北京物流信息联盟

FOF投资的量化分析:资产配置模型

2022-02-23 09:32:52

FOF投资的量化分析:资产配置模型

文:冯雅欣,郑汉涛       况客研究

导读

【FOF投资的量化分析】系列报告将对FOF投资的整个流程做全面解读,从资产配置到基金筛选,再到投资组合的构建。系列报告将结合理论与实践,条分缕析FOF投资的每一个环节。报告总共12篇,其中资产配置部分5篇,分别为:战略资产配置、资产配置模型、长期研究分析框架、再平衡和战术资产配置;基金筛选部分6篇,分别为:基金净值分析、基金持仓分析、基金风格分析、基金归因分析、基金评级和基金尽职调查;投资组合构建部分1篇,为基金组合构建。

本文为【FOF投资的量化分析:资产配置模型】篇,介绍了资产配置中最常用的三个量化模型:均值方差模型、Black-Litterman模型和风险平价模型。我们将具体介绍三个模型的配置思想、输入的参数、输出的结果、优缺点、适用条件、实现的算法以及况客FOF系统资产配置模型的模块。

    在科学、合理地预测出各类资产的收益、风险和资产间的相关性后,我们可以运用多种量化模型得出最终的资产配置比例。常用的量化模型包括马科维茨的均值方差模型、Black-Litterman模型以及风险平价模型。马科维茨均值方差模型用收益率的标准差衡量风险,并通过给定预期收益率,最小化风险的方式构建投资组合的有效边界;Black-Litterman模型在均值方差模型的基础上,允许用户加入个人的主观观点;风险平价模型则侧重于对各类资产总体风险的配置。本文接下来的小节将具体介绍三个模型的配置思想、输入的参数、输出的结果、优缺点、实现的算法以及况客FOF系统资产配置模型的模块。表1对三个模型的以上几点内容作了简单的总结和对比。

1

均值方差模型

    Markowitz(1952)首次提出了现代投资组合理论(Modern Portfolio Theory,MPT),他用数学语言衡量了投资组合的预期收益和预期风险,并通过组合优化确定最佳风险收益下的资产配置比例。这个组合优化的过程就是均值方差模型。

    在均值方差模型中,投资组合的预期收益是组合中各类资产的预期收益的加权平均值,计算公式如下:

其中,E(rp)是投资组合的预期收益,wi是资产i的权重,E(ri)是资产i的预期收益,N是组合中资产的数量。

    投资组合的预期风险是预期收益的标准差,计算公式如下:

其中,是投资组合的预期标准差,wi是资产i的权重,是资产i和资产j的协方差,是资产i的标准差,N是组合中资产的数量。   

    均值方差模型解决两个问题:一是给定预期收益,最小化预期风险;二是给定风险容忍度,最大化预期收益。两个问题的答案是一一对应的,我们以第一个问题为例,用数学语言描述均值方差模型如下:

资产数量有限的均值方差模型可以简单的通过Excel Solver求解。在不允许卖空(wi>0)的限制条件下,均值方差模型很可能没有解析解,此时我们可以使用二次优化算法(如Matlab中的quadprog函数,python的minimize 函数)求解模型数值解。

    均值方差模型的输出结果是一系列(预期收益,预期风险)组合,以及相对应的资产配置比例,所有的预期收益和预期风险组合组成一条有效边界曲线。图1为使用况客FOF系统资产配置模块内嵌的均值方差模型计算得到的三类资产(沪深300、债券和金属期货)的有效边界曲线及预期收益为7%的资产配置比例图。

图1 沪深300、债券和金属期货的有效边界曲线及资产配置比例图

    均值方差模型的优点在于求解过程相对比较简单,但缺陷也同样明显。最大的问题在于模型对输入参数非常敏感,尤其是对于预期收益率的敏感性:输入的预期收益的微小变化就有可能导致输出配置比例的巨大变化。而对于预期收益的估计恰恰是我们在长期研究中面临的最大挑战:以历史数据法为例,我们对于预期风险的估计相对有把握,资产间相关性的估计把握略低,而对于预期收益的估计则是完全没把握。为了尽可能保证均值方差模型输出结果的稳健性, Michaud(2008)试图利用Resample的方法,他利用原始资产收益率样本数据模拟生成多组符合多元正态分布的新样本,进而使用多组数据计算资产组合的有效边界。Michaud的方法确实可以提高模型的稳定性,但其本质上并没有解决估计误差带来的问题,仅仅是对有效边界做了平滑处理。均值方差模型的另一个问题则是其得出的资产配置结果往往会导致组合集中投资于几类预期收益较高的资产,本质上这是模型对于预期收益输入参数敏感的副产品,这与现代投资组合理论分散投资的初衷是相悖的。尽管如此,均值方差模型依然是决定资产配置的有效方式,通常作为资产配置进一步分析的起点。

