2022-04-19 10:08:15
问题:怎样才能每天都收到这种文章呢??
答案:只需要点击图片上边蓝字药源网制药在线即可!
制剂分析方法的建立和验证
第一部分制剂分析方法的建立
一 性状项
对性状的描述很重要,既要严谨,又要实事求是、切合实际;即宽严适度。
片剂:本品为白色片或类白色片;本品为糖衣片,除去包衣后显白色或类白
色;本品为薄膜衣片,除去包衣后显类白色至淡黄色。
注射剂:本品为无色澄明液体;本品为无色至微黄色的澄明液体;本品为无
色至淡黄色的澄明油状液体。
本品为白色冻干粉末,在水或氯化钠注射液中呈白色颗粒悬浮液,静置后颗粒沉降于瓶底;本品为白色冻干块状物或粉末。
胶囊剂:本品内容物为类白色至微黄色粉末或颗粒;本品内容物为淡黄色至
淡棕黄色油状液体;本品内容物为白色球形小丸。
二 鉴别项
药物的鉴别试验(identification test)是用于鉴别药物的真伪,一般在药
品检验中作为首先项目。鉴别试验主要用于证实鉴别对象是否为所标示的药物,但常不用于鉴别未知物。
鉴别的主要项目:
1、性状:也可以列为鉴别项下,主要反映药物特有的物理性质,如外观、臭、味、溶解度及其物理常数等。
其中溶解度、熔点等项目受被测物晶型、颗粒大小等因素影响,会使批间有差异。主要是对原料药的影响,但也会影响制剂的质量。在制剂鉴别试验中虽较少但有时也要考虑。
2、一般鉴别试验(general identification test)是以药物的化学结构及其物理化学性质为依据,通过化学反应来鉴别药物的真伪。一般鉴别试验可能只证实为某一类药物,而不能证实是哪一种药物,需进行专属鉴别试验,方可确认。
3、专属鉴别试验(specific identification test)是证实某一种药物的依据,是根据药物间化学结构的差异及其物理化学特性的不同,选用某种药物特有的灵敏定性反应来鉴别药物的真伪。
红外光谱和拉曼光谱是鉴别原辅料的首选方法,用于制剂鉴别有一定的局限性,单方制剂 API 光谱鉴别要考虑辅料干扰,复方制剂 API 相互间的干扰以及
API 受辅料的干扰更为复杂。
红外光谱或拉曼光谱在制剂鉴别中的应用实例仍不多但在逐步增加。前处理提纯去除辅料或共存物的干扰是常用的方法;结合化学计量学、或采用微光谱(化学成像等)方法是进行制剂鉴别的新方法。
其他光谱法(如紫外法)、理化反应(颜色、沉淀)等在制剂 API 鉴别中有一定的应用,但专属性不强,色谱法(HPLC、TLC、GC),特别是 HPLC 法用于制剂中 API 的鉴别应用实例越来越多。
三 检查项
制剂检查项较多,随剂型不同而不同。
固体制剂重要的有:重量差异、片重差异、含量均匀度,崩解、溶出度和释放度和有关物质(杂质)等;
液体制剂重要的有:可见异物检查法,溶液颜色检查法,澄清度检测法,无菌检查法,热原检查、细菌内毒素检查法和有关物质(杂质)等。以含量均匀度、溶出度、可见异物检查法为例分别讨论。
1、含量均匀度检查法
含量均匀度系指小剂量或单剂量的固体制剂、半固体制剂和非均相液体制剂的每片(个)含量符合标示量的程度。含量均匀度检查法各国药典早先均采用计数法,USP21 版将计数法改为计数-计量混合型检查法,ChP1990 年版开始采用计量法,其他国家药典也相继采用计量法。美国等国外药典的含量均匀度检查法不断改进。但是,ChP1990 年版以后,该检查法一直几乎不变。
1. 1 USP32版检查法
初试公式: M − X +2.40 S ≤15.0。
复试公式:当条件① M − X +2.0 S ≤15.0;② M − xi ≤0.25 M ,同时被
满足时,判定批产品合格;否则判为不合格。
1. 2 与中国药典法比较
两国药典收载的检查法均采用相同的抽样方式,即二次抽样法,且抽取的样
本数相同。两种方案的接受值(Acceptance value,AV)或称待判值相同;判别式
也基本相同,除USP第二阶段的条件②外,均可用AV= M − X + kS ≤15.0描述,k
为接受常数,其值在两国药典中有明显差异,见表2。
表2两国药典的接受常数 k 值的比较
样品数  | ChP  | USP  | 
10(初试)  | 1.80  | 2.40  | 
30(复试)  | 1.45  | 2.0  | 
分析表明,USP32版的初、复试两阶段的接受常数 k 值均比ChP相应 k 值要大,
接受常数 k 值越大,在接受值(AV)不变的前提下,含量均匀度离散的标准差 S 则
越小,即USP32版对药品含量均匀度的控制要求更为严格,其判别标准明显高于
ChP2010年版,但是,由于USP无复试的附加条件,使复试率较大。
1. 3. 含量均匀度检查法的新方案
1、初试公式接受常数 k 会适当调整;
2、增加了复试率增大;
3、复试公式也会作相应调整。
总之,要比原方案更严谨,更合理。
2、溶出度检查法
2010年版药典中第二增补版已增加可采用光纤在线检测的相关内容,并规定检测结果不得用于仲裁。
以上三种测定法中,当采用原位光纤实时测定法测定时,赋形剂的干扰应可以忽略,或可以通过设定参比波长等方法消除;该方法特别适用于溶出曲线的测定。
3、可见异物检查法
该检查法在药典整合中遇到了问题,主要是各部原订的限度,整合在一起时
就相互不对应,正在协调统一之中。
第二部分制剂的杂质研究
