北京物流信息联盟

【中证评级】基于市场价格信息的信用风险度量工具概要(下)

2022-07-06 06:13:55

由于基于基本面数据的信用风险度量工具已经发展的较为成熟,体系更加完善,而基于市场价格信息的信用风险度量工具仍然存在较多需要继续探索、开拓之处,因此本期则主要对第二类工具进行总结,为深入研究信用风险模型的市场参与者提供一些参考。 


基于市场价格信息的三种度量方法的比较研究

基于市场价格信息的信用风险度量工具具备更加优良的时效性,可以实时反映信用风险的变动情况,此外,还可以根据隐含违约率的时间序列图构建不同评级的信用风险曲线,应用范围更广,因此中证评级深入分析了三种不同度量方法的优劣之处,并对其在目前市场状况下的适用性进行了探讨。 


【CDS-Implied EDF

基于CDS的预期违约频率试图从信用违约互换合约的利差中剥离出信用风险并测量其大小。

CDS(Credit default Swap)是债券市场中对冲信用风险的主要工具,在面临越来越多的债券违约风险的当下,其重要性也日益凸显。由于CDS中包含了除信用违约风险之外的其他因素(例如流动性溢价),因此仅仅使用CDS的信用利差可能导致高估真实的违约概率,国际知名评级机构穆迪使用了基于CDS利差计算的隐含违约频率。

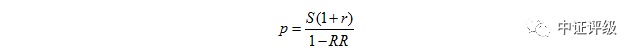
对于一个单期的CDS合约,假设其具有一个单位的名义金额,那么这个CDS合约的卖方所面临的期望损失L,可以表示为:

此处的p代表违约概率,RR则表示违约后的期望回收率。

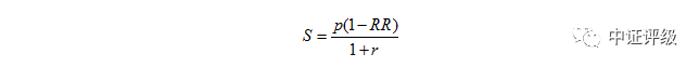
当CDS市场满足公平定价和风险中性的假设,CDS利差的现值与CDS卖方的预期损失的贴现值是等价的,即:

r表示无风险收益率,因此,当回收率和当前的CDS利差确定的情况下,基于上述贴现公式可以计算出CDS中隐含的违约率:

对于一般的多期CDS合约,穆迪采用了constant hazard model对违约概率进行度量。下图为一份5年期的西班牙银行CDS利差与基于CDS的隐含违约率的时间序列,可以明显的观察到,CDS利差中还包含一定的非信用违约的风险。

图表6:西班牙银行CDS利差及CDS隐含违约率时间序列图

资料来源:Moody’s Analytics

优势分析:

准确性高:影响CDS利差的最主要因素就是信用违约风险,因此通过CDS利差反推得到的隐含违约概率更加真实,较少受到其他因素的干扰。

应用性广:此外,若某一债券不具备活跃交易行情,但其有CDS价格,也可以通过类似的方法计算该主体的CDS隐含违约率。

劣势分析:

对市场的要求高:主要体现在两个方面,首先需要具备完善的CDS交易市场,其次需要保证CDS市场的流动性及有效性。

适用性分析:

包括我国在内的大多数新兴市场国家尚不具备较为完善的CDS市场,更没有达到欧美CDS市场的流动性及有效性程度,因此基于CDS的隐含违约概率度量模型目前并不适用。

 

【Equity Expected Default Probability

传统的分析方法需要详细地检验公司的运营状况,对现金流进行预测并评估公司未来的盈利能力,而基于公司股价变动信息对违约概率进行测算的KMV模型并不需要这些数据。因为市场的参与者已经进行了这样的分析并且将分析结果反应在公司当前的市场价值中,公司当前的市场价值而表现了市场供求的平衡点,是由市场参与者决定的。

KMV的理念中认为决定公司是否有足够的现金流偿还利息和到期债务的本金并不重要,重要的是公司资产的市场价值是否足够高。如果公司的资产有足够高的市场价值,公司可以通过随时变卖部分资产而得到偿还债务所需的资金。需要注意的是,公司的价值与公司资产负债表里的总资产并不一致,公司的价值需要以未来的视角来观察,也就是说公司的价值依靠的是公司的经营活动盈利和风险的预期,理想状况下等于负债的市场价值、股票的价值和其他负债的市场价值之和。公司的价值会不断变化,这种价值反映了市场对公司经营活动的认可程度。由于这些变化是不可预测的,可以将其视作随机过程,服从概率分布。当公司的资产价值低于负债时,判定为违约,在这种情况下,公司只能宣告破产,股东会一无所得,债权人接收资产,债权人的损失是债务的面值与资产市值之间的差异。估算这种情况出现的可能性和在这种情况下债权人的损失是计算公司信用价值的核心。如果假设公司资产的市值在一段时间内的变化与过去的变化无关,即在弱势有效市场中,市值的变化将呈现维纳过程。