2

Black-Litterman模型

    均值方差模型最重要的输入参数是资产的预期收益率,并且模型对于预期收益率的变化敏感程度非常高。预期收益率的估计来源于历史收益率时间序列,但历史并不代表未来,只用历史收益率作为资产的未来收益率的估计,并以此来配置资产,很容易出现偏差,导致极端的配置权重。高盛的Fischer BlackRobert Litterman1990年在传统的均值方差模型基础上,基于贝叶斯(Bayesian)理论提出了Black-Litterman模型。与均值方差模型相比,Black-Litterman模型最重要的区别是在投资组合配置的过程中不但对历史收益率进行了总结,同时将投资者主观的观点和经验融入了模型。图2为Black-Litterman模型的流程图。

图2 Black-Litterman模型流程图

   

     Black-Litterman模型的输入参数和运行流程如下:

(1)输入市场收益率和市场波动率,进而计算出风险厌恶水平;实践中,风险厌恶水平往往取值2.5。

(2)输入各资产的历史收益率时间序列r,计算得到资产的协方差矩阵Σ。

(3)输入各资产的市值占市场组合总市值的百分比,即市场权重,通过逆优化的方法计算得到各资产的市场均衡收益率是一个N×1的矩阵。

(4)输入投资者的主观观点P,Q,以及观点的置信水平Ω;其中P是一个k×N的投影矩阵,记录投资者对预期收益率的k个观点,N为资产类别的数量;Q是一个k×1的观点矩阵,记录观点的收益率数值;置信水平Ω是一个k×k矩阵,其对角线元素表示投资者对其观点的确信度,其余元素为0。

    举个例子,如果有三种资产,投资者有两个观点,第一个观点认为资产1的预期收益率为5%(绝对观点),第二个观点认为资产1的预期收益比资产3的预期收益高3%(相对观点)。这两个观点可以表示为:

用矩阵表示,则为:

其中P,Q分别为投影矩阵和观点矩阵,表示资产i的收益率。

    置信水平Ω的计算公式如下:

    标量是一个刻度因子,叫做不确定性刻度,衡量投资者对个人观点相对于市场均衡收益的信心水平,计算公式为,其中n为资产收益率r的时间序列观察值数量(根据中心极限定理,当观测值的数量趋近无限大时,得出的隐含收益将趋近于真值,不确定性就越小)。

(5)混合先验估计和主观观点,得到后验估计:Black-Litterman模型假设资产的预期收益率是一个服从正态分布的随机变量,

其中,是通过逆优化得到的市场均衡收益率,作为先验估计的预期收益率的均值,作为先验估计的预期收益率的方差。综合主观观点后,后验的预期收益率均值及方差的估计分别为

(6)以作为资产预期收益率的估计,作为资产方差协方差的估计,输入均值方差模型,得到资产组合的有效边界曲线及对应的资产配置比例。

    Black-Litterman模型提供了一个确定资产预期收益率的框架,它以市场投资组合的实际占比为切入点,通过逆优化的方式计算各类资产的预期收益。相比于均值方差模型,BL模型推导得出的预期收益率是稳健一致的。此外,BL模型还允许投资者加入个人的观点和观点的置信度。当投资者认为当前市场投资组合偏离均衡状态时,可以人为的对预期收益率的估计进行调整。

    Black-Litterman模型的缺陷主要在于其对市场组合的假设。它假设市场组合是一种涵盖了市场所有资产的组合,而且所有投资者可以自由投资于任何一种资产,显然这是不现实的。在实际操作中,也很难构建一个包含所有资产的市场投资组合。在国内市场,甚至很难构建一个包含投资范围内少数几种资产的投资组合,并计算各资产的实际占比。因此,实际中,往往使用等权重(或者由其他资产配置模型得出的配置权重)作为各资产市场占比的估计输入模型,这极大地限制了Black-Litterman模型的应用。很多时候,Black-Litterman模型输出的资产配置比例仅仅作为资产配置分析的一个参考。


