北京物流信息联盟

中国矿业大学夏晨阳等:变负载ICPT系统电能与信号反向同步传输方法

2021-12-31 13:47:21

点击标题下「中国电机工程学报」即可关注本刊微信


提示

新增功能:点击文章底部左下角阅读原文”可在手机端查看论文全文啦!点击右下角“写留言”可对论文进行评论。


变负载ICPT系统电能与信号反向同步传输方法

夏晨阳,李玉华,雷轲,柳玉玲,陈国平

DOI:10.13334/j.0258-8013.pcsee.160615

1
项目背景

  感应耦合电能传输(ICPT)技术极大地提高了供电的安全性与灵活性,在移动电气设备、内植式医疗电子系统、便携式电子产品及易燃易爆等特殊环境下具有广阔的应用前景。然而,在ICPT系统中传输电能的同时,信号的传递也非常重要,信号可用于工作状态的信息反馈或传递控制指令等。因此,对于ICPT系统电能与信号的同步传输是国内外研究的热点之一。


  目前研究的方向主要从电能与信号同步传输机构、信号调制方式、信号传输方向等三个方面,对系统进行建模、分析与控制研究。然而,已有文献大多研究负载一定情况下的电能与信号同步传输技术,对于变负载情况下的电能与信号反向传输研究较少,亟待技术攻坚。

2
论文所解决的问题及意义

  为满足ICPT系统在实现电能正向无线传输的同时,实现对副边电路状态信息的采集与反向传输,本文基于ICPT系统电能耦合传输通道,提出了一种在负载变化情况下,电能与信号反向同步传输ICPT系统,并对其控制方法进行了深入研究。为电能与信号反向传输提出了一种新的解决思路,对无线电能传输技术的发展起到一定的促进作用。

3
论文重点内容

  3.1 ICPT系统能量信号反向传输机理研究


  本文提出一种在负载变化情况下,ICPT系统电能与信号反向同步传输控制方法,如图1所示。

图1 感应耦合式电能与信号反向同步传输原理图


  通过电流电压检测电路判断负载大小,控制器将处理检测到的信息,通过驱动模块控制双向开关的开通与关断,将信号调制电容C0从系统中切入或切出,使原边电流表现出信号的特征,最后通过信号解调机构实现信号的提取与复原。


  信号调制电容从电路中切入和切出两种模式下,系统原边电流有效值随负载电阻变化的曲线如图2所示。

图2 原边电流随负载变化曲线


  3.2 信号调制策略研究


  1)若检测到的负载RL大小在A区域内,具体控制方法为:传输数字信号0时,驱动电路驱动双向开关闭合,将C0切入,原边电流大小为Ip2;传输数字信号1时,驱动电路驱动双向开关断开,将C0切出,原边电流大小为Ip1,此时,Ip2>Ip1,图3为RL在A区域时调制策略示意图。

图3 RL在A区域的调制示意图 


  2)若检测到的负载RL大小在B区域内,具体控制方法为:传输数字信号0时,驱动电路驱动双向开关断开,将C0切出,原边电流大小为Ip1;传输数字信号1时,驱动电路驱动双向开关闭合,将C0切入,原边电流大小为Ip2,此时,Ip1>Ip2,图4为RL在B区域时调制示意图。

图4 RL在B区域的调制示意图


  感应耦合式电能传输系统在负载变化的情况下电能与信号的反向同步传输信号调制策略选择流程图如图5所示。

图5 信号调制策略选择流程图


  3.3 信号解调策略研究


  对于ASK调制,其解调方法首先采用二极管包络检波电路,得到调幅波的包络线,然后将其接入比较器同相输入端与反相输入端的参考值作比较,实现数字信号提取与复原。然而,在负载变化的情况下,原边电流幅值大小会随之发生变化,故与之比较的参考值亦应随之变化,若仍然选择比较电路还原数字信号,实现起来会比较困难。通过在每传输一个数据包前,附加一反映副边双向开关开通时原边电流大小的信号判断位,将该数据包内传输的每一位与该判断位比较,得到数字信号。信号解调解决方案如图6所示。

图6 信号解调解决方案示意图


  3.4 变负载ICPT系统电能与信号同步反向传输下系统特性分析


  1)稳压、功率特性分析


  电容C0切入和切出前后感应耦合式电能与信号反向同步传输系统,在C0不同取值下系统输出电压和功率随负载的变化曲线如图7所示。

图7系统输出电压和输出功率随负载变化曲线


  稳压特性方面:该系统所采用的SP拓扑结构对于不同的C0取值,均能够较好的实现负载变化条件下的稳压输出;且随着C0取值的不断增大,系统输出电压也会逐渐减小,因此,在合理取值范围内,C0越小对系统输出电压影响越小。


  功率特性方面:在A区域内,系统输出功率随负载增大先增大后减小,信号调制电容C0的切入使系统输出功率变化较明显,这与C0的选取有关,在合理取值范围内,C0越小,对系统输出功率影响越小;在B区域内,C0的切入对系统输出功率影响不大。


  2)效率特性分析


  为实现信号的反向传输,减小双向开关的开关损耗,提高整体系统的效率,双向开关的软开关实现原理及控制方法如图8所示。


  零电流关断:检测流过C0电流,当反向过零点时刻,双向开关关断,实现零电流关断;由于C0C2并联,C0上的电压保持为C2电压的正峰值,为下一次零电压开通做准备;


