,此时QML估计表现出较优良的大样本性质。
此外,从图3可见,当λ为定值时,α关于RMSE是一个凸函数,而α给定下的λ关于RMSE为凹函数。由式(1)~式(3)知,当α趋于1时,空间关联误差的方差上升,简单的计量模型中可令其他条件保持不变,那么空间误差项系数α的增大将使模型的估计产生偏误。但本文的SDPD模型中要实现其他条件不变是不可行的,于是
变动引致的
等的联动效应就造成λ的RMSE值在不同的λ和α下呈凹凸性的复杂变动。图3中α取最大值时,模型的空间相关性最强。综上,当空间误差项系数α取最大值时,参数估计结果的波动也最大,说明随机误差项的空间效应对模型的估计结果仍会产生显著干扰,并且α的扰动程度随着其取值的变化而变化,并且与λ相结合后,会产生不同的变动,但整体仍呈现为凹函数的形状。
图4给出内生性假设下估计参数λ的RMSE值。
内生条件下,模型估计利用的信息更加丰富,于是λ的估计精度受λ和α变动的影响也相对较小。同样,n不变时,参数λ的RMSE值随着T的上升而下降,并且在λ和α的数值变化中其波动得更平稳,即表现出较好的大样本性质。类似图3的分析,在λ和α的值分别给定的情形下,RMSE关于α和λ也呈现凹凸性,而
内生性假设下模型的参数估计更加精确,这使得RMSE的凹凸性显著程度弱于图3。综上说明,当
内生时,参数变动下SDPD模型的估计精确度将进一步提升,这也得益于模型较好的大样本性质。
为了明晰含空间自回归误差项的SDPD模型的估计效果,本文继而对不含空间自回归误差项的SDPD模型也进行了相应的估计,此时SDPD模型的数据生成过程即去掉的空间自回归项,有:
同样产生20+T期服从标准正态分布N(0,)的
,选取最后T期数据作为本文的样本数据。得出的各参数模拟结果如表3和第37页表4所示。
由表3可见,当为外生时,大部分的参数均值和对应的RMSE数值表现出与表1相同的变动规律。但在n和T取同一组数值时,含有空间自回归项下的表1比不含空间自回归项的表3的参数估计精度普遍更高,如当n=80、T=5时,含空间自回归项下
,γ,ρ,λ的估计准确度更高。
同样下页表4的参数均值和对应的RMSE数值也与表2的变化规律类似。在同一组n和T取值条件下,含有空间自回归项下的表2比不含空间自回归项的表4的参数估计精度普遍更高。上述现象的主要原因为:很多研究在构建模型时,通常会存在一些遗漏变量,普遍的做法是将未考虑到的遗漏变量放在随机误差项中,造成随机误差项的自相关、非白噪声以及方差非齐性,虽然我们在进行模型估计时经常会假设随机干扰项服从零均值、同方差的独立同分布,但在实际操作过程中,空间计量模型经常存在违背经典假设的情形,最终影响估计参数的显著性和模型的拟合优度。而大多数模型尤其是SDPD模型的随机误差项均以时间序列或面板数据的形式存在,很多学者并没有考虑随机误差项的空间交互效应,导致估计偏误的产生。本文通过分析SDPD模型随机误差项的空间相关性,相当于间接考察遗漏变量的空间关联作用,使得模型的估计更加准确。此外,现如今各类空间计量模型的检验方法,如Moran检验、LM检验等都能准确判断随机误差项存在下模型的空间相关性,但大多数模型都没有分析随机误差项空间自回归效应的大小,于是无法进一步界定随机误差项的扰动强度。本文通过在随机误差项中加入空间自回归过程,通过分析α估计值的大小就能顺利解决上述问题。综上所述,使用带空间自回归误差项的SDPD模型进行参数估计,得出的结果是可行的,为了进一步分析模型估计的稳健性,进行如下的模型稳健性检验。
四、模型的稳健性检验
从图3和图4可见,当模型样本相对较大时,参数λ的RMSE值波动较小,说明此时模型的估计结果较好,即大样本条件下,模型较为稳健。而在小样本条件下,参数λ的RMSE值波动较大,Blanchard和Matyas(1996)认为在经济问题中,这与尤其在小样本条件下误差项偏离正态性与否关联。于是为了验证小样本条件下模型的估计结果仍是稳健的,本文选择检验QML估计在μ和非正态分布假设下含空间自回归误差项的SDPD模型的稳健性,分别对μ和
的分布进行混合正态分布、均匀分布、t分布和卡方分布的假设,以验证小样本条件下模型的稳健性,为使各类分布下的标准差具有同一量纲而便于比较,设定各分布的方差均为2。最终得出
外生性和内生性假设下的测试结果,由于篇幅限制,选择与表1和表2相同的初值进行分析,而选择的μ和
分布组合以及结果如表5和下页表6所示。
由表5可知,小样本条件下,当扰动项所包含的不可观测的空间特殊效应项和随机新息变量服从不同分布时,得出的模拟结果与表1中两者均服从标准正态分布时的结果存在差异,但总体的RMSE波动趋势相似。并且,当μ和
