北京物流信息联盟

【技术】导航电子地图中一种基于里程参数的道路平面几何解析模型

2023-05-25 17:04:50

 测绘人招聘、求职,首选“测绘人才网

随着智能交通系统 (ITS)、先进驾驶辅助系统 (ADAS) 和自动驾驶技术的发展,现有的商用导航地图由于在精度、内容和完整性方面的缺乏,已经不能满足更高层次运用的需求;在智能交通领域,对高精度地图的需求已经得到了普遍认识和接受。高精度的道路位置信息可以用于车辆定位辅助。

现有的高精度地图通过提高地图数据采集精度,沿道路线、车道线密集采点来保证道路几何信息的准确性;通过大量形点构造车道级的高精度地图,其粒度更细,内容更丰富, 对道路进行更详尽的描述。但这也造成了数据量的大幅增加,且通过密集的形点数据来计算道路的几何特征会耗费终端有限的计算资源。

综上,本文提出了一种面向高精度地图的、基于里程参数的道路平面几何解析模型。该模型能较好地减少数据冗余, 保证几何描述的准确性,通过它能方便快捷地计算道路任意点处的几何特征。

现有的道路几何描述模型

1 传统导航数据几何模型
传统导航数据将交通网络抽象为节点和弧段的集合。用道路中心线对其进行表达,即弧段。节点往往是路口和道路属性变化的位置。交通网络的交通信息作为节点或弧段的属性存储,由弧段的连通性建立路网的拓扑关系。受传统GIS拓扑学的影响,节点/弧段模型仍然是一种主流的导航数据模型。
在传统导航数据中,道路几何通过其中心线来表达,即有序的 (x,y) 坐标序列。采样点的密度、精度决定了其几何描述的准确性。由于使用道路中心线来表达面状道路几何,其表达粒度只达到“道路级”,道路内部的信息丢失严重。因此,精度、粒度、内容等方面的缺失,导致传统导航数据难以满足在智能交通领域更高层次的运用需求。


2 基于线形的几何描述模型
在交通部门道路设计中,主要使用直线、圆、缓和曲线3种线形。通过线形参数对道路几何进行描述是最直接的道路几何描述方法。直线和圆可以通过直线和圆的方程来进行描述。但缓和曲线几何描述就显得较为困难。缓和曲线的基本特征是曲线上任一点的曲率半径r和该点距曲线起点弧长l的乘积为一常数,即
(1)

中,R为缓和曲线终点的曲率半径;L为缓和曲线的总弧长;A为一常数值。以缓和曲线起点为坐标原点,起点处切线方向为x轴,法线方向为y轴,建立局部直角坐标系,缓和曲线可用参数方程描述(2)
式中,β=l2/2RL;l为任意点到缓和曲线起点的弧长;(x,y) 为任意点在缓和曲线局部坐标系下的直角坐标。由式 (2) 可以看出,缓和曲线是复杂的高次连续曲线,它不能用初等函数表示。对式 (2) 进行数值积分并对式中三角函数进行麦克劳林级数展开可以求解得缓和曲线在其局部坐标系中的表达式,即(3)
基于线形的道路几何描述,存在3个困难:①几何构建困难:缓和曲线几何表达式复杂,且该表达方式在缓和曲线局部坐标系下;②描述数据的结构不统一:直线可以通过斜率k和截距b来进行表达,圆通过圆心坐标 (x0, y0) 和半径R来表达,缓和曲线通过记录其局部坐标系信息、缓和曲线参数来表达;③线形识别困难:缓和曲线在靠近直线端表现为直线,在靠近圆端表现为圆,不易识别,当A较大时,这种困难尤为明显。

基于里程参数的道路平面几何解析模型

1 数学模型的建立
在交通网络中,道路几何复杂,形点坐标序列不一定满足一个严格的函数关系,如东西走向的道路可以通过一个y=f(x) 的函数关系进行描述,南北走向的道路反之;对更复杂的道路,描述方程中自变量并不单调,描述起来更加困难。本文引入里程s作为参数,通过约束最小二乘法求解得两个参数方程