杂质研究涉及杂质分析方法的建立与验证、杂质确认、杂质限度的确定及杂
质控制等诸方面。
一 杂质定义和种类
ICH将药品中的杂质按其属性分为无机杂质、挥发性杂质和有机杂质(有关物质)三类。包括:
⑴ 合成中的中间体;
⑵ 未反应的物质;
⑶ 反应的副产物;
⑷ 起始原料中的杂质;
⑸ 催化剂中杂质;
⑹ 降解产物;
⑺ 异构体杂质;对映异构体和互变异构体;
⑻ 残留溶剂;
⑼ 无机杂质;
⑽ 辅料中杂质;
⑾ 多晶体杂质;
⑿ 污染杂质;
⒀ 与辅料相互作用产生的杂质。无机杂质
无机杂质可能来源于生产过程,它们通常是已知和已鉴定的,包括试剂、配位体、催化剂,重金属或其他残留金属,无机盐,其他物质(如过滤介质、活性炭等)等。
在新药的研制过程中应对残留催化剂进行评估,在标准中是否收载相应的检查项目,应进行分析讨论。标准限度应根据药典标准或已知的安全性数据来制定。虽然采用 ICP-MS 分析化学药品中残留的各类阳离子,采用离子色谱分析药
品中的阴离子的技术已相对成熟,但目前国内对化学药品中无机杂质的控制要求仍相对简单,将是一个重要的研究方向。
值得关注的是,USP制订了药品重金属或限量元素总体控制解决新方案,在附录中增加三个新通则:元素杂质-限度<232>、元素杂质-测定法<233>、膳食补充剂中的污染元素<2232>。
USP新通则<232>的目的是规定药物中元素杂质含量的限度,这些元素是以杂质存在于美国药典的原料药和制剂(包括天然物和rDNA生物制品)、国家处方集的辅料、和《美国药典膳食补充剂纲要》的膳食补充剂和营养成分中。膳食补充剂以及它们的成分则颁布在通则-膳食补充剂中元素杂质(2232)中另有规定。
<232>中元素杂质的每日允许暴露量(PDE)与ICHQ3D是一致的。
在新通则<233>中,着重描述了测定元素杂质的两种常用方法:ICP-AES(方法
1)和ICP-MS(方法2),并提出选择方法的原则。挥发性杂质
对挥发性杂质,目前的焦点是残留溶剂分析,主要参照ICH的“Q3C杂质:残留溶剂的指导原则”,按照常用的69种有机溶剂对人体和环境的危害程度分为4
类进行限度规定,溶剂是在药物合成过程中使用的(或用于制备溶液或混悬液的)有机或无机液体,由于它们一般具有已知毒性,故较易选择控制方法。根据具体品种的生产工艺确定控制对象;推荐采用顶空毛细管气相色谱法进行分析检测。
有机杂质
有机杂质包括:起始物、副产物、中间体和降解产物等,如何按照QbD (quality by design)的指导思想,建立有效的分析方法并保证分析方法的耐用性则是有机杂质谱分析的关键。对于药物制剂,需要进行控制的杂质还包括其活性组分的降解产物或活性组分与赋形剂和(或)内包装/密封系统的反应产物。
药物中的杂质随不同来源(不同生产厂或不同工艺过程)而异
人用药品注册技术要求国际协调会(ICH)制定的杂质控制指导原则及基本理念已经逐步被国际社会接受。中国药典从2005年版始在附录中设有“药物杂质研究指导原则”,中国药典2010年版可谓是国内近10年来药品杂质研究成果的集中展示。
ICH要求(制剂中的杂质)
一般情况下,存在于原料药中的杂质在制剂中不需要监控,除非它们也属于降解产物。制剂中的降解产物是指制剂在生产和贮藏过程中,因如光照、温度、pH、水或与赋形剂和/或包装系统互相反应而导致原料药发生化学变化而产生的杂质。例如,丁溴东莨菪碱是常用的M胆碱受体阻滞药。因丁溴东莨菪碱含有酯键,在一定的酸性或碱性溶液中会发生水解反应,降解产生的杂质为托品酸。在丁溴东莨菪碱注射剂工艺中,是用盐酸调节其pH值。因此,采用HPLC法测定不同pH条件下丁溴东莨菪碱的降解产物托品酸浓度,根据测得数据拟合其降解曲线(见图2),研究注射剂的稳定性,可为生产和贮存提供重要的参考依据。
图2不同pH值(2.0、1.8、1.5、1.2、1.0)时丁溴东莨菪碱注射液降解产物量
应对新药制剂的生产和/或稳定性考察中所发现的降解产物进行综述。包括对
制剂中可能的降解途径和因与赋形剂和/或包装容器反应所产生的杂质的科学评
价。应对降解产物检测的实验室研究工作进行总结,包括研发过程中生产的批次
和拟上市生产批次的试验结果。应对不属于降解产物的杂质(原料和赋形剂产生
的杂质)进行说明。对拟上市生长产的有代表性批次中的杂质概况与用于研究的
批次作比较,对差异进行讨论。
发现的任何降解产物,如果大于鉴定阈值时应予鉴定;若无法鉴定某一降解
产物,则予以说明。
在新药制剂标准中应包括以下降解产物检查项:
0 每种特定的、已鉴定降解产物;
0 每种特定的未鉴定降解产物;
0 任何不大于鉴定阈值认可标准的非特定降解产物;
0 降解产物总量,(降解产物的增长量也应关注)。
0 其他安全性因素。
杂质(或降解产物)的界定是获得和评估一些数值的过程,这些数值用于建
立安全阈值(水平),单个的或某些已明确的杂质(或降解产物)含量在此阈值
水平下是安全的。应对设定的杂质(降解产物)限度提供包括安全性在内的依据。
二 制剂杂质研究的主要思路
制剂由至少一种API添加各种辅料(或不加)按一定工艺制成,其杂质可包括原料药中带入的杂质,药物在制剂制备过程和贮藏期间产生的降解产物,以及药物之间、药物与辅料之间可能的相互作用产生的降解产物。由于制剂比原料药所含杂质的来源具有多样性,数目也可能要多,使制剂的杂质研究工作较原料药复杂,复方制剂又较单方制剂更为复杂。