3

风险平价模型

    均值方差模型和Black-Litterman模型都依赖于预期收益率的输入,而预期收益率往往难以估计。相比之下,预期风险的估计可靠性强很多。此外,均值方差模型和Black-Litterman模型的基本逻辑都是在给定预期收益率的情况下,最小化风险。这个逻辑的不足之处在于其只考虑了组合的整体风险,而没有关注风险的构成。基于以上两点,PanAgora基金的首席投资官钱恩平(Edward Qian)博士提出了著名的风险平价(Risk Parity)策略。风险平价策略通过平衡分配不同资产类别在组合风险中的贡献度,实现了投资组合的风险结构化。通过风险平价配置,投资组合不会暴露在单一资产类别的风险敞口中,因而可以在风险平衡的基础上实现理想的投资收益。


    风险平价模型的具体算法如下:

    一个包含N个资产的投资组合的标准差可表示为

其中,是投资组合的预期标准差,wi是资产i的权重,是资产i和资产j的协方差,是资产i的标准差,N是组合中资产的数量。因此资产i的边际风险贡献可表示为

该变量描述了单个资产权重的微小变化给投资组合风险所带来的影响,这里的组合风险是以资产收益率的标准差度量的。

    定义资产i的总风险贡献为该资产权重与边际风险贡献的乘积,即

进而,投资组合风险可分解为各资产总体风险贡献的加总:    风险平价模型的思想在于单个资产对于组合的总风险贡献程度相同,也就是所有单个资产的TRC相等,即对于任意的i和j:    将以上关于每种资产TRC相等的条件转化成一个最优化问题来求解:

目标函数为

限制条件为

风险平价模型在桥水(Bridgewater)基金的运用与实际投资中,获得了成功(原因之一是过去二十年美国债券市场的牛市)。有部分实证研究也证明其在市场多变,资产轮动无序且频繁的条件下比均值方差模型更能提供稳定的组合收益。

模型的缺点在于得出的资产配置组合有时候会过度集中波动性低的资产,而降低了投资组合的整体收益。图3为使用风险平价模型配置沪深300、债券和金属期货三类资产的输出结果。与均值方差模型的输出结果相比,风险平价模型的资产配置明显侧重于波动性低的资产——债券。此外,风险平价模型的求解过程也远比均值方差模型来的复杂,在少数情况下甚至很难得出一个最优解。在本节的附录中,我们介绍了两种风险平价模型的优化算法。

4

况客FOF系统的资产配置模型

    况客FOF系统的资产配置模块内嵌了均值方差模型、风险平价模型和Black-Litterman模型。资产配置模块的具体使用请参考【FOF投资的量化分析:战略资产配置】。

5

参考文献

Black, F., & Litterman, R. (1992). Global portfolio optimization. Financial analysts journal48(5), 28-43.

Chaves, D., Hsu, J., Li, F., & Shakernia, O. (2012). Efficient algorithms for computing risk parity portfolio weights. The Journal of Investing21(3), 150-163.

Markowitz, H. (1952). Portfolio selection. The journal of finance7(1), 77-91.

Michaud, R. O. (2008). Efficient asset management: a practical guide to stock portfolio optimization and asset allocation. Oxford University Press.

6

附录-风险平价模型优化算法

    风险平价模型的最优化过程是一个求解线性约束下的二次最小化问题,算法比较复杂。Chaves, Hsu, Li和Shakernia(2012)提供了两种迭代算法,通过变换后的线性优化,可以更快的收敛到最优解。

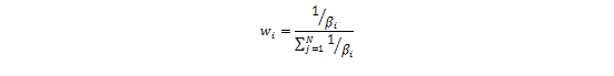
    风险平价模型的思想是使得所有单个资产的TRC相等,即

这个条件可以用矩阵表示为

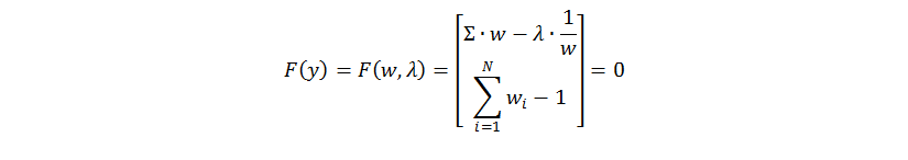
其中,Σ资产收益率的协方差矩阵,w是资产权重向量,令wi是权重向量的第i个分量,1/w代表向量[1/w1,1/w2,...1/wN]',λ是一个未知的常数。两边同时除以资产组合的方差,整理后可得,由于

