北京物流信息联盟

利用RNAi技术结合转录组和蛋白组学分析甲壳素合酶A的功能

2020-11-06 11:50:41

东方粘虫中甲壳素合酶A的鉴定和功能分析

几丁质是最常见的氨基多糖,广泛分布于真菌,线虫和节肢动物。在昆虫和其他节肢动物中,几丁质是表皮外骨骼和一些内部结构的重要组成部分。通过控制几丁质的合成和降解,可以控制这些生物体的生长,发育和生命。甲壳素生物合成途径涉及8个关键调控酶,最后一步是甲壳素合成酶(CHS),其他包括海藻糖和己糖激酶。

东方粘虫

Mythimna separata(Walker)属于鳞翅目,夜蛾科,寄主于麦,稻,栗,玉米等禾谷类植物,以幼虫食叶,大发生是可将作物叶片全部食光,造成严重损失。因其群聚性、迁飞性、杂食性、暴食性,成为重要的农业害虫。

利用RNAi技术结合转录组测序和蛋白组学技术阐述甲壳素合酶A对东方粘虫生长发育的调控。

01

材料与方法

转录组学

测序平台:Hiseq 2500

蛋白质组学

检测平台:HPLC分级分离LC-MS/MS

02

结果与分析

2.1 MysCHSA cDNA的分离和鉴定

MysCHSA全长序列为4,759bp(GenBank登录号KT948989),开放阅读框(ORF)为4,416bp,编码1,471个氨基酸,预测分子量约167.75kDa,等电点6.48,具有42bp5'-非翻译区(UTR)和301bp3'-UTR。

Supplementary Figure 1. Neighbor-Joining phylogenetic tree based on CHS amino acid sequences.

根据昆虫和其他生物的已知CHSA基因的全长序列构建系统发生树(补充图1)。BLAST结果显示,氨基酸序列与棉铃虫(97)(AKJ54482),甘蓝夜蛾(鳞翅目)(97%)(ABX56676),甜菜夜蛾(鳞翅目)(AAZ03545),家蚕(鳞翅目)(92)(XP_012549893),稻纵卷叶螟(鳞翅目)(92%)(AJG44538),亚洲玉米螟(鳞翅目)(91%)(ACB13821)最为相似。

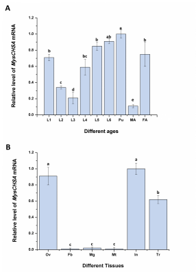
2.2 MysCHSA在不同发育阶段和组织中的表达

Supplementary Figure 2. Expression of MysCHSA gene at different developmental stages (A) and various tissues (B) were determined by qRT-PCR.

注:(A)L1-L6: larva of 1st to 6th, Pu: pupa, FA: female adult, MA: male adult. (B)Ov: ovary, Fb: fat body, Mg: midgut, Mt: Malpighian tube, In: integument, Tr: trachea.


使用qRT-PCR来表征所有发育阶段中MysCHSA基因表达的模式。结果表明,在56龄幼虫和蛹期,MysCHSA mRNA表达水平接近表达高峰。与此同时,雌成虫时期有较高的表达(补充图2A)。MysCHSA mRNAM.separata雌虫的不同组织中表达。MysCHSA在卵巢,表皮和气管中高表达,在脂肪体,中肠和马氏管中表达较低(补充图2B)。

2.3 MysCHSA对幼虫的影响

Figure 1. Effects of MysCHSA knockdown on larvae.


使用显微注射方法进行RNA干扰。dsMysCHSA注入幼虫后,与注入ddH2O的昆虫相比,MysCHSA mRNA水平显著下降了75.66±10.21%。蛋白质印迹分析显示,MysCHSA蛋白水平也降低(图1A)。与mRNA或蛋白质表达水平的变化相比,酶活性水平更好地反映了酶功能变化。与对照相比,MysCHSA-RNAi注射后72h,相对酶活性显著降低了59.45±4.34%(图1B)。

如图1C所示,对照组(dsGFP)的94.50±3.21%显示正常蛹。在处理组(dsMysCHSA)中,89.50±1.52%的昆虫表现出致死性表型,并观察到三种典型的异常表型。

2.4 MysCHSA抑制卵巢发育并调节雌生殖


Figure 2. Effects of MysCHSA knockdown on female adults.


雌虫注射dsMysCHSA后,其mRNA和蛋白水平显著降低,MysCHSA mRNA水平显著下降84.75±8.52%(图2A)。与对照相比,MysCHSA-RNAi注射72小时后相对酶活性显著下降了91.45±1.68%(图2B)。这些结果证实RNAi介导MysCHSA敲除是非常有效的。

MysCHSA-RNAi处理抑制卵巢发育。图2C显示了dsMysCHSA对卵子发生的典型影响,这表明RNAi诱导的MysCHSA损耗显著降低卵巢大小和卵母细胞数量。用dsMysCHSA注射后,与dsGFP对照相比,雌虫的产卵数明显降低(图2D)。

2.5差异表达基因的转录组分析

Supplementary Table 1 Transcriptome sequencing data assembly statistics tables.

