北京物流信息联盟

论安全系数及荷载与抗力【李广信】

2022-07-15 13:16:30

点击上方“中国岩土网” 可以订阅哦!

        我为岩土网写的“论”的文章,其中的“论”总会在50%以上。所谓论更多的是论“道”,海阔天空,古今中外,洋洋洒洒,恣意纵横。有的是以某个土力学概念为题,信马由缰,离题千里。即使不知土力学为何物的人,也读得下去,据说也读懂了。这些文章看起来比较轻松,可能会加深了对所论的土力学概念的理解,也可能懂出了一些题外的意思;作为杂文来看,至少有些趣味性。所以承蒙读者的宽容,除了个别笔误之外,尽管会有不少谬误,异议和声讨还不多。

        此文篇幅较长,是我本来一直想要写的东西,其中“论”的比例较少,显得艰涩而枯燥。不过还是推荐大家耐心地读下去。作为个人的理解与认识,可能不对,欢迎讨论,并希望记住本文的最后一句话。

 1 

 岩土工程中的安全系数

        所谓安全系数法亦称“单一安全系数法” 。它是企图将工程中一切可能的不确定性因素,都包含在单一的安全系数之中,安全系数通常可表示为K 、Fs或其他。安全系数(也有人主张用“稳定系数”)的取值是根据以往的经验,用规范和标准等形式规定其容许值。这些不确定性包括作用(荷载)的数值,材料的性质与参数、计算、施工外部条件的准确性、精确性与可靠性;同时也包含破坏后果的严重性:、经济、环境和社会的各种因素。可以说,安全系数是个筐,一切不确定性都往里装。因而就无需再引入其他系数,例如所谓的重要性系数、工作条件系数、折减系数、放大系数、发挥系数等等,可是有些规范就似乎没有认识到这一点。常常有“房上建房(不是楼房),床上叠床(不是上下床)的情况,这在注册岩土工程师资格考试中常会出现,弄得考生怨气冲天。

        基于经验的单一安全系数法与基于可靠度分析的分项系数法是两种截然不同的设计理念。安全系数法分析中的荷载部分采用作用(荷载)标准组合的效应,抗力部分采用极限抗力(强度)的标准值。2014实施的《建筑边坡工程技术规范》,采用安全系数分析岩土稳定性(例如锚杆),其抗力竟然使用极限抗力(强度)的标准值除以抗力分项系数的设计值,造成安全系数与分项系数的混合应用,这是严重的概念错误的。

        岩土工程中设计需要安全系数,是由于其中的不确定性与风险。通过区分荷载与抗力,了解和规定结构、构件的安全储备,规定抗力与荷载二者的比值,保证工程的可靠性与安全性。如果问题的有关作用都是确定可知的,或者两个作用采用相同的计算参数与计算方法,数值相等,方向相反,二者是可以相互抵消的,则就不需区分荷载与抗力,也无需进行稳定性分析。例如我们站在地球上,每一寸皮肤都承受pa=100kPa的大气压力,只要血压正常,就无需担心前倾后仰跌倒而伤亡。不必杞人忧天地将身后的大气压当成荷载,胸前的大气压作为抗力,结果计算向前倾倒的安全系数只有Fs=1.0,达到处于被推倒的极限平衡状态,于是时刻手持一拐杖以增强之。

        在图1(a)中,一座刚在地面以下建造的地连墙,两侧水平土压力都是,尽管一般,其中似乎含有不确定性参数,但由于前后静止土压力完全抵消,根本不存在荷载与抗力之分,不存在稳定性与安全性问题。在图1(b)中,地连墙位于静水中,两侧作用着相同的静水压力,他们也是可以抵消的。或者认为墙体上作用有浮力,从墙体自重中扣除浮力即可,无需将静水压力当成荷载或抗力进行稳定性行分析。


         图1(c)是在情况(a)的左侧开挖了基坑,如果右侧的总主动土压力数值上等于左侧的总被动土压力,即Ea=Ep,那么在验算墙的抗滑稳定时,它们是否也可相互抵消而无需验算其抗滑稳定性呢?答案是否定的,这时,主动土压力为荷载,被动土压力以及墙底摩擦力为抗力。因为主、被动土压力计算理论与土的强度指标都有不确定性,如果确定的值偏大了,则荷载低估,抗力高估,就增加了墙滑动失稳的风险。