对道路平面几何进行解析表达。这一方面保证了参数的单调性,另一方面与道路形点沿道路线性分布这一自然特征也是吻合的。
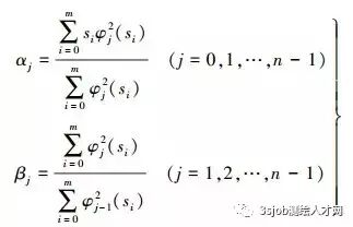
高精度地图沿道路线密集采集形点来保证道路几何描述的准确性,其形点沿道路线性分布,精度较高,数据间表现出普遍的线性相关。为避免对病态方程组直接求解,可构造点集上的正交多项式系作为基函数组。
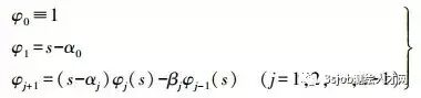
在点集si(i=0, 1, …, m) 上的正交多项式系可由以下递推公式构造
(4)
(5)
式中,n(n≤m) 为多项式的次数。通过式 (4)、式 (5) 可以构造任意点集上的正交多项式系,它在点集si(i=0, 1, …, m) 上是离散正交的。在本文的模型中,通过动态地构造点集上的正交多项式系{φ0(s), φ1(s), φ2(s), φ3(s)},以此为拟合基函数组进行道路几何参数的计算。
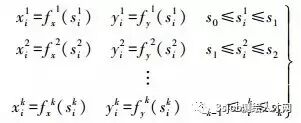
对于一条k个分段的道路,其几何形状可以通过k个参数方程组进行解析表达,即

(6)
式中,(xij, yij) 为第j(j=1, 2, …, k) 个分段内第i(i=0, 1, …, m) 个形点的直角坐标;sij为相应的里程;fxj(s) 表示第j个分段内的x关于s的参数方程;f(s)=c0φ0(s)+c1φ1(s)+c2φ2(s)+c3φ3(s),c0、c1、c2、c3为待定系数。
为保证曲线在分段点处的连续与光滑,要求前后两段曲线在分段点处函数值和一阶导数相等,即需要加入式 (7)、式 (8) 两个端点约束条件。
连续约束条件

(7)
光滑约束条件

(8)

2 数学模型的求解
设第j-1个分段有p+1个形点,第j个分段有q+1个形点,以第j个分段的参数方程x=fxj(s) 的求解为例。
首先,令h(s)=[φ0(s) φ1(s) φ2(s) φ3(s)],c=[c0 c1 c2 c3]T;显然f(s)=h(s)·c。
其次,构建约束最小二乘方程组

(9)
式中

对于式 (9) 的求解,一般有惩罚函数法和Lagrange乘数法两种方法。惩罚函数法既可以处理过约束问题,也可以处理欠约束问题,但无法得到精确的结果;Lagrange乘数法能够得到精确的结果,但一般只使用于欠约束情况。本文构建的数学模型只有0阶和1阶连续两个约束条件,属于欠约束情况,且为保证地图的精度,需得到方程的精确解,因此采用Lagrange乘数法对式 (9) 进行求解。
根据式 (9),构造Lagrange函数L(c, λ)=||Ac-B||+2λ(Rc-BR),由求多元函数极值的必要条件得

(10)
将式 (10) 写成矩阵的形式
(11)
式 (11) 为约束最小二乘问题的正规方程,它有唯一解,求解得c和λ,即得到该参数方程的表达式。同样,对第二个参数方程y=fyj(s) 进行求解,即可得到该分段内的几何描述参数方程组。

试验验证

1 试验数据
使用本文模型已经进行了实际数据生产。数据为2015年北京京承高速北五环至密云收费站单向60 km、双向120 km的加密后高精度地图,数据如图1所示。

