北京物流信息联盟

三B二次补录院校专业公布!17日9点截止,共招1万多人,学考3D以上、150分可报!抓住最后一次上大学的机会!

2020-10-02 07:25:33


回复“录取”查看高考录取情况

美国世界名校申请、公费留学公益讲座,

感兴趣请回复“美国

由于部分学生填报志愿不均衡,仍有部分院校未能完成招生计划,省招生办将于16日9:00-17日9:00组织考生对省内院校再次进行征集志愿。未被录取的再次征集志愿资格线上的考生,届时可登陆广东省普通高考征集志愿系统填报志愿。以下是详细介绍:




征集及录取时间




符合条件的考生须在规定的时间内于16日9:00-17日9:00登陆“广东省普通高考征集志愿系统”网上重新填报志愿,并于17日上午10:00前到报名点办理签名。录取时间为8月17日下午。


投档时将以考生网上重新填报的第二次征集志愿信息为投档依据,考生原填报的三B志愿和第一次征集填报的志愿无效




填报网址


广东省普通高考征集志愿系统(http://www.ecogd.edu.cn/kszj)



征集人数




根据省教育考试院负责人介绍,在第一次征集志愿录取结束后,该批次大部分院校已完成招生计划,但由于考生填报志愿不平衡等原因,目前仍有1万多个计划未能完成,其中文科有6000多、理科有4000多、体育、艺术1000多名。




征集资格线




文、理科对高中学业水平考试等级要求调整为3个D(含)以上。

高考文化分为:广州珠江职业技术学院、广东文理职业学院、广州东华职业学院、广东亚视演艺职业学院为150分,省内其他院校为170分;

体育类,文化科总分140分,体育术科统考130分;

美术类(统考),文化科总分140分,美术术科统考130分;

音乐类(统考),文化科总分140分,音乐术科统考130分。







征集志愿投档录取原则和顺序





(一)本次普通类(含文、理科)院校征集志愿投档办法:

1.投档原则:以考生本次征集志愿顺序从高分到低分一次性提供电子档案供高校择优录取。

2.投档顺序:按照1:1的投档比例分两个步骤投档,将考生的电子档案一次性提供给院校审阅,由院校择优录取。

(1)根据省招生办调整后的分数线(文、理均为200分)按志愿顺序从高分到低分投考生征集志愿的1-3志愿档案;

(2)再按本次征集志愿资格线按志愿顺序从高分到低分投考生征集志愿的1-3志愿档案。

征集志愿投档时,如院校投档线低于原公布最低录取分数线,则该投档线为该校最低录取控制分数线。

(二)本次体育类、艺术类征集志愿投档办法:

按1:1的投档比例,以考生征集志愿顺序从高分到低分一次性提供考生征集志愿一、二志愿电子档案由高校择优录取。投档时,先按第一次征集资格线(即体育类文化科总分195分,体育术科统考160分;美术类文化科总分185分,美术术科统考140分;音乐类文化科总分180分,音乐术科统考135分),在调整后的各科类分数线上,按考生术科分成绩从高分到低分投招生计划数的60%的考生电子档案;再按文化总分从高分到低分,投招生计划数的40%的考生电子档案。对本次征集志愿录取的院校若投档后仍未完成计划的,省招生办公室视院校生源情况,再在第二次征集志愿各类别资格线上,按上述投档原则投征集志愿的1-2志愿档案并一次性提供档案给高校择优录取,投档线为该校最低录取控制分数线。





在库考生分数段统计表




2016年广东省普通高校招生第三批专科B类院校(文科)第二次征集志愿在库考生分数段统计表

分数段

累计人数

>=  200

41348

>=  195

43066

>=  190

44567

>=    185

45965

>=  180

47364

>=  175

48625

>=  170

49762

>=  165

50822

>=  160

51718

>=  155

52528

>=  150

53235

2016年广东省普通高校招生第三批专科B类院校(理科)第二次征集志愿在库考生分数段统计表

分数段

累计人数

>=  200

31547

>=  195

33111

>=  190

34706

>=    185

36159

>=  180

37594

>=  175

38938

>=  170

40224

>=  165

41386

>=  160

42447

>=  155

43417

>=  150

44384


2016年广东省普通高校招生第三批专科B类(艺术类)院校第二次征集志愿在库考生分数段统计表

文化总分/术科统考分数

累计人数

体育类:

195分/160分以上

2086

140分/130分以上

4475

美术类:

185分/140分以上

3153

140分/130分以上

4273

音乐类:

180分/135分以上

471

140分/130分以上

626




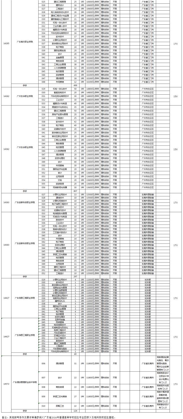
2016广东三B文科二次征集计划

(点击阅读原文或点击大图查看更清晰)








2016广东三B理科二次征集计划

(点击阅读原文或点击大图查看更清晰)