2

两种安全系数定义与表达方式

       在岩土工程中,关于安全系数的定义与表示,在不同稳定性分析的课题中不尽相同。但通常可分为两大类,即定义为荷载放大系数与抗力(强度)折减系数。这就像你去借月利息10%的高利贷1万元,前者是一月后要还1.1万元;后者是要预先缴纳1千元利息,你只能拿走9000元现金。

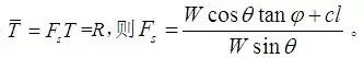
       在边坡稳定分析中,将岩土体的滑动力Ti乘以放大系数Fs,安全系数就意味着是荷载放大系数,或超载系数。这样,在极限平衡条件下滑动力就变成:
        如果认为安全系数是反映抗力储备的折减系数,则极限平衡条件下其抗剪强度(指标)表示为

                               

         在以上两种情况下的稳定分析中,如果都可以直接用公式(显式)计算安全系数,两种定义似乎没有区别,可以得到相同的安全系数,如图2所示。


在图2中,沿着滑动面的滑动力(荷载)为


抗滑力(抗力)为        

按照安全系数为荷载放大系数,则极限平衡条件为:
 按照安全系数为抗力(强度)折减系数,则极限平衡条件为:同样是

        可是在强度折减的方法中,有时无法得到显式的安全系数公式解答,需要进行迭代(隐式),则两种安全系数定义会得到不同的解答。以图3所示的土坡条分法分析为例,如果采用传递系数法的显式(Fs1)与隐式(Fs2)分别计算,其比值见表1.


       可见用显式法计算的安全系数偏大,滑动面圆心角越大,其偏差越大。在各种边坡稳定分析的极限平衡条分法中,计算的安全系数越小,就越接近于真实解,因而传递系数法的隐式计算更合理。在我国常用的传递系数法常常被一些学者所诟病,在大型岩土坡的稳定分析也很少被应用,其中原因之一就在这里。

3

地基承载力中的组成部分

        目前在我国土木建筑和交通、水利等行业的有关地基基础设计中,地基承载力的确定的方法情况较为复杂。对于建筑等级较低的建筑物,多用基于正常使用极限状态下的地基容许承载力;对于等级较高的建筑物以及需要验算稳定性的情况,常采用承载能力极限状态的安全系数法,同时进行沉降计算。在建筑行业,对于土的强度标准值、载荷试验承载力特征值的确定,又考虑了样本的均值和标准差,这又与可靠度设计中的概率极限状态设计理念贴近。

(1) 极限承载力(太沙基、普朗德尔、汉森。梅耶霍夫等公式)的普遍公式可表示为:

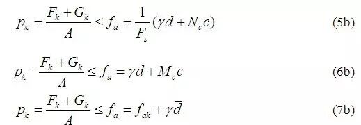
(2) 《建筑地基基础设计规范》(GB 50007-2011)中的容许承载力公式:


(3) 《建筑地基基础设计规范》(GB 50007-2011)中的承载力特征值公式:

 
       式(6a)其实为地基内塑性区发展范围的计算公式,可列为容许承载力的范畴。式(7a)中的地基承载力特征值fak,可通过浅基础载荷试验确定,确定方法可谓下面三种之一:

①p-s曲线的比例界限pcr;②极限承载力除以K=2的安全系数;③取s/b为一定值对应的荷载。

       在各种确定承载力的理论方法中,地基的承载力一般包括三个组成部分,从图4和式(5a),(6a),(7a)可以发现,地基承载力三个组成部分有:

(1) 滑动土体自重产生的抗力可分别表示为:  

(2) 滑裂面上的黏聚力产生力,可分别表示为:
           ;

(3) 埋深部分侧荷载产生的抗力,分别是:     。

         其中部分(3), 即埋深部分产生的的承载力又可能为三个部分:

① 作为地基在极限荷载作用下,抵抗周边地面隆起的压重;

② 这部分重量在滑动面上产生的摩阻 力;

③ 滑动面穿过埋深部分的摩阻力与黏聚力。

        如果时,上述的②部分为零;③部分可以忽略;则地基极限承载力系数Nq=1.0。在图5中,各作用力对点A取矩,则。这时可以想象A点左右两侧的均布荷载就像以A点为轴的天平一样,是只有相等才能平衡的。