图1中的灰色方框内是放大的高精度导航地图,在高精度导航地图中,道路表现为面状;图中蓝色线为车道中心线,白色虚线为车道线,黄色线为道路边线。称道路最左侧印刷线的中心线为道路参考线 (图中红色线);在路口等无车道线区域,根据道路的连接关系,使用贝塞尔曲线构建道路间的虚拟参考线、车道间的虚拟中心线进行连接。用参考线的几何形态表达道路几何;各车道表达为相对参考线的横向偏移t,(s, t) 的关系也可通过解析式表达。实际生产中,参考线是道路的几何基础,尤为重要;本文仅就道路平面几何进行探讨。

2 动态分段算法
为了保证各个分段的误差可控,本文提出了一种基于最大误差的动态分段算法,并使用该方法对道路进行动态分段拟合。
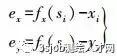
任意拟合数据点pi的拟合误差表现为x方向和y方向的误差

(12)
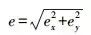
根据式 (12) 计算得到两个方向的误差ex、ey,则该点处的拟合误差为
(13)
根据式 (12)、式 (13) 统计各个拟合点的拟合误差,这些误差的最大值即为拟合最大误差maxe。以maxe作为分段基准,当maxe超过限差error_limited即产生新的分段。
图2为基于最大误差的动态分段算法程图。在算法中,第一个分段并不进行约束,而是采用一般最小二乘法进行拟合,得到第一个分段的参数方程组,通过该方程组计算后一分段的连续和光滑约束条件,再使用本文建立的数学模型对分段进行求解,直到整条道路分段拟合完毕。

3 典型的道路实例
使用本文模型生产的120 km高精度高速道路数据已交付使用。本文选取3条在几何上较为典型的道路数据进行说明。
3条典型道路的原始数据如图3(a)所示,Road1为一段直行高速道路,全长3 022.39 m,共614个形点;Road2为一段转弯高速道路,全长2 782.98 m,共339个形点;Road3为一段匝道,全长568.50 m,共353个形点。从图中可以看出其几何形状复杂度依次递增。


根据上文中的算法,设定分段拟合的最大误差限差为0.1 m,对本文试验数据进行动态分段拟合,拟合结果如图3(b)所示。图4给出了各试验道路的拟合误差分布情况。可见,使用本文算法实现了误差可控。

表1给出了Road2几何描述的一段实例数据。对每一分段,使用两个参数三次多项式方程和分段起点处里程s,共9个参数进行数学描述。通过表1中的数据,能对试验道路几何形状进行准确的描述,通过一定的计算能获取道路任意点处完整的几何信息。


表2是几何表达数据压缩比统计表。可以看到,道路1只使用两个分段就表达了614个形点的几何信息,数据压缩比达到98.53%;形状稍为复杂的道路2,使用14个分段表达了339个形点的几何信息,数据压缩比为81.42%;形状更为复杂的道路3虽然产生了19个分段,也达到了75.78%的压缩比。

4 结果分析
本文提出的道路几何解析模型不仅能减少高精度道路几何数据冗余,其优势还体现为几何描述准确及几何特征计算方便。
几何描述准确体现在两个方面:几何位置准确及几何形状光滑。本文通过基于最大误差的动态分段算法保证了解析模型误差可控,其位置信息是准确的。同时,连续、光滑约束条件保证道路在全局内一阶连续,道路几何是光滑的。
几何特征计算方便指的是通过本文模型,能够快速计算得到道路任意点处的几何特征。对参数方程求一阶导数、二阶导数,可以快速得到道路任意点处的航向角、曲率信息。若直接通过离散点来计算这些信息,由于离散点中存在噪声,计算结果往往不够准确,通常需要通过局部拟合来完成几何特征计算,这增加了终端的计算开销;另一方面,局部拟合受局部影响大,未考虑道路整体几何特征,通常不能很好地表达道路的实际几何形态。本文以道路为整体进行分段拟合,道路内全局光滑。使用本文提出的几何描述方法计算几何特征是方便、快捷的。
综上所述,本文提出的道路几何描述模型在很大程度上减少了几何描述数据冗余,能对道路几何进行准确地描述,能快速、便捷地计算道路几何特征。因此本文提出的道路几何描述模型对于智能驾驶具有一定的意义。