2016广东三B体育类二次征集计划

(点击阅读原文或点击大图查看更清晰)







2016广东三B美术类二次征集计划

(点击阅读原文或点击大图查看更清晰)








2016广东三B音乐类二次征集计划

(点击阅读原文或点击大图查看更清晰)








警惕高招诈骗




近期,有考生反映接到一些院校招生人员录取电话或信息,甚至录取通知书,表示未达到学校录取分数线也可以就读专科或本科。对此,省教育考试院有关负责人提醒考生、家长,普通高考招生录取工作统一由省教育考试院组织实施,未经省教育考试院统一组织录取的,都不是全日制普通高等教育,不能在国家进行电子注册。


我省高校录取严格执行高校招生“阳光工程”,严格按照考生的成绩和志愿投档录取,凡没有达到分数线或没有填报志愿的都不能投档录取。降分征集志愿、降分投档等情况,都通过网络、报刊等向社会公开。考生、家长要通过考试院公布的查询方式或地市招生办等正式渠道查询录取结果,勿听信社会不法分子有关收取费用后,可以通过不公开渠道帮助降分录取、征集志愿等谣言,谨防社会不法分子借征集志愿投档录取进行诈骗。


他同时强调,目前高校录取工作已接近尾声,同时,其他教育培训形式,如自学考试、成人教育培训等教育形式也开始招生季节。考生要分清学历教育和非学历教育。在《广东省2016年普通高等学校招生专业目录》公布的学校和专业,并且通过高考招生录取的考生,才是国家承认学历的全日制的普通高等教育。




不要因经济问题放弃就读高等教育的机会




目前,有部分家庭经济困难考生担心学费贵,不敢填报,或放弃上大学,对此省教育考试院有关负责人强调,国家和省委省政府都高度重视家庭经济困难学生上大学资助工作,建立了包括各类奖学金、助学贷款和专项基金在内的多种形式相结合的资助政策体系,同时要求各级政府要关注、解决家庭困难学生上大学资助工作,确保家庭经济困难新生顺利入学和顺利完成学业,切实解决家庭经济困难学生上学之后的后顾之忧。


各高校对家庭困难的录取新生也开辟有新生报到“绿色通道”,帮 助新生注册入学,完成学业,希望已被高校录取的考生珍惜上学机会,准时到校报到,积极争取国家有关资助,不要因为家庭经济问题而放弃就读高等教育的机会




省考试院通知原文




各地级市及顺德区招生办公室(考试中心)、各有关高等学校:

广东省2016年第三批专科B类(含普通类和艺术类)高校招生录取工作进展顺利,经过一次录取和征集志愿录取,该批次大部分院校已完成招生计划,但由于部分考生志愿填报不均衡,部分高校未能完成招生计划。根据《关于做好广东省2016年普通高校招生工作的通知》(粤招〔2016〕9号)和《关于做好广东省2016年普通高等学校招生网上录取工作的通知》(粤招〔2016〕17号)精神,为使更多考生有上大学深造的机会,省招生办公室决定对部分未完成招生计划的省内院校进行第二次征集志愿。现将有关事项通知如下:

一、本次征集志愿和录取时间

第三批普通专科B类院校本次征集志愿时间为8月16日9:00-17日9:00(17日9:00截止),录取时间为8月17日下午。

二、本次征集志愿条件

报考本次征集志愿资格线(含政策性加分,下同)为:普通类文、理科高中学业水平考试等级要求调整为3个D(含)以上,高考文化分均为150分(其中广州珠江职业技术学院、广东文理职业学院、广州东华职业学院、广东亚视演艺职业学院为150分,省内其他院校为170分);体育类(统考)院校为文化科总分140分,体育术科统考130分;美术类(统考)院校为文化科总分140分,美术术科统考130分;音乐类(统考)院校为文化科总分140分,音乐术科统考130分。

该批次第二次征集志愿院校、专业计划详细情况及具体要求详见附件4。

三、征集志愿程序

1.8月16日9:00时起,考生可通过电信声讯台、互联网或直接到当地市、县(区)招生考试机构指定的报名点查询录取结果。

2.经查实未被录取且高考成绩在第三批专科B类院校第二次征集志愿资格线(含)以上的考生有资格登录“广东省普通高考征集志愿系统”填报志愿。

3.征集志愿采用考生自行上网填报或到市、县(区)招生考试机构指定报名点集中填报两种方式。具体填报方法由各市、县(区)招生考试机构确定。省教育考试院于8月16日9:00-17日9:00时开放“广东省普通高考征集志愿系统”,考生需在规定的时间内填报志愿,逾时一律不再受理。

“广东省普通高考征集志愿系统”网址:http://www.ecogd.edu.cn/kszj。

4.通过市、县(区)招生考试机构征集志愿的考生,须在规定的时间内持本人准考证、身份证和高考成绩单到所在市、县(区)招生考试机构指定的报名点办理填报征集志愿手续。

5.自行上网填报征集志愿的考生,凭高考报名时自行设置的密码及考生号进入广东省普通高考征集志愿系统。考生自行上网填报征集志愿后,须在8月17日上午10:00时前到所在的市、县(区)招生考试机构指定报名点打印征集志愿表,并签名。