复方制剂有关物质控制的基本原则和单方一样,可以当作是在做两个或者三个产品,只不过是同时分析几个物质。相关的指导原则有ICH Q3A和Q3B,和FDA
相关的工业指南。
制剂杂质来源归属研究,首先需要通过对原料药化学结构、理化性质、稳定性等的分析,初步预测制剂中可能存在的降解产物(杂质的分析预测),然后通过进一步的试验,对杂质来源进行归属。
制剂杂质研究需分析确定各杂质的来源,对其进行定性研究和归属,杂质限度的确定必须以明确的归属为基础。比如对于毒性杂质,需明确归属才能严格控制,制定合理的限度。即使对于微量的未知杂质,由于来源于不同主药,其可接受的限量可能不同,一般也应确定其来源,除非杂质的量小于制剂中含量最小药物可接受的未知杂质限量。因此,制剂杂质的来源归属是杂质研究首先要解决的问题之一。
三 杂质研究方法与步骤
1 文献调研和资料收集,包括:
⑴ API生产厂的技术资料,一般有DMF的会提供可以公开的部分,包括工艺流程,合成路径和所有潜在杂质的信息。
⑵ 同一品种在USP、EP等药典中的情况,如进行检测的杂质种类和限量。
⑶ 根据相关文献,初步了解制剂中可能存在的潜在杂质和降解产物。这对杂质控制会提供很有用的信息。
⑷ 了解原研单位的相关资料和如何控制杂质的,如仿制药的进口注册标准是非常重要的信息。
2 杂质来源的分析预测
制剂中由原料药制备过程引入的杂质在原料药质量标准中已有相应的控制方法,故不是制剂杂质研究的重点。
制剂中需重点关注的杂质是降解产物。通过对组成(复方)制剂各原料药化学结构、理化性质、稳定性等的分析,可初步预测制剂中可能存在的降解产物。例如存在酯键、酰胺键的药物易于水解,通过结构分析基本可以确定因原料药水解而产生的杂质。另外,原料药及单方制剂的稳定性试验结果对于(复方)制剂中杂质的预测也具有重要参考意义,原料药及单方制剂贮藏过程中容易出现的降解产物在(复方)制剂中一般也应会存在。再如对原料药在高湿、高温、光照条件下稳定性及降解情况的了解,有助于确定不同制剂工艺(如制剂过程是否接触水分、是否经受高温处理、是否避光等)可能产生的杂质;通过对各原料药化学结构的分析,可初步判断主药之间是否存在相互作用而产生杂质的可能性。
3 建立可靠的分析方法
分析方法是获取杂质信息的重要手段,因此,杂质研究的首要问题是选择合适的分析方法。杂质分析方法的建立是一个复杂的工程,基本的原则就是建立的方法要简便、准确、重现性好、专属性强。
检测方法应能有效分离各杂质,方法的灵敏度除应符合一般要求外,还要关注对制剂中含量较小的药物所产生杂质的检出能力。
测定有关物质的方法必须具有稳定性指示功能(stability indicating),含量测定和有关物质都有稳定性指示功能的要求,因此含量测定和有关物质测定方法一般采用相同的色谱条件,只是浓度有差别。评价方法是否具有稳定性指示功能的主要依据就是stress study(破坏实验)。
关注不同方法间的互补与验证
HPLC-UV法被认为是一种理想的检测手段,在杂质研究中普遍采用,但是,对于杂质检测来讲,得到的色谱图不一定能真实反映实际情况。① 极性太强化合物可能被掩盖(与溶剂峰重叠),极性太小化合物保留在柱上难以被洗脱。② 无
紫外吸收不能被检出,或在检测波长处吸收相差较大的多种化合物不能被同时有效检出。如图A是某注射液稳定性考察中286nm检测有关物质的色谱图,图B为同一样品改用230nm检测的色谱图。
检测波长应兼顾主药和各杂质的吸收情况来选择,必要时在分别在特定波长下检测特定杂质。
对无紫外吸收的杂质,可改用其他类型检测器,流动相许可时,可先选择蒸发光散射检测器,其灵敏度高于示差折光检测器。ECD检测器对于无紫外吸收的杂质检测在灵敏度方面更具优势,如USP30中阿奇霉素有关物质检测在原HPLC-UV
方法基础上增加HPLC-ECD方法,并作为检测结果的仲裁方法。HPLC-MS联用技术应用已经非常广泛,但在标准中的应用实例还不多,要从必要性、实用性和经济性等方面考虑选择。
应注意不同原理的分析方法间的相互补充与验证,如HPLC与TLC的互相补充,反相HPLC系统与正相HPLC系统的相互补充,HPLC不同检测器的相互补充等。药物杂质多样性决定了有时以现有技术难以使用一种检测手段同时检测所有杂质,如采用TLC法检测无紫外吸收且极性过大的杂质,用HPLC法检测其他杂质。
⑵ 关注不同杂质色谱行为的差异药物杂质通常比较复杂,且多是未知物,极性、油/水分配等特性有时相差较
大,等度洗脱法难以在较短时间完全洗脱所有杂质,梯度洗脱法可通过调节不同时间的流动相组成,在较短时间内有效分离极性相差悬殊的物质。合适的梯度洗脱法不仅可以优化各物质的保留时间,较短时间内全部洗脱各种杂质,同时,还可以改善峰形,提高检测灵敏度。在国外的杂质研究中广为应用,呈现出逐步取代等度洗脱的趋势。
与等度洗脱法相比,梯度法操作复杂,并可引起色谱基线漂移,影响结果精密度,因此,如果等度洗脱可以有效检出相关杂质,可作为首选,但方法学验证中,梯度洗脱法在验证等度法是否可有效检出所有相关杂质时具有重要意义。
⑶ 采用新的杂质检测手段
国际上杂质研究不断吸纳分析科学成熟的新成就,色谱仪器越来越专业化(凝
胶色谱、离子色谱、逆流色谱等相继用于有关物质检测),色谱与光谱联用技术