文章来源:测绘通报

更多招聘信息请登录:www.3sjob.net测绘人才网

【点一下回看最新测绘招聘职位】

招聘注册测绘师 测量组长 广东环粤勘测有限公司

招聘测绘外业技术员 测绘内业技术员 江苏兰德数码科技有限公司

广东国图勘测地理信息有限公司 诚聘:测绘项目经理 测量员/测绘

佛山市三水国盛测绘有限公司 招聘:外业测绘组长 工程测绘工程师

诚聘空三处理 地理信息技术员 航测技术员 云南新坐标科技有限公

招聘项目负责人 测绘组长 绍兴市炬鑫测绘有限公司

招聘测量组长 地下管线探测员 广州州游测绘技术信息有限公司

柳州市国土规划测绘院 诚聘:不动产权籍调查员 航测技术员

诚聘:测量组长 项目总工 山东明嘉勘察测绘有限公司

合肥市测绘设计研究院2017年度人才招聘

北京,广东,湖北,浙江,云南,山东,福建等3月份最新测绘招聘,期待你前来

广州建通测绘 诚聘测绘高级工程师 项目经理(地下管线)

中测新图(北京)遥感技术有限责任公司 招聘:测绘内外业技术员 航空航天遥感影像

诚聘:管线探测组长 测绘组长 深圳市龙海勘测工程有限公司

广东环粤勘测有限公司 招聘注册测绘师 测量组长

北京山维科技股份有限公司 招聘GIS开发工程师 工程项目经理

绍兴市炬鑫测绘有限公司 招聘项目负责人 测绘组长

广州州游测绘技术信息有限公司 招聘测量组长 地下管线探测员

云南新坐标科技有限公司 诚聘空三处理 地理信息技术员 航测技术员

佛山市三水国盛测绘有限公司 招聘:外业测绘组长 工程测绘工程师

招聘测绘总工 GIS项目经理 广东邦鑫勘测科技股份有限公司

福州闽地勘测规划有限公司 招聘测绘(量)组长 测绘项目经理

山东明嘉勘察测绘有限公司 招聘生产管理副总 项目总工

杭州环地测绘工程有限公司 招聘:注册测绘师 管线测绘工程师

西安大地测绘股份有限公司 招聘:GIS开发工程师 内业技术员

江苏兰德数码科技有限公司 招聘测绘外业技术员 测绘内业技术员

和我们一起发掘有深度的测绘技术

【秒收】手持GPS参数设置及全国各地坐标转换参数

【干货】GNSS数据质量分析

【海洋测绘】海洋内波的观测方法

【秒收】全站仪任意点架设仪器测高程的各种方法

【秒收】工程测量仪器简述

【干货】管道施工测量,不懂的来学习

【干货】3分钟告诉你如何轻松解决道路测量难题

【动态】不动产登记累计中标超29亿元,数据整合招标将爆发

【分享】2017地理信息行业发展方向预测

【植保】2017年植保无人机普及速度明显加快

测绘人:请为我们自己点赞!!!

【不动产】全国联网并非是要“以房查人”

【技术】三维城市技术浅析和应用

【干货】RTK仪器简单操作步骤,绝对实用!

【干货】GPS高速铁路平面控制测量

【技术】浅谈路桥施工测量放样

【技术】全站仪坐标引测38步,新项目开工必备!

【技术】"智慧城市"设计存在三大误区

【盘点】我国常见的高程系统的转换关系

纪录片《地理信息革命》,有种好莱坞大片的感觉!

【太全了】测量放线施工方案

【技术】移动测量系统成本3年可能降到30万元以内!

:土地确权及相关法制建设上榜

【干货】利用Excel在AutoCAD中批量绘制断面图的方法

【技术】北斗高精度有望破解共享单车定位难题

【技术】中国北斗与美国GPS优势比较谁更强?