四、注意事项

1.8月17日组织高校录取时,以考生网上填报的第二次征集志愿信息为投档依据。考生原填报志愿及第一次征集志愿填报的志愿无效。有意向参加本次征集志愿的考生,必须按时在网上填报公布的尚未完成招生计划的第三批专科B类院校志愿。

2.已经被高校录取的考生,不得申请填报征集志愿。

3.参加征集志愿的考生,分类别进行填报,艺术类、体育类考生不得兼报普通类专业,即:美术类、音乐类考生只可单报美术类、音乐类院校专业或单报普通类院校普通专业,体育类考生只可单报体育类院校专业或单报普通类院校普通专业。

4.参加征集志愿并填报文科类、理科类院校(专业)考生,每人可填报3所院校志愿;参加征集志愿并填报体育类、美术类、音乐类院校(专业)的考生,每人可填报1-2所院校志愿。每个院校最多可填报6个专业志愿和一个专业服从志愿。

5.征集志愿时,考生预先填好《2016年广东省普通高校招生征集志愿表》(见附件1),该表由各市招生考试机构提供,考生也可在省教育考试院的网页上下载。

6.考生应在规定的时间内登录“广东省普通高考征集志愿系统”,依照事先填好的《2016年广东省普通高校招生征集志愿表》录入院校代码与专业代码。

7.考生提交已填报的志愿后,网上征集志愿系统将进行数据逻辑校验,如果出现红色的警告字符,请考生仔细核对院校代码与专业代码后进行修改,直至正确为止。

8.考生在网上填报志愿并保存后,如未点击“志愿确认”,则可在填报志愿截止时间前多次上网修改自己填报的志愿。考生确定不再进行志愿修改时,必须点击“志愿确认”。未在网上确认的志愿无效。已在网上确认的志愿,考生不得更改。投档时,以考生网上确认的征集志愿数据为准。当所有考生都完成了“志愿确认”,报名点方能在网上进行志愿表的打印。各报名点应在填报志愿截止前督促考生提早完成志愿的确认,且必须让考生本人在“2016年广东省普通高校招生征集志愿表”(考生网上确认后打印的志愿表)上签名。

9.各市在网上填报志愿时间截止后,由各中学(报名点)统一打印考生志愿表给考生签名,考生签名的志愿表存入考生档案。

10.考生要对自己填报志愿的准确性负责。考生网上填报志愿信息一经确认,任何人不得更改。

11.各市、县(区)招生考试机构为保证考生志愿信息及时准确地录入,不得通过代理服务器上网。

12.各级考试机构在征集志愿过程中,若出现问题请及时与省教育考试院联系。

高招处值班电话:020-38627942(文理),38627866(传真)
38746823(艺术、体育),38627842(传真)
信息处值班电话:020-38627927,38627931(传真)

五、征集志愿投档录取原则和顺序

(一)本次普通类(含文、理科)院校征集志愿投档办法:

1.投档原则:以考生本次征集志愿顺序从高分到低分一次性提供电子档案供高校择优录取。

2.投档顺序:按照1:1的投档比例分两个步骤投档,将考生的电子档案一次性提供给院校审阅,由院校择优录取。

(1)根据省招生办调整后的分数线(文、理均为200分)按志愿顺序从高分到低分投考生征集志愿的1-3志愿档案;

(2)再按本次征集志愿资格线按志愿顺序从高分到低分投考生征集志愿的1-3志愿档案。

征集志愿投档时,如院校投档线低于原公布最低录取分数线,则该投档线为该校最低录取控制分数线。

(二)本次体育类、艺术类征集志愿投档办法:

按1:1的投档比例,以考生征集志愿顺序从高分到低分一次性提供考生征集志愿一、二志愿电子档案由高校择优录取。投档时,先按第一次征集资格线(即体育类文化科总分195分,体育术科统考160分;美术类文化科总分185分,美术术科统考140分;音乐类文化科总分180分,音乐术科统考135分),在调整后的各科类分数线上,按考生术科分成绩从高分到低分投招生计划数的60%的考生电子档案;再按文化总分从高分到低分,投招生计划数的40%的考生电子档案。对本次征集志愿录取的院校若投档后仍未完成计划的,省招生办公室视院校生源情况,再在第二次征集志愿各类别资格线上,按上述投档原则投征集志愿的1-2志愿档案并一次性提供档案给高校择优录取,投档线为该校最低录取控制分数线。

普通高考考生征集志愿工作涉及到广大考生的切身利益,各市、县(区)招生考试机构要认真负责、高度重视,并指定专人负责此项工作,确保考生征集志愿工作顺利进行。


(来源:广东中学生,广东考试院)


韩国名校延世大学留学,费用低

感兴趣的,请回复“韩国

回复“学习”查看中国名校免费课程

东莞学生学习第一平台


Copyright © 2023 All Rights Reserved 版权所有 北京物流信息联盟