越来越成熟,如HPLC-UV、HPLC-MS、HPLC-NMR、GC-MS、GC-IR等已经成为杂质分
析研究最重要的方法,但是,在杂质结构分析鉴定中,各种光谱技术(UV、IR、
MS、NMR和X-射线衍射法等)仍然是不可或缺的方法。
各类数据库越来越丰富,联机智能化解析系统越来越普及,为杂质研究提供了更为完善的利器。
杂质检测逐步呈现出全面检出(梯度洗脱,多检测手段互补、明确灵敏度要求)、有效分离(规定最难分离物质对色谱峰的分离度)、目标明确(特定杂质、非特定杂质)、准确定量(外标、校正因子、归一法相结合)的趋势。
反观国内杂质研究情况则基本沿用十几年一贯制的反相HPLC-UV组合的检测方法,色谱柱仍局限于C8、C18及-CN等常规填料,洗脱方式基本采用简单的等度洗脱法,对杂质定量也多为自身对照法,差距较为明显。
4、杂质谱分析与杂质确认
目前杂质研究以杂质谱为主线,以安全性为核心,将杂质研究与药品的化学、生产与控制(CMC)各项研究、药理毒理及临床安全性研究等环节密切联系,通盘考量,绝非一项孤立的化学分析工作。
对遗传毒性杂质的控制尚未给予足够重视。此类杂质可对细胞DNA产生损伤,国外对杂质的遗传毒性越来越重视。国内仅对主成分进行遗传毒性研究,很少会主动对相关杂质进行此项探究。
杂质谱包括药物中所有杂质的种类(研究初期可为色谱保留值等信息)、含量、来源及结构等信息。通过杂质谱分析较为全面地掌握产品中杂质概貌(包括来源和结构);有针对性地选择合适的分析方法以确保杂质的有效检出和确认;跟踪杂质谱对安全性试验或临床试验结果产生的影响,评估杂质的可接受水平;结合规模化生产时杂质谱的变化,评估杂质安全性风险,确立安全的杂质控制水平。
从制备工艺和产品结构分析入手,评估、预测产品中可能存在的副产物、中间体、降解物以及试剂、催化剂等大体的杂质概况,考证建立的分析方法是否能够将
它们逐一检出,并进行相应的验证工作,是杂质研究的主动思维,而传统的被动行为仅从建立的一种检测方法所检出的有关物质归属其来源情况,容易出现杂质漏检的情况,难以全面掌握杂质谱。杂质谱分析对于合理确定杂质限度、降
低杂质安全性风险具有重要意义。
药品中杂质控制理念的变迁,可概括为三个主要阶段:纯度控制、限度控制和杂质谱控制。早期对药物杂质的控制主要是通过对药品的纯度控制间接实现的。随着人们对药品中的杂质特性,特别是生物学特性的深入了解,发现不同的杂质可能具有完全不同的生理活性,如β-内酰胺抗生素中的微量聚合物杂质可能导致过敏反应,“致突变杂质”与其他杂质相比对人体的危害更大,因此药品杂质单纯的“限度控制”理念存在明显缺陷,药品中的诸杂质的种类与含量被总称为杂质谱(impurity profiles)。理想的控制理念应是针对药品中的每一个杂质,依据药理、毒理学试验结果和生理活性逐一制定其质控限度。
胡昌勤认为在药品国家标准中按“杂质谱控制”的理念对药品中的杂质进行控制是杂质控制的最终目标,而对杂质结构的推断则是杂质研究/控制过程中的最重要环节。胡对如何实施杂质谱控制,提出具有战略性意义的基本策略。
5、杂质限度确定的基本思路
杂质限度的确定需要综合药学、药理毒理及临床研究结果综合判定,除用含有一定量杂质的样品进行毒理试验外,也可以直接采用该杂质进行相应的毒理试验,为杂质限度的确定提供安全性方面的依据,这对于可能具有遗传毒性结构单元的杂质是必须的,通过体外点突变和染色体畸变试验进行安全性考查,如果出现阳性结果,需消除其生成,否则,需在质量标准中严格控制。如果某已知杂质的毒性在相关的文献上已有详细记载,也可作为杂质限度确定的依据之一。
确定杂质限度的基本原则是As Low As Reasonable Practicable (ALARP),
考虑要素包括:
⑴ 杂质的活性或毒性,这是评估杂质可接受水平的核心要素,限度确定的首要依据,其他考虑因素均不可背离其安全性要求。
⑵ 生产工艺、大生产中的正常波动和制备工艺耐用性反映出的产品质量批内一致性和批间重复性。
⑶ 分析方法,能达到的检测水平和可接受的误差和精密度。
⑷ 稳定性,产品储运过程中控制降解的方法和措施,以及在拟定贮藏条件下能够使产品保持其规定质量指标的有效期。
对杂质的控制及其限度制订,应考虑 ① 非临床安全性和临床研究用样品的
杂质概况,② 工艺稳定的具有一定代表性批次大生产产品的杂质概况汇总和分析。
6、异构体杂质
药物的异构体常常也就是药物的杂质,应在药品标准中进行质量控制。
⑴ 手性异构体杂质控制
手性药物质量研究的一个关键问题就是对药物光学纯度的控制。分析控制手性药物光学纯度的常用方法有:比旋度法、圆二色光谱法和手性色谱法。比旋度法较为简单,但影响比旋度数值的因素较多,必要时,可采用圆二色光谱法和手性色谱法,可以更为准确直观地反映各立体异构体杂质的变化情况。
⑵ 互变异构体分析
互变异构是某些有机化合物的结构在两种官能团异构体间产生平衡互相转换的现象,相应的异构体则称为互变异构体。大多数互变异构都涉及氢原子或质子的转移,以及单键向双键的转变。互变异构体在平衡中的分布与具体的因素有关,包括温度、溶剂和pH值等。
互变异构可被以下因素催化:碱—去质子化→生成离域的阴离子,如烯醇负离子→发生在相邻位置的质子化;酸—质子化→生成离域的阳离子→发生在相邻位置的去质子化。