  零电压开通:检测流过C2电流,当反向过零点时刻,C2电压处于正峰值,双向开关开通,此时,u双向=uC2-uC0,而由于uC2约等于uC0,从而实现零电压开通。

图8 软开关工作模式


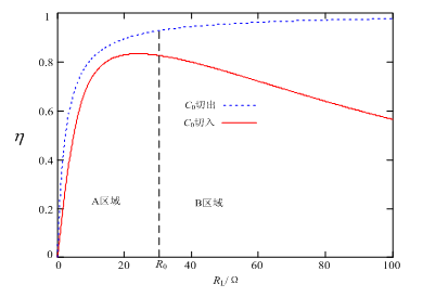
  在该模式下,可很好的实现双向开关的软开关工作。在信号调制电容C0切入与切出系统时,系统输出效率随负载变化曲线如图9所示。

图9 系统效率随负载变化曲线


  从图9可以看出,在A区域内,C0的切入对系统输出效率影响不大,基本能够实现电能与信号的高效传输;但是,在B区域内,C0的切入较大程度上影响了系统的输出效率,这与C0取值大小密切相关,在合理取值范围内,C0取值越小对系统的输出效率影响就越小。


  3)C0选取原则


  C0的选取对系统输出电压、传输功率、效率以及信号的解调有一定的影响,对于实际系统来说,C0取值的指导思想为:根据实际无线电能传输系统中负载的变化范围,分析其取值范围处于A区域、B区域还是A区域和B区域兼有,据此优化设计无线电能传输系统的结构和参数,在保证信号传输准确性,并满足系统输出电压、功率和效率指标的前提下,C0的取值越小越好。 

4
结论

  电能与信号同步无线传输是感应耦合电能传输技术研究的热点和难点。该文提出了一种负载变化模式下基于ASK调制的共耦合通道电能与信号反向同步传输技术,并对其控制方法进行了深入研究,实现了ICPT系统在实现电能正向无线传输的同时,对副边电路状态信息的采集与反向传输,对系统进行了设计与分析,并结合仿真与实验进行了验证,为实现感应耦合电能与信号同步反向传输提供一种新的思路。


引文信息

夏晨阳,李玉华,雷轲,等. 变负载ICPT系统电能与信号反向同步传输方法[J]. 中国电机工程学报, 2017, 37(6): 1857-1866.

Xia Chenyang, Li Yuhua, Lei Ke,et al. Study on power forward and signal reverse transmission in load changing ICPT system[J]. Proceedings of the CSEE, 2017, 37(6): 1857-1866(in Chinese).


团队介绍

  

  中国矿业大学电力电子与防爆电器创新团队由伍小杰教授担任负责人,包括10名教师和100多名硕博士研究生,是中国矿业大学优秀创新团队。团队建有“江苏省煤矿电气与自动化工程实验室”、“徐州市无线电能传输工程技术研究中心”,研究领域包括新能源变流器的运行控制与可靠性、无线电能传输技术、大功率电机调速系统、煤矿采掘关键设备控制等。近年来,先后主持国家自然科学基金项目5项、国家863计划项目重点课题、国家科技支撑计划(重大)项目子课题、国家重点研发计划项目子课题等各1项,。发表SCI/EI期刊论文150余篇,获授权发明专利40余项。

  夏晨阳(1982),男,副教授,硕士生导师。中国电源学会青年工作委员会委员。主要从事无线电能传输、高性能电力电子变换器与先进控制技术等方面的研究。分别于2006年和2010年获得重庆大学学士和博士学位,并于2011年到中国矿业大学电气工程系任教。目前主持国家自然科学基金项目、江苏省自然科学基金项目、,参研国家重点研发计划等各类科技项目2项。至今出版专著1部,发表SCI/EI期刊论文20余篇,获授权发明专利9项。

  伍小杰(1966),男,教授,博士生导师。中国电源学会照明专业委员会委员、中国煤炭工业安全科学技术学会机电安全专业委员会防爆电气分会副主任委员、中国机械工业教育协会电气工程及其自动化学科教学委员会电力电子与电力传动分委员会委员。主要从事新能源并网发电及微网运行技术、大功率电机调速系统、煤矿采掘关键设备控制等方面的研究。承担国家自然科学基金、国家863计划项目重点课题、国家科技支撑计划(重大)项目子课题等项目8项。。发表SCI/EI期刊论文60余篇,获授权发明专利6项。

  戴鹏(1973),男,教授,硕士生导师。主要从事大功率电机调速控制、高效电能传输与控制、混合式发电系统能量管理与并网控制技术等方面的研究。主持或参与国家863计划项目子课题、国家自然科学基金、国家科技支撑计划(重大)项目子课题等项目4项。。发表SCI/EI期刊论文10余篇,获授权发明专利7项。

声明

本文为原创作品,所涉文字及图片版权均属中国电机工程学报编辑部所有,根据国家版权局最新规定,纸媒、网站、微博、微信公众号转载、摘编我编辑部的作品,务必请提前联系我编辑部。个人请按本微信原文转发、分享 


联系我们                    

电话: 010-82415657,010-82812972

邮箱: pcsee@epri.sgcc.com.cn  

网址: www.pcsee.org  

主办:中国电机工程学会

官方微信号: PCSEE1964
                       


                       

欢迎关注英文刊CSEEJPES微信:


                       


↓↓↓ 点击“阅读原文”可查看全文


友情链接

Copyright © 2023 All Rights Reserved 版权所有 北京物流信息联盟