4

 地基承载力中的抗力与荷载

       我们知道水的抗剪强度为零,即。因而似乎静水是不可能有承载力的。但是如果我们看图6,一个底面积为A的木块,漂浮在静水中,埋入水中的深度为h,设其极限承载力系数Nq=1.0,Nc与Nq都为零。则水对于该木块的极限承载力为:

式中就是木块排出水的重量,也就是水对于木块的浮力。所以水的承载力系数Nq=1.0。

       在我国的《建筑地基处理技术规范》中,多年来都有经处理后的地基:“基础宽度的地基承载力修正系数为零;基础深度的地基承载力修正系数为1.0”。对于这一规定,不少工程技术人员是不解与不满的。如上所述,只有在时才是如此。而目前由于复合地基广泛地应用于小高层甚至高层建筑,需处理的地基持力层土质的承载力可能很高,这一规定无疑是保守的。

    记得是2002年地基处理规范征求意见稿,又补充了一个规定:“对于流塑的淤泥土,基础深度的地基承载力修正系数为0.8”。于是我给张永钧先生画了图(6),写道如果Nq<1.0,则“水可覆舟,不可载舟”,这只适用于弱水,于是他们随即取消了这一条。

 

       我们如果仔细比较一下公式(5a),(6a),(7a),就会发现当时,Nq=Md=hd=1.0。这是一个非常有趣的现象。其中式(7a)是地基承载力特征值的宽、深度修正公式,由于考虑基础埋深不应小于0.5m,以避免工后地面被冲刷、剥蚀,所以我们可假设为有效埋深。把时的三个公式写成:

             
       我们发现,式(6b)和(7b)都可以写成,而只有式(5b)为。亦即式(6b)和(7b)都允许把作为承载力的从荷载中直接扣除;而在式(7b)中,却只能扣除

       其实在时,Nq=1.0,这时承载力(不管是极限承载力,还是容许承载力,还是设计承载力-承载力特征值),都与水的浮力一样,已经不包含任何不确定性的因素了,在图6中我们可以将水的极限承载力直接从木块的自重荷载中扣除,因而图6中的问题也就不必区分荷载与抗力,无需进行稳定分析:鱼游浅底,船行水面,是优哉游哉的自然现象,无需无中生有,杞人忧天,去分析其稳定性。其实在一些有关规范的式(7b)中,右侧地下水位以下取浮重度,左侧Gk为基础及以上土的重量,地下水位以下扣除浮力。这也就是说,对于水位以下的基础,土中水的承载力从荷载中直接扣除了。

       这样看,式(5b)就不对了,这部分没有不确定的东西,无需除以安全系数。与此类似的还有《建筑地基基础设计规范》中关于饱和软黏土基坑的抗隆起稳定公式,见图7与式(8a)。

           


规范中给出Nc=5.14,等于普朗德尔的极限承载力系数。如上所述,Nq=1.0,两侧的是应当直接消除的,变成为式(8b)。但这里却被除以安全系数。很多基坑设计者抱怨用这个公式计算地连墙的插入比非常高,用不起,这个误用可能是一个原因。如果改为式(8b)就合理了,也与浅基础的承载力一致:

                             
      《铁路桥涵地基和基础设计规范》就正确地认识到这一点,对于浅基础的容许承载力公式是:

                             
其后,淤泥土的不排水强度,黏聚力; :安全系数 :基底以上的土重度 h:基础埋深。就可以从荷载中扣除,亦即将当成负的荷载。

5

敌军与我军

      这里所谓的敌军即指荷载,我军即为抗力。在各种稳定性分析中,分清敌我是先决条件。如上所述,有的问题中的一些力、力矩是可以相互抵消;有些应作为抗力还是作为(负)的荷载;有些是作为荷载还是从抗力中扣除,结果是完全不同的。一般讲由于要求的安全系数大于1.0,所以荷载的权更重一些。,就是“集中优势兵力,各个歼灭敌人”,在这样的歼灭战中,往往要求我军人数为敌军的数倍。

       有时如何界定荷载与抗力是有理论基础的,不能随意处理,如以上所讲的一些情况。在挡土墙的滑移与倾覆稳定分析中,主动土压力总是荷载,而被动土压力则当成抗力的一部分。而不应把主动土压力与被动土压力之差的“净土压力”作为荷载。由于土的被动土压力状态是一种极限应力状态,需要较大的位移,一般工程是难以达到的。另一方面,被动土压力对于内摩擦角极为敏感,降雨、振动等降低了会使被动土压力骤降,所以在挡土墙稳定分析中,都是把它除以安全系数作为抗力。