常见的互变异构包括:酮-烯醇,例如酮-烯醇互变异构。酰胺-亚胺酸,例如腈水解反应。内酰胺-内酰亚胺,杂环中的酰胺-亚胺酸互变异构,例如鸟嘌呤、胸腺嘧啶和胞嘧啶。烯胺-亚胺,烯胺-烯胺,例如磷酸吡哆醛催化的酶反应。见下图如示。
研究互变异构体的常用的有效方法有 NMR 和拉曼光谱法等光谱方法。
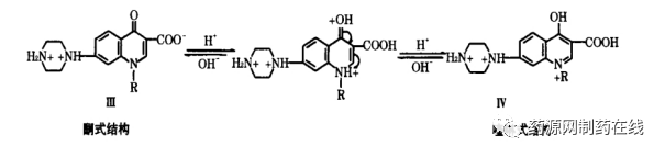
例如,作为两性分子的喹诺酮类药物含有两个质子的结合区,在 pH=4~11
的溶液中存在着如下四种质子化形式:
由于这种平衡体系中互变异构体组分的变化而引起了荧光发射峰的位置发
生大幅度的 Stockes 位移。
又例如,在研究中发现兰索拉唑部分 NMR 谱线变宽,为解释这一现象,提
出常温下兰索拉唑以 I 和 II 式两种构型同时存在于溶液中的构想。两种构型间不断翻转互变,从而使部分谱线变宽,变温实验证实了这一构想。随着温度上升,
两种异构体翻转互变速度不断加快,I 式与 II 式构型中某些信号化学位移逐步靠近,宽峰变窄,甚至合并成单峰;随着温度的下降,两种异构体翻转互变速度下
降,在丙酮中温度降到-70 后,化合物以一种稳定构型存在。
以上分析得知,A 环上氢及碳核磁共振信号均为宽矮峰,为了合理解释这一现象,设想存在如图所示的 I 与 II 式异构体,B 环的碳氮双键与硫羰基(S=O)成
反式,产生 I 构型,而 B’环碳氮双键与 S=O 成顺式,形成 II 构型,溶液中 I
与 II 式不断翻转互变;导致 H-2(H-5’)与 H-5(H-2’)的信号合并于约δH7.67 处
呈宽矮峰。同理,H-3(H-4’),H-4(H-3’)合并于δH7.32 处呈宽矮峰。
0 13CNMR 谱中,I 式的 C-2 信号在δC112.5 处,C-5 在δC119.8 处,而 II 式的 C-5’与 I 式的 C-2 于δC112.5 处重叠,形成宽矮峰,C-2’与 C-5 重叠于δC119.8 呈宽矮峰。同理,I 式的 C-4’与 II 式的 C-3 在δC122.7 形成宽矮峰,
C-3’与 C-4 重叠于δC123.8 处。季碳 C-1(C-6’)与 C-6(C-1’)则分别在δC134.8
与δC143.1 处呈两个宽矮峰,然而无论 I 与 II 式如何翻转,季碳 C-8 都等价,
故 C-8 在δC154.2 处形成尖锐的单峰,I、II 式翻转与 10#以后链节无关,故链节 10#-20#的 1H 及 13C NMR 谱不出现宽矮峰。
考察中性和质子化可乐定分子构型的构象,比较处于优势构象时互变异构体的相对稳定性,进一步寻找构象异构化和互变异构化过渡态,探讨质子化和水溶剂化效应对异构化过程的几何结构和能量的影响等。
⑶ 稳定性研究
稳定性研究对于手性异构体和互变异构体药物都是非常重要的。四、杂质归属研究的注意事项
在研究建立了可行的 HPLC 方法,对(复方)制剂中各主药、杂质、辅料能够有效分离之后,可采用 UV、质谱或其他方法对杂质进行归属研究,应注意:
1、分别测定各原料药、原料药按处方比例混合物、辅料、原辅料混合物、
制剂样品在确定的杂质检查色谱条件下的 HPLC 图谱,对上述图谱进行对比研究,以确定制剂色谱图中辅料峰、由各原料药引入的杂质峰。另外,可通过比较
各原料药的 HPLC 图谱与原料药混合物的 HPLC 图谱初步确定原料药之间是否有相互作用;通过比较原料药混合物的 HPLC 图谱、辅料的 HPLC 图谱以及原
辅料混合物的 HPLC 图谱,可初步确定原辅料之间是否有相互作用;通过比较原辅料混合物的 HPLC 图谱与制剂的 HPLC 图谱,可初步确定制剂过程是否引起主药的降解和杂质的增加。
2、对各原料药、原料药按处方比例混合物、辅料、原辅料混合物、制剂分
别进行光、热、湿影响因素试验,测定试验前后样品的 HPLC 图谱并进行比较分析,可明确制剂中药物在强光、高温、高湿条件下的主要降解产物,对(复方)制剂中的降解产物进行归属,并可通过上述比较研究,基本确定药物与药物之间、药物与辅料之间在剧烈条件下是否存在相互作用,是否产生新的杂质。
3、对各原料药、原料药混合物、辅料、原辅料混合物、制剂分别进行稳定
性加速试验(试验条件一般选择 40℃,相对湿度 75%),测定不同时间样品的
HPLC 图谱并进行比较分析,并与制剂长期留样试验样品的测定结果进行比较。
通过这些研究工作,可进一步明确(复方)制剂中各杂质的归属,明确药物在加速试验条件下及一般贮藏条件下的主要降解产物,为确定贮藏条件及质量控制重点建立基础。
4、尽可能地采用杂质对照品定位和测定杂质,其次可以考虑采用加校正因
子定量法,再其次就是主成分自身对照法,要逐一进行单个杂质的测定,一般不要以总杂质作为杂质指标。如果两个成分的响应值相差很大,自身对照外标法结果也不可靠。必须要充分研究后选择可行的方法。
在上述试验研究过程中,除需重点考察各试验样品的杂质检查结果及色谱行为外,还要注意观察样品外观性状、主药含量等的变化,以与杂质检查结果相互印证。
另外,通过上述试验研究过程,亦可进一步验证采用的检查方法及色谱条件是否可有效分离检出制剂中的杂质。
其实(复方)制剂进行杂质归属是非常必要的。国外很多标准常采用相对保留时间对杂质进行归属,但是在国内重现性非常差,没有可操作意义。如一个品种参照国外药典制定质量标准,把各个成分的降解产物分别计算,但是在复核时没有重现性,最后才确定为总杂质。
