北京物流信息联盟

【干货】XRD、TEM、AFM表征粉体粒径的方式及异同

2022-05-06 06:07:54



小烯导读


晶粒(注意粒子的大小和晶粒的大小不是一个概念,在多数情况下纳米粒子是由多个完美排列的晶粒组成的)的晶相和大小,虽然也可通过更强的场发射透镜(HRTEM)得到,但是机器昂贵、操作复杂,所以实验室一般使用X射线粉末衍射仪。XRD、TEM、AFM在表征粒径大小方面各有优势,我们将分别从原理和应用来讲解。


X射线衍射仪(XRD)



当高速电子撞击靶原子时,电子能将原子核内K 层上一个电子击出并产生空穴,此时具有较高能量的外层电子跃迁到K 层,其释放的能量以X射线的形式(K 系射线,电子从L 层跃迁到K 层称为Kα)发射出去。


X射线是一种波长很短的电磁波,波长范围在0.05~0.25 nm 之间。常用铜靶的波长为0.152nm。它具有很强的穿透力。X射线仪主要由X 光管、样品台、测角仪和检测器等部件组成。XRD 物相定性分析的目的是利用XRD 衍射角位置以及强度,鉴定未知样品是由哪些物相组成。


它的原理是:由各衍射峰的角度位置所确定的晶面间距d 以及它们的相对强度是物质的固有特性。每种物质都有其特定的晶体结构和晶胞尺寸,而这些又与衍射角和衍射强度有着对应关系,因此,可以根据衍射数据来鉴别物质结构。通过将未知物相的衍射花样与已知物质的衍射花样相比较,逐一鉴定出样品中的各种物相。目前,可以利用粉末衍射卡片进行直接比对,也可以计算机数据库直接进行检索。


粉末X 射线衍射XRD分析仪多为旋转阳极X 射线衍射仪,由单色X 射线源、样品台、测角仪、探测器和X 射线强度测量系统所组成。Cu 靶X 射线发生器发出的单色X 射线。

XRD 粒度分析 纳米材料的晶粒尺寸大小直接影响到材料的性能。XRD 可以很方便地提供纳米材料晶粒度的数据。测定的原理基于样品衍射线的宽度和材料晶粒大小有关这一现象。当晶粒小于100 nm 时,其衍射峰随晶粒尺寸的变大而宽化。当晶粒大于100 nm 时,宽化效应则不明显。


晶粒大小可采用Scherrel 公式进行计算



式中,D 是沿晶面垂直方向的厚度,也可以认为是晶粒的大小,K 为衍射峰Scherrel 常数,一般取0.89,λ 为X射线的波长,B1/2 为衍射峰的半高宽,单位为弧度,θ 为布拉格衍射角。此外,根据晶粒大小还可以计算晶胞的堆垛层数



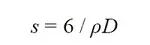
和纳米粉体的比表面积



在这里,N 为堆垛层数,Dhkl 表示垂直于晶面(h k l)的厚度,dhkl 为晶面间距;s 为比表面积,ρ 为纳米材料的晶体密度。


透射电子电镜(TEM)



TEM 主要由三部分组成:电子光学系统(又称镜筒)、真空系统和供电系统。


它的成像原理是电子衍射衬度成像。


(1) 当一束平行光束照射到具有周期性结构特征的物体时,便产生衍射现象。除零级衍射束外,还有各级衍射束,经过透镜的聚焦作用,在其后焦面上形成衍射振幅的极大值,每一个振幅的极大值又可看作次级相干源,由它们发出次级波在像平面上相干成像。在透射电镜中,用电子束代替平行入射光束,用薄膜状的样品代替周期性结构物体,就可重复以上衍射成像过程。


(2) 对于透射电镜,改变中间镜的电流,使中间镜的物平面从一次像平面移向物镜的后焦面,可得到衍射谱。反之,让中间镜的物平面从后焦面向下移到一次像平面,就可看到像。这就是为什么透射电镜既能看到衍射谱又能观察像的原因。