Length Range

Contig

Transcript

Unigene

200-300

5,723,464(99.65%)*

16,728(34.66%)

13,775(42.52%)

300-500

8,483(0.15%)

11,021(22.84%)

7,591(23.43%)

500-1000

5,942(0.10%)

9,984(20.69%)

5,622(17.36%)

1000-2000

3,755(0.07%)

7,197(14.91%)

3,750(11.58%)

2000+

1,911(0.03%)

3,331(6.90%)

1,655(5.11%)

Total Number

5,743,555

48,261

32,393

Total Length

232,584,476

35,190,953

20,222,425

N50 Length

42

1,205

1,003

Mean Length

40.49

729.18

624.28


通过Illumina测序总共产生41,537,752clean双末端读数,并从头组装成32,393unigenesN50长度为1,003bp(补充表1)。由于基因数量的饱和以及测序读数的增加(图3A),本研究中使用了足够有效的信息。M.separata缺少参考基因组,因此17,701unigenes从同源群集(4,680),基因本体(GO9,083),京都基因与基因组百科全书(KEGG7,996),真核细胞的直系同源组(KOG10,582),蛋白质家族(Pfam10,606),Swissprot(8,384)和NR(17,124)数据库注释,其e-value值为10-5(补充表2)。根据基因表达水平(每千碱基转录本的片段百万比对读数,FPKM),通过评估dsMysCHSAdsGFP样品中两个生物学重复的相关性分析差异表达基因(DEGs)的可靠性。根据DEG分析,MysCHSA-RNAiGFP-RNAi样本中注释到257个差异表达的基因,其中223上调和34个下调(图3B)。关于下调的基因,我们发现RNAi靶基因MysCHSA(c19481.graph_c0),表明RNAi是有效的。为了鉴定通过MysCHSA-RNAi处理调控的途径,我们对来自KEGG的途径进行途径聚类分析。结果显示大部分DEGs与代谢过程相关,包括碳水化合物代谢,氨基酸代谢和脂肪酸代谢(图3C)。

Supplementary Table 2 Unigenes annotation database.

Annotated databases

Unigene

≥300nt

≥1000nt

COG

4,680

1,558

2,010

GO

9,083

4,039

2,766

KEGG

7,996

3,430

2,744

KOG

10,582

4,455

3,884

Pfam

10,606

4,315

4,131

Swissprot

8,384

3,483

3,381

nr

17,124

7,495

4,824

All

17,701

7,574

4,837


Figure 3. Transcriptomic analysis of the DEGs data in MysCHSA knockdown females.

2.6 MysCHSA蛋白质水平的变化

Figure 4. Proteomic analysis of the differentially expressed proteins data in MysCHSA knockdown females.

通过TMT标记和HPLC分级分析,然后进行高分辨率LC-MS/MS分析和定量蛋白质组分析,分析来自dsMysCHSAdsGFP处理的M.separata的蛋白质。质量误差的分布几乎为零(大部分<0.02Da),这与MS数据的质量准确性一致(图4A)。使用散点图比较蛋白质水平的两个生物学重复的可重现性。总共鉴定了4430个蛋白质,定量了3227个蛋白质。定量比率>1.5<0.67的蛋白被认为是显著的。在注释的蛋白中,定量了173个上调蛋白和199个下调蛋白(图4B,补充表3)。在下调的蛋白质中,我们还发现了RNAi靶蛋白,MysCHSA,以及与卵子相关的卵黄蛋白(Vg)(图4C)。为了鉴定特定功能类别,细胞途径或机制的显著变化,我们进行了基于GOKEGG的富集分析。大多数差异表达的蛋白质参与生物过程,包括一些能量代谢过程(补充图3)。另外,一些代谢信号传导途径,如氧化磷酸化,果糖和甘露糖代谢,戊糖磷酸途径和丙酮酸代谢途径是MysCHSA-RNAi处理后蛋白水平降低的最主要的途径(图4D)。

Supplementary Figure3. GO analysis of differentially expressed proteins (A)Up-regulated proteins, (B) Down-regulated proteins.

2.7 蛋白质组和转录组的相关分析

为了研究定量蛋白质组学和转录组学数据之间的关系,我们从两个数据集中鉴定了mRNA和蛋白质水平都被调节的基因。mRNA和蛋白质水平均显著差异表达的基因(蛋白质P<0.05FDR<0.01mRNA)进行分析。对蛋白质和mRNA水平上调节的基因的总体分析鉴定了上调组中的15个基因和下调组中的9个基因(表1,补充表4)。

Table 1. Summary of proteomics and transcriptomics overlapped genes.

为了检测不同蛋白质-mRNA调节类型的富集功能项,我们定量分析了三个富集基因本体(GO)类别和KEGG途径的数据集。在下调-下调的类别中,一些蛋白质/基因与脂质代谢,氨基糖代谢,糖基化合物生物合成和碳水化合物代谢有关,并在生物过程类别中显著富集(图5A)。与此观察一致,通过细胞定位(图5B)和分子功能(图5C)的分析显示碳水化合物代谢和能量代谢蛋白/基因分别富集在两个类别中。此外,使用KEGG进行富集分析(图5D)显示在下调-下调类别中富含柠檬酸循环,氧化磷酸化,脂肪酸代谢以及氨基糖和核苷酸糖代谢的途径。

Figure 5. Enrichment and clustering analysis of the quantitative proteomics and transcriptomic data.

03

总结

通过调控几丁质生物合成的典型甲壳素生物合成途径,提出了一个涉及CHSA影响蜕皮和卵壳的可能机制。另外,几丁质生物合成途径的某些信号被释放到血淋巴中,通过JHBPs和脂肪体蛋白的合成影响JH,从而影响Vg合成并最终影响卵子发生为了证实甲壳素生物合成与雌性生殖力,和其他未决定的调节机制相关的几丁质生物合成途径相关需要进一步的研究,为将来昆虫体内合成几丁质的系统研究提供关键的见解。

参考文献

Identification and functional analysis of chitin synthase A in oriental armyworm, Mythimna separata.Journal of Proteomics. IF=3.914

这是一个有温度的公众号

友情链接

Copyright © 2023 All Rights Reserved 版权所有 北京物流信息联盟