北京物流信息联盟

随心所回三维基础训练习之二:椭圆体的三维旋转

2022-06-27 06:08:53

随心所绘视觉化训练系列教程(二维篇):

是什么限制了我们的想象力_随心所绘开篇辞

视觉思维训练前需要知道的几件事——随心所绘准备篇

随心所绘二维精度训练之一:线条的控制

随心所绘二维精度训练之二:压力的控制

随心所绘二维精度练习之四:排线

随心所绘二维精度练习之五:完美复制

随心所欲二维实战练习一:改变固有思维的方式

随心所绘画二维实战之二:看到世界的另一面

随心所绘二维实战之三:轻松搞定复杂形状组合

随心所绘二维实战练习之四:黑白之间

随心所绘进阶篇:三维空间

随心所绘三维基础训练之一:理解透视规则


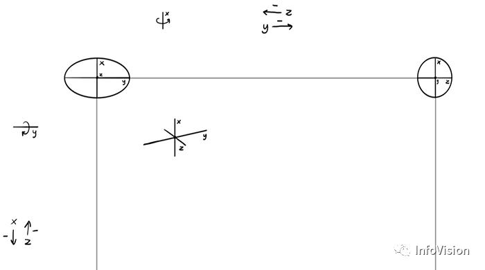
练习2:自由旋转的椭圆

上一节课中,我们用了一个盒子作为案例,但在实际应用中,这样的盒子实在太少了。更常见的一种形状是椭圆体:一个以三个二维平面的椭圆为骨架的基本结构。

怎么样,看起来似乎很复杂吧?实际上,一个椭圆体比盒子更容易画,因为你只需要画出这三个椭圆,而不是三个内层和六个外壁!

练习掌握基本旋转规律的方法和之前一样,,只是顶点视图是基于椭圆而不是在矩形上。维度的骨架也是以同样的方式构造的。

虽然我们不需要像画盒子一样画出外壁,但我们仍然要某种方式创建出个椭圆的边缘。透视图中的椭圆无论角度怎么旋转,投影截面始终是一个椭圆,但是它的边缘的畸变和直线直角大不一样。那么怎样画一个椭圆的外缘呢,尤其是经过旋转之后,坐标轴之间已经找不到没有直角的时候?

关键在于两点:

第一,角度越尖锐,轮廓越突出。我们要能够根据不同的角度想象出轮廓外缘的曲线的曲率

第二,曲线中凸起的部分接近长轴

这样,我们就可以象模象样地画出任意角度的椭圆了

手绘各种角度椭圆的简易流程图:

开始步骤与旋转的盒子相同

掌握椭园体的三维旋转规则对于自由绘图非常重要,因此,想要更好地理解它,可以用这样的方法多画一些各种旋转角度的椭圆体。同样,在这个过程中,你也可以自由地开发一种更快的方法,不要担心完美度和准确性。我们稍后会专门来讨论这个问题。



视觉化思维模式是大自然赋予我们人类最神奇的能力,也是想象和创意的基础,视觉化思维基础训练课程将作为我们交流打卡群的常驻内容,一直免费滚动循环下去。

想要加入我们的视觉思维交流微信群,只要长按下面的二维码,添加我们的群助手,

然后告诉小助手加群密码”20170804”

小助手就会把加群的邀请发给你啦




关于本微信的说明  

1、了解更多教程,点击下方菜单,即可按类别查询更多信息可视化内容。

2、更多付费课程已经陆续在网易云课堂上线,点击主页面“付费课程”即可进入。

3、关注信息可视化,开启信息新视界,更多精彩内容尽在InfoVision!




友情链接

Copyright © 2023 All Rights Reserved 版权所有 北京物流信息联盟