透射电子显微镜TEM(Transmission Electron Microscope)是通过撷取穿透物质的透射电子或弹性电子成像或做成衍射图样来做微细组织和晶体结构研究,分析时,通常是利用电子成像的衍射对比,做成明视野或暗视野影像,并配合衍射图案来进行观察。


原子力显微镜(AFM)


也称扫描力显微镜,其工作原理为,一个对力非常敏感的微悬臂,其尖端有一个微小的探针,当探针接近样品表面时,由于原子间的相互作用力,使得装配探针的悬臂发生微弯曲,检测到微弯曲的情况,就知道表面与原子之间的原子力大小。将微悬臂弯曲的信号的形变转换成光电信号并放大,就可以得到原子之间力的微弱变化信号。利用微悬臂间接地感受和放大原子之间的作用力,从而达到检测的目的。在探针沿表面扫描时,保持尖端与表面原子力恒定所需施加于压电材料两端的电压波形,就反映了表面形貌。原子力显微镜能观察到纳米尺度的物体,甚至可看到原子。


三种表征手段的区别


X 射线衍射法、透射电子显微镜法、原子力显微镜法三种测量方法都有自身特点,没有一种方法是能够适用于所有情况的通用方法。对某种特定条件选择合适的方法,需要知道待测粒子的基本情况,了解粒子的用途和考虑所选方法的局限性。


XRD:采用X 射线衍射法计算纳米粒子的平均粒径是因为高角度(2θ>50°)X 射线衍射线的Kα1 与Kα2 双线会分裂开,造成线宽化的假象,这会影响实际线宽化测量值。其次,X 射线衍射法测定的是纳米粒子的晶粒度,当纳米粒子为单晶时,测量的直径即为颗粒粒径;当粒子为多晶时,测量的为平均晶粒大小。所以,此时的粒径测量值可能会小于实际粒径值。当小晶体的尺寸和形状基本一致时,计算结果比较可靠。但一般粉末试样的具体大小都有一定的分布,谢乐的微晶尺度计算公式需修正,否则只能是近似结果。X 射线衍射法是非破坏性检测方法,测量的准确度还与样品内部应力大小有关。
TEM:透射电子显微镜法是通过纳米粒子在照片上的投影来直接反映颗粒的形貌与尺寸,故此法的优点是可直接观察形貌和测定粒径大小,具有一定的直观性与可信性。但是该法是对局部区域观察的结果,所以有一定的偶然性及统计误差,需要通过多幅照片利用一定数量粒子粒径测量统计分析得到纳米粒子的平均粒径。透射电子显微镜必须在真空中操作;影像是二维的,可通过三维重建得到三维效果;透射电镜法典型测量范围为1nm~500μm。
AFM:采用原子力显微镜法在得到其粒径数据的同时可观察到纳米粒子的形貌,并通过原子力显微镜还可观察到纳米粒子的三维形貌,但是该法也存在一定的局限性,由于观察的范围有限,得到的数据不具有统计性。适合测量单个粒子的表面形貌等细节特征,不适合测量粒子的整体统计特征;原子力显微镜法可在真空、大气、常温等不同环境下工作,甚至可将样品浸在水和其它溶液中,不需要特别的制样技术,且探测过程对样品无损伤,可进行接触式和非接触式探测;可对样品进行操作,如测量粒子间的相互作用力,搬移原子等;由于AFM 是由机械式探针扫描在平面上的样品的成像,所以样品一定要紧贴平面。原子力显微镜测量粒子直径范围约为0.1nm~数十纳米。

此外,透射电镜法与原子力显微镜法测定纳米粒子的粒径的准确性与纳米粒子的分散性,观察者本身的局限性有关。一些团聚体可能被误认为一次颗粒,影响了测量准确性。所以,透射电镜法和原子力显微镜法的粒径测量值有可能会大于实际粒径值。


资料来源:材料人,烯碳资讯编辑整理,转载请注明。


友情链接

Copyright © 2023 All Rights Reserved 版权所有 北京物流信息联盟