第三部分 分析方法验证一 药品检验方法验证的重要性
设计的检验方法应能达到预期的效果,保证测定结果准确可靠,确保药品的安全有效。
中国药典 2010 年版二部附录 XIX A 药品质量标准分析方法验证指导原则,药品审评中心-化学药物质量控制分析方法,美国药典通则 1225 药典分析方法验
证、通则 1226 药典分析方法确认,均依照 ICH Q2(R1), "Validation of Analytical
Procedures: Text and Methodology"
USP 明确规定:分析方法验证:建立方法要验证,修订方法要验证;分析方
法确认:应用方法时要确认方法是否适用。二 验证的目的
中国药典:关于分析方法验证的目的,“是证明采用的方法适合于相应检测
要求。在建立药品质量标准时,分析方法需经验证;在药品生产工艺变更、制剂的组分变更、中药处方变更、原分析方法进行修订时,则质量标准分析方法也需进行验证。方法验证理由、过程和结果均应记载在药品质量标准起草说明或修订说明中。生物制品质量控制中采用的方法包括理化分析方法和生物学测定方法,其中理化分析方法的验证原则与化学药品基本相同,所以可参照《药品质量控制分析方法验证技术指导原则》进行,但在进行具体验证时还需要结合生物制品的特点考虑;相对于理化分析方法而言,生物学测定具有更多的影响因素,一般要使用动物、细胞或生物分子,因此对于生物学测定的判断标准另作说明。”
ICH 验证的目的:The objective of validation of an analytical procedure is to
demonstrate that it is suitable for its intended purpose.
三、需验证的分析项目和验证内容
ICH 需验证的分析类型(分析项目)和验证的分析特性(验证内容)
和中国药典相似中国药典
分析项目:鉴别试验、杂质限度检查或定量检查、原料药或制剂中有效成分
含量测定,以及制剂中其他成分(如防腐剂等,中药中如残留物、添加剂等)的测定。药品溶出度、释放度等检査中,其溶出量等的测试方法也应进行必要验证。
验证内容:准确度、精密度(包括重复性、中间精密度和重现性)、专属性、检测限、定量限、线性、范围和耐用性。视具体方法拟订验证的内容。附表中列出的分析项目和相应的验证内容可供参考。
具体讨论如下。一、准确度
准确度系指用该方法测定的结果与真实值或参考值接近的程度,一般用回收
率(%)表示。准确度应在规定的范围内测试。
1.含量测定方法的准确度
原料药可用已知纯度的对照品或供试品进行测定,或用本法所得结果与已知准确度的另一个方法测定的结果进行比较。
制剂可在处方量空白辅料中,加入已知量被测物进行测定(原文可用含已知量被测物的各组分混合物进行测定)。如不能得到制剂辅料的全部组分,可向
待测制剂中加入已知量的被测物进行测定,或用本法所得结果与已知准确度的另一个方法测定结果进行比较。
如该分析方法已经测试并求出了精密度、线性和专属性,在准确度也可推算出来的情况下,此项可豁免验证。
2.杂质定量测定的准确度
可向原料药或制剂处方量空白辅料中加入已知量杂质进行测定。如不能得到杂质或降解产物对照品,可用本法测定结果与另一成熟的方法进行比较,如药典标准方法或经过验证的方法。在不能测得杂质或降解产物的响应因子或不能测得对主成分(原料药)的相对响应因子的情况下,可用主成分(原料药)的响应因
子。应明确表明单个杂质和杂质总量相当于主成分的重量比(%)或面积比(%)。
3.中药测定方法的准确度
可用已知纯度的对照品进行加样回收率测定,即于已知被测成分含量的供试品中再精密加入一定量的已知纯度的被测成分对照品,依法测定。用实测值与供试品中含有量之差,除以加入对照品量计算回收率。在加样回收试验中须注意对照品的加入量与供试品中被测成分含有量之和必须在标准曲线线性范围之内;加入的对照品的量要适当,过小则引起较大的相对误差,过大则干扰成分相对减少,真实性差。
回收率%=(C-A)/B×100%
式中 A 为供试品所含被测成分量;
B 为加入对照品量;
C 为实测值。
4.校正因子的准确度
绝对(或定量)校正因子是指单位面积的色谱峰代表的待测物质的量。待测定物质与所选定的参照物质的绝对校正因子之比,即为相对校正因子。相对校正因子计算法常应用于化学药有关物质的测定、中药材及其复方制剂中多指标成分的测定。校正因子的表示方法很多,本指导原则中的校正因子是指气相色谱法和高效液相色谱法中的相对重量校正因子。
可采用实测的相对校正因子与替代物(对照品)和被替代物(待测物)标准曲线斜率比值进行比较的方法;采用紫外检测器时,可将实测的相对校正因子与替代物(对照品)和被替代物(待测物)在指定的波长和溶剂条件下吸收系数比值进行比较。
准确度(%)=A/B×100%式中 A 为替代物(对照品)标准曲线斜率(UV 法中的吸收系数);
B 为被替代物(待测物)标准曲线斜率(UV 法中的吸收系数)。
5.数据要求
在规定范围内,取同一浓度(相当于 100%浓度水平)的供试品,用至少测
定 6 次的结果进行评价;或设计 3 个不同浓度,每个浓度分别制备 3 份供试品溶液进行测定,用 9 个测定结果进行评价。对于化学药,一般中间浓度加入量与所取供试品中待测定成分量之比控制在 1:1 左右,高、中、低浓度对照品加入量与所取供试品中待测定成分量之比控制在 1.2:1,1:1,0.8:1 左右,应报告已知加入