海洋环境探索监测动态频频,你的海洋仪器准备好了吗?

【秒收】水准测量、三角高程、对边测量三种方式的比较

【干货】坐标转换怎么办?南方NRS转换参数加密播发系统

【技术】水准仪i角的检验

【技术】一种利用倾斜影像提取高精度DEM的方法

【不动产】不动产权统一登记实现“四证合一”

【干货】RTK手簿软件操作快速入门

论文库| 国内相控阵ADCP技术的开发研究

将成为我国继高铁、核电之后的第三张国家名片:北斗系统

【不动产】今后农村土地终将成倍升值

【干货】全站仪中的参考线功能如何使用?

【分享】山东省建设工程标准《地下管线探测技术规程》和《地下管线信息系统建设标准》 正式发布实施

【干货】水准仪、经纬仪、全站仪使用方法详解

【关注】无人机航测:成长中的那些伤与痛

【秒收】CAD,Word,Excel之间的转换,随你怎么换!

【盘点】哪些新技术被应用于智慧城市建设中?

【干货】玩转全站仪:干掉小问题,收获大成果

【分享】RTK测量遇到“无固定解”怎么办?

【干货】无人机倾斜的传统颠覆与倾斜摄影的介绍

【论】物探技术在水下管线探测中的应用

全站仪测量技术-XX全站仪使用方法

【技术】应用GF 1影像提取沿海地区地表覆盖信息的方法

【干货】CAD快捷键使用大全,赶紧收藏吧

【测量技术】浅谈对GPS不合格基线处理的几种方法

【动态】大地测量、车载移动测量等6项行业标准正式实施

【不动产】总理为百姓住宅70年续期做出重要批示?

GIS应用 | 不仅仅是电影,GIS正在渲染一个真实的城市

【动态】国家海洋局将建成中国的“全球海洋立体观测网”

【学术研究】点云数据的多几何面片特征自动识别

【测绘专栏】RCD30倾斜相机与城市实景三维模型制作

【知识】倾斜摄影测量和BIM技术与全要素三维智慧城市

【技术】三维建模关键技术的研究与应用

【技术】让国产陆地卫星数据好用、会用、用好!

喜大普奔:ArcGIS矢量切片支持自定义坐标系统

【秒收】南方GPS静态解算操作步骤

【分享】CASS9地形图绘制教程

【干货】地质绘图的方法和步骤

【参考】全球智慧城市都有哪些特色与前沿技术?

【干货】CAD中快速批量大量提取多个坐标点坐标的方法

就业:测绘工程专业就业前景和方向

【干货】华测RTK手簿电台模式操作步骤

【秒收】华测RTK使用步骤及注意事项

【干货】网络RTK支持下的无验潮水深测量方法及其应用

【秒收】CAD,Word,Excel之间的转换,随你怎么换!

厉害了!全国首部地理空间数据管理办法发布

【干货】Win7 Win8 64位的下的安装cad和cass9图文教程

海洋测量:深度基准面的确定与传递

分享:通过CAD直接点出坐标的小技巧

【分享】太全了,沉降观测具体方法

【秒收】测量测绘20个常见错误,史上最全面的抓紧收藏!

【秒收】53个CASS操作常见问题,附详细解答......

【秒收】3DGIS中几种常见的透明表达方式

【干货】WebGIS中等值线前端生成绘制简析

【秒收】无人机航测介绍及航测流程

【分享】AutoCAD、全站仪和编程计算器在工程测量中的应用

专注专业 专注高效

测绘行业招聘求职群:105533835
广东测绘测量交流群:558126657

航测内业数据处理交流:549262702
GIS地理信息求职交流群 :524202011

欢迎加入中国测绘人才网官网QQ群:416958184

提供:中高级人才推荐|网络招聘|猎头|专场招聘等服务
擅长的领域:3S技术开发类、无人机类、测绘测量类、土地规划勘察类

友情链接

Copyright © 2023 All Rights Reserved 版权所有 北京物流信息联盟