均服从标准正态分布时的模拟结果优于表5中各分布的情况。
表6的结果同样验证了标准正态分布的优越性。此外,内生条件下的结果依旧优于外生条件下的结果。同样,表5和表6均只给出了一组参数下的QML小样本估计结果,为了更清晰地探究各个参数真实值的变化下的RMSE波动情况,本文依然选择计算λ和α分别为-1、-0.75、-0.5、-0.25、0、0.25、0.5、0.75和1的数值组合情况下λ的RMSE值,得出的结果如下页图5和图6所示。
图5和图6给出λ和α在区间[-1,1]内参数λ的RMSIS变化情况,可见当μ和均服从正态分布时,相对于图5中λ的RMSE数值波动最小,说明当μ和
均服从正态分布时,小样本条件下SDPD模型的QML估计结果受影响程度较小,恰好验证了Blanchard和Matyas(1996)的观点。此外,当μ和
均不服从正态分布时,参数λ的RMSE变化值波动情况与图4(b)的波动趋势较为一致,说明扰动项偏离正态分布对估计结果仍存在影响,趋势的一致性也进一步验证
假设条件下的QML估计是稳健的。
通过分析图5和图6,本文认为在方差相同的各类不同分布下,不同假设下λ的RMSE波动劣于正态分布下λ的RMSE变动,但总体的相似之处可归纳如下两点:一是本文的模型具有较强的空间相关性时,QML估计量对应的RMSE值就较高,即当α趋近1,λ趋近-1时,模型的RMSE值最大;二是α值越大,误差项的空间相关性对参数估计精度的影响越大,即当α趋近1,λ在-1~1之间波动时,λ的RMSE数值最明显。上述结论为今后进行经济金融领域的分析提供了有效依据,即在进行实证分析时,应注意模型估计结果中的空间自回归系数的数值变动。当数值较大时,应在进行变量的定量分析时考虑空间误差项的空间扰动效应对模型结果准确性的影响。这也是广大空间计量经济学类的文献一直忽略的问题。
五、结论与建议
近年来空间计量经济学分析越来越受到广大学者的青睐,大多数学者通过变量间的空间关联来分析经济中更加复杂的问题,探究变量间存在的空间相关性和空间异质性,得出更新颖的结论。但各类空间模型误差项的空间形式也会影响空间计量模型的估计结果,而大多数进行空间计量模型分析的文献都忽略了误差项的作用,那么最终的估计结果会因误差项的差异性影响效应而产生偏误。本文通过在SDPD模型中加入误差项的空间自回归项,分析模型参数的QML估计结果的受影响程度,并探究模型的有限样本性质。
QML估计在SDPD模型的估计中应用较多,其并不要求模型中的误差项一定要服从正态分布,并且在估计过程中,能够充分利用模型的信息,使得估计结果较为准确。本文探究了QML估计法下含空间自回归误差项的SDPD模型的有限样本性质,通过在SDPD模型的干扰项中加入随机效应的形式,刻画模型中存在的空间异质性。首先,本文基于QML估计下SDPD误差模型有限样本性质的假设,从的外生性和内生性角度进行QML估计的统计推断,得出对应情形下的QML估计函数;其次,通过蒙特卡洛模拟分析验证模型的有限样本性质,得出模型具有较好的大样本性质,而小样本条件下模型包含的信息量少等原因使得小样本性质不佳;再次,将含空间自回归误差项的SDPD模型估计结果与不含空间自回归误差项的模型估计结果进行比较,得出考虑空间自回归误差项的SDPD模型的大部分估计结果更佳,验证模型的可行性;最后,通过对扰动项分布的变动,论证得出模型扰动项偏离正态性与否会影响模型的估计精确度,但模型总体估计的稳健性良好。总体蒙特卡洛结果与本文的理论分析一致。
此外,由于QML在估计过程中,使用的模型信息较多,这也将提升模型估计的算法复杂度,而通过优化算法以降低计算复杂度是今后应继续深入的研究。而且可以进一步复杂化解释变量和误差项新息变量的分布形式,解释变量可选择更加复杂的分布(Hsiao等,2012),误差项的新息变量则可以通过考虑误差项的异方差性等问题(Kelejian和Prucha,2010;Dogan,2015;陶长琪和杨海文,2014),继而再分析误差项的空间自回归效应对SDPD模型估计结果的影响程度。
作者:陶长琪,周璇,原发信息:《数量经济技术经济研究》
大家都在看
5、六步搞定文献综述
想成为大牛 就关注这个号 ▼ 计量经济学服务中心 ID:jingjixue100 | 长按并识别关注 |
简介:专注于论文指导、软件操作、学术技能、数据分析等学术问题, 关注知识,发现价值。 | |
计量经济学服务中心
「创中国(民间)计量第一品牌」
学术QQ群:
相关推荐
友情链接
Copyright © 2023 All Rights Reserved 版权所有 北京物流信息联盟