量的回收率(%),或测定结果平均值与真实值之差及其相对标准偏差或可信限;对于中药,一般中间浓度加入量与所取供试品中待测定成分量之比控制在 1:1 左
右,建议高、中、低浓度对照品加入量与所取供试品中待测定成分量之比控制在
1.5:1,1:1,0.5:1 左右,应报告供试品取样量、供试品中含有量、对照品加入量、
测定结果和回收率(%)计算值,以及回收率(%)的相对标准偏差(RSD%)
或可信限(置信度,又称置信水平(Confidence level),是指以测量值为中心,在一定范围内,真实值出现在该范围内的几率,通常情况下置信度的设定值是
95%。)。对于校正因子,应报告测定方法、测定结果和相对标准偏差(RSD%)。
样品中待测定成分含量和回收率限度关系可参考表 1。
表 1 样品中待测定成分含量和回收率限度
二、精密度
精密度系指在规定的测试条件下,同一个均匀供试品,经多次取样测定所得结果之间的接近程度。精密度一般用偏差、标准偏差或相对标准偏差表示。
在相同条件下,由同一个分析人员测定所得结果的精密度称为重复性;在同一个实验室,不同时间由不同分析人员用不同设备测定结果之间的精密度,称为中间精密度;在不同实验室由不同分析人员测定结果之间的精密度,称为重现性。
含量测定和杂质的定量测定应考虑方法的精密度。
1.重复性
在规定范围内,取同一浓度(相当于 100%浓度水平)的供试品,用至少测
定 6 次的结果进行评价;或设计 3 个不同浓度,每个浓度分别制备 3 份供试品溶液进行测定,用 9 个测定结果进行评价。
2.中间精密度
为考察随机变动因素对精密度的影响,应设计方案进行中间精密度试验。变动因素为不同日期、不同分析人员、不同设备。
3.重现性
法定标准采用的分析方法,应进行重现性试验。例如,建立药典分析方法时,通过协同检验获得重现性结果。协同检验的目的、过程和重现性结果均应记载在起草说明中。应注意重现性试验用样品质量的一致性及贮存运输中的环境对该一致性的影响(原文;应注意重现性试验用样品本身质量的均匀性和贮存运输中的环境影响因素),以免影响重现性结果。
4.数据要求
均应报告标准偏差、相对标准偏差和可信限。样品中待测定成分含量和精密
0 RSD 可接受范围参考表 2。
0 2 样品中待测定成分含量和精密度 RSD 可接受范围
三、专属性
专属性系指在其他成分(如杂质、降解产物、辅料等)可能存在下,采用的方法能正确测定出被测物的特性。鉴别反应、杂质检査和含量测定方法,均应考察其专属性。如方法专属性不够,应采用多种不同原理的方法予以补充。
1.鉴别反应
应能与可能共存的物质或结构相似化合物区分。不含被测成分的供试品,以及结构相似或组分中的有关化合物,应均呈负反应。
2.含量测定和杂质测定
色谱法和其他分离方法,应附代表性图谱,以说明方法的专属性,并应标明诸成分在图中的位置,色谱法中的分离度应符合要求。
在杂质对照品可获得的情况下,对于含量测定,试样中可加入杂质或辅料,考察测定结果是否受干扰,并可与未加杂质或辅料的试样比较测定结果。对于杂质检查,也可向试样中加入一定量的杂质,考察杂质之间能否得到分离。
在杂质或降解产物不能获得的情况下,可将含有杂质或降解产物的试样进行测定,与另一个经验证了的方法或药典方法比较结果。用强光照射、高温、高湿、酸(碱)水解或氧化的方法进行加速破坏,以研究可能的降解产物和降解途径。含量测定方法应比对二法的结果,杂质检查应比对检出的杂质个数,必要时可采用光二极管阵列检测和质谱检测,进行峰纯度检查。
四、检测限
检测限系指试样中被测物能被检测出的最低量。药品的鉴别试验和杂质检查法,均应通过测试确定方法的检测限。常用的方法如下。
1.直观法(原文:非仪器分析目测法)
用已知浓度的被测物,试验出能被可靠地检测出的最低浓度或量。
2.信噪比法
用于能显示基线噪声的分析方法,即把已知低浓度试样测出的信号与空白样品测出的信号进行比较,算出能被可靠地检测出的最低浓度或量。一般以信噪比
为 3:1 或 2:1 时相应浓度或注入仪器的量确定检测限。
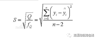
3.基于响应值标准偏差和标准曲线斜率法
DL=3.3δ/S (δ:响应值的偏差;S:标准曲线的斜率)
δ 可以通过一系列方法测得,如:(1)测定空白值的标准偏差;(2)标准曲线的剩余标准偏差或是截距的标准偏差来代替
剩余标准偏差 SE(即通过线性回归法计算纵坐标预测值所产生的标准误差),在 Excel 中的函数是 STEYX。
4.数据要求
上述计算方法获得的检测限数据需用实际样品进行验证。应附测试图谱,说明测试过程和检测限结果。
五、定量限
定量限系指试样中被测物能被定量测定的最低量,其测定结果应具一定准确度和精密度。杂质和降解产物用定量测定方法研究时,应确定方法的定量限。常用的方法如下。
1.直观法
用已知浓度的被测物,试验出能被可靠地定量测定的最低浓度或量。
2.信噪比法
用于能显示基线噪声的分析方法,即把已知低浓度试样测出的信号与空白样品测出的信号进行比较,算出能被可靠地定量的最低浓度或量。一般以信噪比为
10:1 时相应浓度或注入仪器的量确定定量限。