使用穆迪的KMV模型对信用风险进行度量,对比基于股价的预期违约率与基于CDS的预期违约率,发现基于股价的违约率高估实际的违约风险,并且违约率的波动更加明显。

此外,由于股票的价格易受市场操控,或超预期因素导致的股价上涨,反而不能凸显公司实际困难下的违约风险。

例如,对于通用汽车公司,由于其市场份额下滑、销售缩减导致盈利能力显著下滑,2005年3月的股价隐含违约率迅速上升,2005年5月标普下调了通用的信用级别,表明了股价下跌反映了其违约风险的提升。但随后由于市场预期通用汽车已度过最坏的历史时期,第二季度将产生强烈的业绩反弹,因此投资者大量买入通用股票,助推其股价持续上升,基于股价信息度量的隐含违约率显著下降,但现实却并不是投资者所预期的那样,通用汽车并没有摆脱困境,随着其供应商的破产,通用汽车所面临的风险彻底暴露,隐含违约率大幅反转。

 

图表7:通用汽车公司5年期违约概率时序图

资料来源:Bloomberg LLP,IMF

 

优势分析:

灵敏度高:可以有效反应预期的负面消息而导致股价下跌中隐含着的主体信用风险的上升。

相对于CDS利差或债券价格面对信用事件时一蹴而就的反应,股价的变化是渐进的,可以根据违约率时序图的走势,探索其中隐含的可能存在的但尚未暴露的信用风险。

劣势分析:

准确性相对较低:股票价格易受多种因素的影响,例如牛市与熊市期间,股价会发生超涨与超跌的情形,但其信用违约风险可能并没有发生显著变化;此外,一些偏离实际的超预期也将导致隐含违约率的失真。

适用性分析:

具有一定程度上的适用性。若发债主体是上市公司,且其债券并无活跃交易行情,那么基于股价信息的隐含违约率更加有效;但我国债券市场中,存在大量并未上市的发债主体,限制了模型的适用性。

 

【Bond Implied Default Probability

由于可以获得公开的债券估值,因此基于债券市场价格信息的隐含违约率相较于其他方法,适用性更强。

它的原理与基于CDS隐含违约率的度量更为相似,即最大程度上剥离债券收益率中蕴含的信用风险溢价,认为债券目前的公允价格与未来各付息周期下期望现金流的现值是等价的,未来的期望现金流是违约概率的函数,因此,可以通过变量求解得到隐含违约率,用于度量债券价格信息中所反映的违约风险的大小。

目前,有两种构建债券隐含违约率的模型:第一种方法是IMF工作论文中使用的更加强调单个付息周期下的隐含违约率模型即边际违约概率;第二种方法是J.P Morgan使用的基于违约强度对违约概率进行刻画的模型,认为违约概率服从泊松分布,它可以更加有效的度量连续时间下的累积违约概率,如半年期或五年期的违约概率。

方法一:每个付息周期利息为C,面值为100   方法二:每个付息周期利息为C,面值为1

     

中证评级是市场上首家基于债券价格信息对违约风险进行度量的评级机构,中证隐含违约率采用IMF提供的基本模型,用于度量单个付息周期下的信用违约风险。

此外,中证评级积极探索隐含违约率的价值,研究开发了基于隐含违约率的中证信用风险曲线,反映不同信用等级下违约风险的水平和趋势变化。

图表8:中证信用风险曲线(2017年上半年)

数据来源:财汇金融

优势分析:

数据充分:基于债券价格的隐含违约率模型,最大的优势在于数据的可获得性,相较于CDS与股票价格存在数据缺失的问题,我们可以获得任何一笔债券的估值。

劣势分析:

准确性相对较低:影响债券价格的因素较影响CDS价格的因素更加复杂,可能导致债券隐含违约率不能单纯反映信用风险,准确率相对CDS隐含违约率低。

适用性分析:

在我国目前资本市场的发展状况下,债券隐含违约率是三种方法中适用性最强的。但也需关注无活跃交易行情下债券估值的公允性问题可能对隐含违约率产生的影响。

 

