北京物流信息联盟

【电力圈 锅炉】珍藏版:“排烟温度高“原因大揭秘

2022-07-30 14:07:43



电力圈

聚焦电力 知识分享 职业社交

小编微信号:13218905,邀您加入专业群;

请注明:单位+专业+姓名



导读

首先介绍排烟温度对锅炉热效率及发电厂经济性的影响,计算说明排烟温度对锅炉经济运行的重要性;通过实例介绍排烟温度高问题诊断要点及排烟温度升高原因的分析方法。


排烟温度高是电站锅炉普遍存在的问题,造成排烟温度升高的原因也较多,所以找出引起排烟温度升高的原因,是针对性降低排烟温度的关键。本文就锅炉常见的引起排烟温度问题的原因诊断方法进行探讨。


1 排烟温度对电厂经济性影响计算

在燃煤锅炉中,排烟热损失所占锅炉总热损失的份额往往达到一半以上;排烟温度和烟气量两项指标共同决定了排烟热损失的大小,也就决定了锅炉热效率。

在煤质确定的情况下,烟气量仅仅与空气预热器后烟气过量空气系数(排烟氧量)有关,排烟氧量基本属于可控因素,所以对于大部分燃煤电厂而言,排烟温度高是影响锅炉热效率降低的最主要因素。


1.1排烟温度对锅炉效率的影响

根据GB10184-88《电站锅炉性能试验规程》的规定:


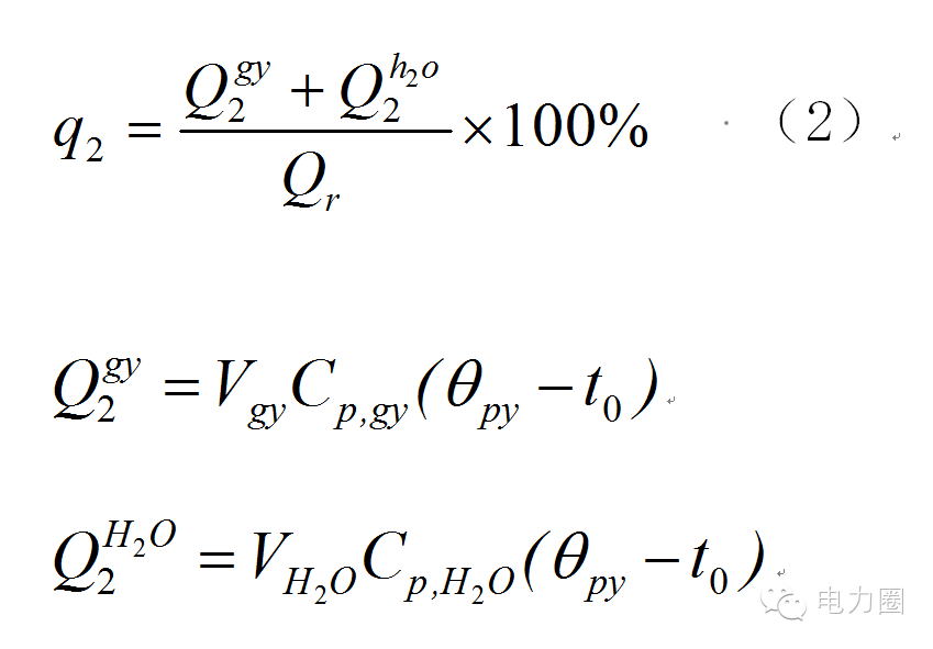
排烟热损失主要决定于锅炉排出的烟气容积和排烟温度,排烟热损失按下式计算:



由式(1)(2)计算可知,排烟温度每升高10℃,锅炉热效率约降低0.5%。



1.2锅炉效率对发电煤耗的影响

机组发电煤耗主要决定于汽机热耗率、锅炉热效率和管道效率,计算公式如下:


由上式可知,机组发电煤耗与锅炉效率成反比,据计算,锅炉热效率升高1%,发电煤耗约降低3.2g/kWh~3.6g/kWh。


1.3排烟温度对发电煤耗的影响

由式(1)(2)(3)可以推出排烟温度、锅炉热效率、发电煤耗之间的关系:


因此排烟温度对锅炉热效率和煤耗的影响较大,降低排烟温度对于电厂的节能降耗意义重大。



2 排烟温度高原因诊断方法

基于排烟温度对锅炉经济运行的重要性,所以对排烟温度高的原因诊断就尤为重要,是开展运行调整和技术改造降低排烟温度的前提。

下面就排烟温度高诊断的一些要点进行介绍:


2.1排烟温度修正

排烟温度修正是指将实际排烟温度修正到设计环境温度、设计给水温度条件下的排烟温度值。

锅炉实际运行时环境温度随季节变化,而环境温度的变化对排烟温度有较大的影响,为了分析的准确性,通常需要对排烟温度进行环境温度修正,消除环境温度对锅炉运行性能的影响,修正后的排烟温度与设计排烟温度比较才有意义。

当实际进风温度偏离设计值时,按GB10184-88《电站锅炉性能试验规程》中规定的方法修正:


一般情况下,给水温度偏离设计值比较小,对排烟温度影响有限。

2.2排烟温度超标值的确定

(1)实际燃用煤种硫分接近设计值时,排烟温度潜力的确定:

当实际燃用煤种硫分与设计值偏差不大的情况下,可认为设计排烟温度与实际运行排烟温度修正值的偏差为排烟温度的超标值,即排烟温度的降耗潜力。

(2)实际硫分与设计偏差较大情况下,排烟温度潜力的确定

近年来,由于煤炭市场供应关系的变化,大部分电厂锅炉实际燃烧煤种与设计煤种往往有较大的差别,特别是实际燃烧煤种含硫量远高于设计值时,按照设计排烟温度运行往往会导致低温腐蚀的发生,在我国西南区域电厂普遍存在这种现象。

当实际燃料硫分较设计值偏高较多时,需根据实际煤种硫分重新计算合理的最低排烟温度,并与实际值比较确定排烟温度潜力。

最低排烟温度确定准则:要使预热器受热面不发生腐蚀,冷端金属温度必须大于烟气露点。最低冷端平均温度是指空气预热器的空气进口平均温度和未修正的烟气出口温度的平均值。

根据俄罗斯新版《锅炉热力计算标准方法》,锅炉烟气酸露点计算公式形式如下:



另外,也可根据图2查取燃煤硫分对应的冷端平均温度值。

另外,有些老机组当年在建设过程中为了节约锅炉建造费用,设计的排烟温度偏高,也对锅炉运行经济性产生较大影响。以下是某电厂200MW机组(烟煤锅炉)的案例:据统计2011年入炉煤全硫含量(St,d)平均值为1.07%,换算到当量含硫量约为1.68%,根据空预器冷端平均温度运行曲线,合理的最低冷端平均壁温为68.3℃,按照空预器入口空气温度20℃计算,合理的排烟温度应该为116.6℃,但是锅炉设计排烟温度为150℃,所以在冷端腐蚀方面考虑,锅炉排烟温度约有30℃左右的理论降低空间。


2.3“空预器前烟温”参数分析

通过大量锅炉排烟温度诊断案例发现,空气预热器前烟温对于判断排烟温度高的原因有重要意义。

(1)空气预热器前烟温大于设计值

当空预器前烟温高于设计值时,说明锅炉燃烧、制粉系统运行方式、炉膛漏风、烟道积灰等方面存在影响排烟温度升高的因素,分析排烟温度高的原因时需重点分析以上因素对排烟温度的影响量。

例如某电厂300MW机组为降低NOX排放,燃烧区域二次风门开度较小,燃烧中心严重偏高,造成过再热减温水量较大,空预器前烟温较设计值高约30℃,排烟温度高。

(2)空气预热器前烟温小于设计值

当空预器前烟温达到或低于设计值时,说明锅炉燃烧、制粉运行方式、烟道积灰等方面不存在明显问题,就需要分析空预器换热,制粉系统、炉膛掺冷风等因素对排烟温度的影响。新投产锅炉往往会由于运行时间短,受热面沾污系数未达到设计值,空预器前烟温明显较设计值偏低10℃~30℃。

所以空预器前烟温与设计值的比较是分析排烟温度高问题的一个主要参数,它往往直接指明了排烟温度诊断的方向。


2.4 排烟温度变化趋势分析法

随着机组运行时间的增加,锅炉本体烟道及空预器受热面会产生积灰的现象,导致受热面吸热减少,烟气温度升高,所以排烟温度趋势分析法可判断锅炉积灰对排烟温度的影响。

表1是某厂300MW机组历年的排烟温度及相关参数表,由表中数据可以看出,随着时间的变化,由于锅炉空预器前受热面的积灰,空预器前烟温逐渐升高;由于空预器积灰的影响,空预器温降逐渐降低,最终引起排烟温度升高。


2.5空预器换热分析法

当空预器前烟温达到或者低于设计值,而排烟温度又高于设计值时,需要对空预器的换热进行分析。

空预器的传热计算比较复杂,实际应用过程中通过对现场运行参数的简单计算,可以判断空预器换热能力是否满足设计要求。表2是某厂600MW机组的运行数据与设计值的比较:


根据表2数据对空预器换热分析如下:

空预器入口温度边界条件:满负荷锅炉空预器前烟温平均为362.5℃,较设计值低3.5℃;空预器前冷一次风温平均值为28℃,较设计值高2℃;空预器前冷二次风温平均值为20.8℃,较设计值低2.2℃;以上数据综合分析可知锅炉空预器温度边界条件与设计值偏差较小。

空预器换热情况:锅炉A、B侧空预器烟温降较设计值分别偏低19.9℃、15.9℃;A、B侧空预器一次风温升较设计值分别偏低32.6℃、36.6℃;A、B侧空预器二次风温升较设计值分别偏低14.6℃、18.3℃。

在空预器进口烟气温度、空气温度偏差不大的情况下,空预器换热能力达不到设计值,因此可以断定锅炉空气预热器换热能力不足是排烟温度高的一个主要因素。查阅达标投产时锅炉性能试验数据,排烟温度约为126℃,表明新投产时空预器换热指标与设计值偏差不大。由此判断空预器运行中堵灰是空气预热器换热能力不足的主要原因。


2.6烟气量-空气量平衡分析法

锅炉有两种烟气量与空预器失衡影响排烟温度的情况,一是当锅炉燃用煤质大幅度偏离设计煤种(比如掺烧褐煤),会引起烟气量的增加,从而破坏放热工质与吸热工质比例平衡,导致排烟温度升高;另一种是由于锅炉漏风量大导致经过空预器的烟气量与空预器失衡,从而导致排烟温度升高。

(1)煤质变化引起的空预器烟气量空气量失衡

表3是某厂600MW机组大比例掺烧褐煤的情况:


表中数据显示,空预器一次风温升高于设计值;二次风温升与设计值较为接近;空预器烟气侧温降均低于设计值,分析其原因为掺烧褐煤的水分高导致烟气量大于设计值,从而烟气温降低于设计值。

(2)锅炉掺冷风引起的空预器烟气量空气量失衡

锅炉掺冷风一般有:磨煤机掺冷风、炉膛漏风、干排渣漏风。部分电厂采用干除渣系统,其漏风对于排挤空预器空气过流量具有负面影响。部分电厂制粉系统燃用高挥发分烟煤时,为控制磨煤机后温度,需掺入冷风,对于排挤通过空预器的空气流量也具有负面影响。

综上所叙,计算锅炉掺冷风量对分析排烟温度升高有重要意义。计算依据空预器热平衡原理进行,基本思路如下:



2.7制粉系统运行分析

磨煤机运行台数对排烟温度影响也较大,根据经验,增加1台磨煤机运行,排烟温度升高约有5℃。由于煤炭市场紧张,目前大部分电厂燃用煤质热值较设计值偏低,譬如600MW机组锅炉设计满负荷为5台磨煤机运行,实际运行中由于热值低于设计值,正常运行中满负荷均要6台磨煤机,影响排烟温度升高5℃。


2.8锅炉燃烧调整分析

影响排烟温度因素中与锅炉燃烧调整有关主要有配风方式、燃烧中心位置调整、掺冷风量等,因此在运行中要加强调整,最大限度的降低排烟热损失。不同锅炉通过燃烧调整试验降低排烟温度程度有较大差别。


2.9排烟温度超标值的分解

锅炉排烟温度高的原因通常是由不同的因素综合影响,所以实际诊断过程中需对不同的影响因素进行评估。进行单项影响因素评估时,可利用历史数据对比或者运行方式切换的方法进行。

表4为某厂两台600MW机组排烟温度超标值分解的分析过程:


对空预器堵灰因素进行评估时,可将#1、2炉进行横向对比,#1炉刚刚进行大修,空预器进行过拆包清洗,基本消除空预器积灰的影响,可认为#2炉空预器堵灰影响排烟温度估算为5℃;

对掺烧褐煤因素进行评估时,查阅燃烧调整试验报告,通过对比掺烧褐煤和不掺烧褐煤两种工况,得出排烟温度的影响值约为5℃。



3 结论

排烟温度偏高是锅炉普遍存在的问题,对机组运行经济性影响较大。排烟温度高原因诊断是降低排烟温度的前提,为了准确诊断锅炉排烟温度高的原因,本文通过实例介绍的几种排烟温度的诊断方法,实际诊断过程中需对不同的影响因素进行分析,综合判断排烟温度的超标原因。




“电力圈专业群”社交平台

管理员微信号:13218905

“电小二”邀请您加入“电力圈专业群

电力圈1群- 电站锅炉&环保&燃料

电力圈2群- 汽轮机&热力系统&化水

电力圈3群- 电气&热工自动化

申请请注明 : 单位+专业+姓名




电力圈公众号
PowerClub_CN

我们的宗旨:聚焦电力 知识分享 职业社交



友情链接

Copyright © 2023 All Rights Reserved 版权所有 北京物流信息联盟