       在稳定问题中的水压力也有一定的规定,在图8(a)中,两侧都作用有水压力P1与P2,上海的基坑规范,规定以两侧的水压力差P1-P2(净水压力)为荷载,这是对的。而《建筑基坑支护技术规程》(JGJ 120-2012)规定P1为荷载,P2为抗力则是错的。


      在图8(b)中,水泥土墙两侧具有相同水深的地下水。在验算其抗倾覆稳定时,水泥土墙的自重W在水下可按浮重度计算。亦即P1=P2相互抵消,将扬压力P3从墙的自重W中扣除。如果像《建筑基坑支护技术规程》(JGJ 120-99)那样,把P3从当成荷载,与P1一起产生倾覆力矩,那又错了。

       有的时候,判断敌我似乎是大家的共同习惯,约定俗成。比如葛优的老爹葛存壮,陈佩斯的老爹陈强,一直都扮演恶霸、、、土匪、,于是见到就他们自然把他们归入了敌军。


        在图9所示的传递系数法最后一条块n的抗滑稳定分析中,条块n上作用有两个力:自重Gn和n-1块的剩余推力。将分解为平行于滑面与垂直于滑面的两个分力,其中当然是荷载-滑动力;而由于向下垂直于滑面,将产生摩阻力,结果是增加了抗力-摩阻力。所以这里有一个硬性的规定,在滑移稳定分析中,不管什么力产生的垂直滑面的力都归入抗力项。 例如孔隙水压力u就产生负的抗力

    自重Gn和也分解为Tn和Nn,其中Nn乘以产生抗滑力,冤枉的是,它是不愿意向左滑动的,一心想加入我军以抵抗向左的滑动,似乎应算入“我军”R项。可是在平面、圆弧、任意曲线的稳定分析中,所有的都算为滑动力,只能算入敌军,尽管它是负的滑动力。不过可以算作敌军中的“地下工作者”,,起的作用比在我军中还要大。

       有时,荷载与抗力的规定可能是有歧义的。这个规范这么规定,那个规范那么规定。你这么考虑,他那么考虑,所谓见仁见智了。例如《建筑边坡工程技术规程》关于不稳定岩块的局部锚杆规定,见图10:


式中:A——滑动面面积(m2);c——滑移面的黏聚力(kPa);f——滑动面上的摩擦系数;

Gt、Gn——分别为不稳定块体自重在平行和垂直于滑面方向的分力(kN);Nt,Nn——单根锚杆轴向拉力在抗滑方向和垂直于滑动面方向上的分力(kN);Kb——锚杆钢筋抗拉安全系数。

       可见这里是把锚杆的摩阻力及与锚杆的与滑动反向的切向力都当成抗力(我军);而把(Gt - fGn - cA)当成荷载(敌军),尤其难以理解的是像fGn 与 cA这里的老牌的抗滑力也被投入了(负的)敌军阵营。这里可以理解为(Gt - fGn - cA)是危岩在锚杆加固之前岩块的剩余下滑力,抗力是我们拟建的锚杆。像这种情况,只能按照规范的规定计算了。

6

一道考题

       案例2006年上午24题是我拟的一道考题。

      【题目】

   

         这道考题的本意是要强调扬压力产生的力矩应从墙体自重的抗倾覆力矩中扣除(负的抗力),类似于图8(a)中的浮力。可是在解答中却犯了一个更低级的错误,那就是把被动土压力从荷载项里扣除了,而没有当成抗力。这是一道错题,选项也不对。在人工评分时发现,培训评分员时要他们按正确解答评分。但机评时的错误就无法弥补了。

       在当时的命题专家会上,我首先说明此题错误,作了检讨。由于考题须经互审、初审、终审、组卷和终校等众多关口,漏掉这样初级的错误是很罕见的。于是首先我追责到互审的王长科总工,问他为什么没发现。长科笑嘻嘻不好意思地说,我以为李老师命的题不会错。面对这种“铁干粉丝”,又能说什么呢?只是验证声明:所谓广信,不可迷信!

 本文来自中国岩土网特约评论员李广信教授的稿件,转载请注明出处!


推荐书籍(点击文字即可跳转购买)

建筑识图与BIM建模实训教程

深基坑支护技术指南


友情链接

Copyright © 2023 All Rights Reserved 版权所有 北京物流信息联盟