,则有

其中,是wi的函数,同时wi也是的函数。

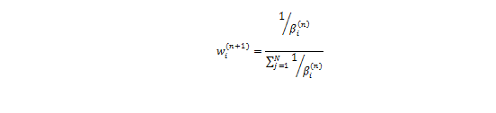
一、幂法(Power Method)

    幂法的思想是给权重向量w赋初值,并计算与之相应的β,然后通过β重新计算,更新权重向量w,如此循环,直到权重向量收敛。具体算法如下:

(1)由初始权重向量w(0)(等权重向量,或者风险平价模型的近似解,1/σ)开始迭代,设定停止阈值ε

(2)根据现有的投资组合权重向量w(n),计算所有单个资产的

(3)如果以下条件满足,则停止迭代,输出权重向量w(n)

如果条件不满足,则更新权重如下,并返回步骤(2):

    需要注意的是,当一个资产与其他所有的资产不相关,或者一组资产与另一组资产不相关时,“幂法”会在两个不同的解当中循环,并且不会收敛。

二、牛顿算法(Newton’s Method)

    牛顿算法是求解具有非线性等式系统的:将系统写成一般形式F(y)=0,然后对以上等式求解。我们使用泰勒展开式对系统在点c附近进行线性估计:

J(c)代表F(y)在点c的Jacobian矩阵。令F(y)=0,求解y:

以上求解只是一个估计,但是对上式进行迭代,结果会逼近最优解:给定一个近似解y(n),我们可以计算

直到y收敛。

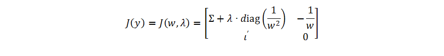
    下面我们把风险平价模型写成非线性等式系统的形式,该系统含有N+1个等式和N+1(w和λ)个变量:Jacobian矩阵为

其中l'为1×N的向量,向量的每个元素为1,diag(1/w2)代表对角线元素为1/w2i的对角矩阵。

    迭代的具体算法如下:

(1)对权重向量w(0)赋初值(等权重或传统风险平价近似解,1/σ),对λ(0)赋初值(任何在0和1之间的值),并且定义停止迭代阈值ε,令y(0)=[w'(0),λ(0)]';

(2)计算F(y(n)),J(y(n))和y(n+1)

(3)如果满足条件

停止迭代,输出权重矩阵w;如果不满足条件,则返回步骤(2)。

况客研究团队


况客研究团队:

林伟平(况客科技CEO)linwp@qutke.com

潘慧峰(研究顾问) panhf@qutke.com

郑汉涛(研究员)zhenght@qutke.com


实习生:冯雅欣 fengyx@qutke.com

声明


       本报告仅为投资研究之目的,不得用于投资咨询的意见或建议。我们从未作出任何保证或承诺,本报告的观点及结论仅供参考,投资者作出任何投资决策均应保持独立判断,并自行承担相关风险,与本公司和作者无关。

       本报告基于公开信息和资料,我们力求其来源的可靠性,但对第三方所提供数据或资料的准确性和完整性不作任何保证。本报告内容力求客观、公正,但其观点及结论基于况客研究团队在报告日期的判断,难免有不足之处,我们将随时补充、更新和修订,请保持关注。任何疑问和交流均可随时联系我们,邮件请发至   zhenght@qutke.com。

       本报告版权归况客科技(北京)有限公司(下称“况客”)所有,并保留一切权利。如需转载,欢迎联系我们获得授权。未经事先书面许可,任何机构和个人不得转载、链接、转贴或以其他方式发表、修改、复制、发行、翻译、传播本报告及任何部分內容。获得授权的,在使用本报告及任何内容时必须注明稿件来源于况客,并承诺遵守我国相关法律法规及一切相关国际惯例,不为任何非法目的或以任何非法方式使用,且不得对本报告进行任何有悖原意的引用、删节和修改,违者将依法追究相关法律责任。




Copyright © 2023 All Rights Reserved 版权所有 北京物流信息联盟