3.基于响应值标准偏差和标准曲线斜率法
QL=10δ/S (δ:响应值的偏差;S:标准曲线的斜率)
δ 可以通过一系列方法测得,如:(1)测定空白值的标准偏差;(2)标准曲线的剩余标准偏差或是截距的标准偏差来代替。
4.数据要求
上述计算方法获得的定量限数据需用实际样品进行验证。应附测试图谱,说明测试过程和定量限结果。
六、线性
线性系指在设计的范围内,测试结果与试样中被测物浓度直接呈正比关系的程度。
应在规定的范围内测定线性关系。可用同一对照品(或工作对照品)贮备液经精密稀释,或分别精密称取同一对照品(或工作对照品),制备一系列对照品
(或工作对照品)溶液的方法进行测定,至少制备 5 份测试样品。以测得的响应信号作为被测物浓度的函数作图,观察是否呈线性,再用最小二乘法进行线性回归。必要时,响应信号可经数学转换,再进行线性回归计算。必要时,还可采用
描述浓度-响应关系的非线性模型。
数据要求:应列出回归方程、相关系数和线性图(或其它数学模型)。七、范围
范围系指能达到一定精密度、准确度和线性,测试方法适用的高低限浓度或量的区间。
范围应根据分析方法的具体应用和线性、准确度、精密度结果和要求确定。
原料药和制剂含量测定,范围一般为测试浓度的 80%~120%;制剂含量均匀度检
査,范围一般为测试浓度的 70%~130%, 特殊剂型,如气雾剂和喷雾剂,范围可适当放宽;溶出度或释放度中的溶出量测定,范围一般为限度的±20%,如规定了限度范围,则应为下限的-20%至上限的+20%;杂质测定,范围应根据初步实际测定数据,拟订为规定限度的±20%。如果含量测定与杂质检查同时进行,用百分归一化法,则线性范围应为杂质规定限度的-20%至含量限度(或上限)的
+20%。
在中药分析中,范围应根据分析方法的具体应用和线性、准确度、精密度结果及要求确定。对于有毒的、具特殊功效或药理作用的成分,其验证范围应大于
被限定含量的区间。溶出度或释放度中的溶出量测定,范围一般为限度的±20%。
校正因子测定时,范围一般应根据其应用对象的测定范围确定。八、耐用性
耐用性系指在测定条件有小的变动时,测定结果不受影响的承受程度,为所建立的方法用于常规检验提供依据。开始研究分析方法时,就应考虑其耐用性。如果测试条件要求苛刻,则应在方法中写明,并注明可以接受变动的范围,可以先采用均匀设计确定主要影响因素,再通过单因素分析等确定变动范围。典型的变动因素有:被测溶液的稳定性、样品的提取次数、时间等。液相色谱法中典型
的变动因素有:流动相的组成和 pH 值、不同厂牌或不同批号的同类型色谱柱、柱温、流速等。气相色谱法变动因素有:不同厂牌或批号的色谱柱、固定相、不同类型的担体、柱温、进样口和检测器温度等。
经试验,应说明小的变动能否通过设计的系统适用性试验,以确保方法有效。
已有重现性验证,不需验证中间精密度。
如一种方法不够专属,可用其他分析方法予以补充。视具体情况予以验证。
美国药典:
分析方法验证是通过实验室研究建立工作特性满足目标分析要求的方法的过程。
近期热门培训课程请点击下面蓝色课题链接阅读原文
| 时间 | 培训链接 | 地址 | 
| 11月10-12日 | 新政下制药企业如何迎接飞行检查跟踪检查自检及常见缺陷案例分析专题-长沙 | 长沙市 | 
| 11月16-18日 | GMP生产过程控制IPC及现场管理研修班-杭州 | 杭州市 | 
| 11月24-26日 | 新厂GEP及工程项目管理专题培训班-南京市 | 南京市 | 
| 11月29-12月1日 | FDA和欧盟GMP和药品注册法规解读及现场检查483缺陷实例和趋势分析高级培训班-杭州 成都 | 杭州市 | 
| 12月19-21日 | FDA和欧盟GMP和药品注册法规解读及现场检查483缺陷实例和趋势分析高级培训班-杭州 成都 | 成都市 | 
| 11月24-26日 | 化学原料药生产工艺中试放大与技术转移研究与实施研修班-济南市 | 济南市 | 
| 11月17-19日 | 如何应对新法规下的药品现场核查及常见问题分析专题培训班-南京市 | 南京市 | 
| 11月23-25日 | 如何治理已发生的数据可靠性问题暨数据可靠性管理高级培训提升班-南京广州 | 南京市 | 
| 12月14-16日 | 如何治理已发生的数据可靠性问题暨数据可靠性管理高级培训提升班-南京广州 | 广州市 | 
| 12月8-10日 | 药厂节能及动力能源成本设计管理实操培训班-杭州市 | 杭州市 | 
| 12月15-17日 | 基于GxP原则的药厂培训体系建立实施与完善专题-南京市 | 南京市 | 
版权声明:
免责声明:转载上述内容仅供交流学习使用,对文中陈述、观点判断保持中立,不对所包含内容的准确性、可靠性或完整性提供任何明示或暗示的保证。仅作参考,并请各位自行承担全部责任。版权归原作者所有,本平台主要已制药生产企业 质量 生产 研发 gmp 设备 工程为主每天都会发一些制药方面的文章及课件,希望本公众号能给大家造就一个好的平台,如有文章有错误,如遇版权问题请联系小编删除。
问题:怎样才能每天都收到这种文章呢??
答案:只需要识别二维码图片下边药源网制药在线即可!
相关推荐
友情链接
Copyright © 2023 All Rights Reserved 版权所有 北京物流信息联盟