隐含违约率与真实违约风险的偏差分析

为了简化计算方法,无论是基于CDS、股票价格亦或是基于债券价格的信用风险度量模型,都对一些难以量化的关键因素进行了假设,研究放宽这些假设条件下,隐含违约率的变化趋势,有助于我们更好的理解基于假设条件下的隐含违约率与真实违约风险的偏差。

1、风险中性的假设下,往往会产生对真实信用风险更加悲观的看法

一般情况下,投资者多为风险厌恶的,尤其当面对信用级别较低的债券时,风险厌恶程度可能更加强烈,因此需要提供更高的风险溢价进行补偿。

而信用风险度量模型反映的隐含违约率是基于风险中性假设下的违约率,将会与现实世界产生差异。

考虑风险偏好的因素,使用效用函数对风险中性下的隐含违约率进行调整,改进后的结果显示风险中性假设高估了真实的信用风险,风险中性下的预期违约高于现实世界预期违约的4至20倍,倍数与风险偏好程度紧密相关。

图表9:通用汽车公司5年期风险中性违约率VS真实情况下的违约率

资料来源:Bloomberg LLP,IMF

 

2、设置不同的回收率会对隐含违约率产生影响,但不会改变债券间隐含违约率的相对位置

J.P Morgan曾使用基于债券价格的隐含违约率模型度量不同回收率下的信用风险。可以发现,越高的回收率假设将导致越高的隐含违约率;但不同回收率下隐含违约率的相对关系却保持一致,对于不同期限下的债券也存在相同的特征。

由于模型中假设的回收率与真实的回收率间存在差异,所以计算得到的印但只要保障回收率假设的一致性,那么得到的隐含违约率的相对关系将保持不变,具有可比性。

图表10:

资料来源:J.P Morgan

 

使用隐含违约率应注意的问题

1、更应关注隐含违约率大小的相对值,而不是片面追求绝对值

隐含违约率的价值是通过互相对比体现的,分析单个值的大小并无多大意义。

由于隐含违约率的大小可能受到模型风险或一些假设不合理的影响,而对真实世界信用风险的估计产生偏差,因此,片面根据隐含违约率的绝对大小而改变对某项债券的信用观点是有风险的;应该充分比较不同行业或不同级别的隐含违约率,利用其度量违约风险所具有的相对一致性的特征,规避某类信用风险较大的债券类别。

 

2、隐含违约率对低级别或高风险行业产生了一定程度上的高估

隐含违约率模型基于风险中性假设,但真实世界中的投资者却存在不同程度上的风险偏好。面对信用级别较低或风险较高的行业,投资者的风险厌恶程度可能更加强烈,并将这种情绪反映到债券价格当中,此时计算得到的隐含违约率受风险偏好的影响较大,严重高估了真实的违约风险。

在使用隐含违约率对比不同行业或信用级别的违约风险时,对高风险行业或低级别不应过于悲观,造成较大的违约率差异的缘由可能一部分是来源于模型本身假设的缺陷。

同样,受风险偏好的影响,一些高风险行业中信用状况较好的企业可以受到拖累,导致隐含违约率对其信用风险的度量失真。

 







声明:

本微信公众号的内容由中证指数有限公司(“中证指数”)提供,受中国著作权法、商标法、专利法及相关法律保护。除法律另有规定或者中证指数与第三方另有约定外,本微信公众号展示或提供的所有内容(包括但不限于商标、商号、服务标记、文本、图片、设计、音频、视频、指数数据、行情信息等)的知识产权均属中证指数所有。在遵守中国有关法律与本声明的前提下,任何机构或者个人可基于非商业目的浏览、下载本微信公众号的内容,但非经中证指数事先书面同意,任何机构或个人不得在任何媒介上予以转载。
“中证®”、“中证指数®”、“CSI®”及其他与中证指数及其所提供产品及服务有关的商标均归属上海证券交易所及/或中证指数所有。任何机构或个人未经上海证券交易所及/或中证指数书面授权,不得以任何形式使用。
中证指数可随时修改或更新本微信公众号的任何内容。中证指数不对本微信公众号所提供内容的准确性和完整性做出任何保证。对任何因直接或间接使用本网站内容而造成的损失,包括但不限于因有关内容不准确、不完整而导致的损失,中证指数不承担任何法律责任。



友情链接

Copyright © 2023 All Rights Reserved 版权所有 北京物流信息联盟