北京物流信息联盟

科普:光学棱镜

2021-11-16 09:30:37




光学工厂:助力你的光学事业,精彩你的光学人生!



棱镜是实心的玻璃光学,经过磨砂和抛光成几何与光学明显的形状。角度、位置和光学平晶数量有助于定义类型和功能。艾萨克·牛顿爵士示范的一个最受认可的棱镜使用,包括将一束白光源分散到其组件颜色(图1)。利用此应用的设备是折射仪光谱元件。由于这一初步发现,棱镜已在系统中用于“折射”光纤,将系统“折叠”成一个较小的空间,改变图像的方向(也称为旋性或同位),以及合并或分割光束的部分反射面。这些用途在利用望远镜、放大镜、测量仪器和许多其他应用中非常普遍。

图1: 通过棱镜实现色散

棱镜的一个显着特点是能够模仿作为一个平系统,来模拟棱镜媒介中的光反射。 更换反射镜组件可能是最有用的棱镜应用,因为它们都折射或折叠光线和改变图像同位。 要实现类似单个棱镜的效果,通常需要使用多个反射镜。因此,用一个棱镜来代替几个反射镜可减少潜在的校准错误,提高准确性和减少系统的规模和复杂性。

棱镜制造

在钻研棱镜的理论之前,先思考其制造过程。为了能够在大多数应用中成功使用,制造棱镜时必须符合非常严格的公差和精度。由于形状、大小和最重要反射面数量的变异,大规模的自动化过程对于棱镜制造是完全不可行的。此外,大多数高精度棱镜往往倾向于少量制造,意味着自动化过程是不必要的。

首先,取得一块符合特定等级和玻璃类型的玻璃(称为“玻璃毛坯”)。然后磨砂这块玻璃,或通过一个金属金刚石砂轮生成接近完成的产品。大多数的玻璃都会从这个阶段去除,形成平坦但仍然粗糙的表面(图2a)。此时,即将成为棱镜的尺寸已非常接近所需的规格。接着,是去除表面的表面下裂痕的细磨过程;这一阶段称为精磨。第一个阶段遗留的刮痕将会在第二个阶段中去除(图2b)。精磨处理之后,玻璃表面应出现混浊和不透明。在首两个阶段中,棱镜表面必须潮湿,以便加快玻璃移除和防止玻璃本身过热。

第三阶段包括根据规格要求将棱镜抛光到指定的精度。在这个阶段中,玻璃将摩擦用“研磨浆”湿润的聚氨酯抛光器,此“研磨浆”是通常包含混合水与浮石或氧化铈的光学抛光化合物(图2c)。抛光阶段的确切时间,非常依赖于要求的镜面规格。一旦完成抛光,即可开始倒角。在这第四个阶段中,棱镜的边缘将经过一个旋转的钻石板,将上述步骤中形成的尖锐边缘稍微磨钝(图2d)。倒角之后,成品棱镜将进行清理、检查(通过手动和自动两种方式),以及在必要时进行减反(AR)和/或金属反射镀膜,以进一步帮助提高整体透射率和/或反射率。虽然过程因为棱镜上的反射面数量而需要更积极参与并可能需要更多的循环或操作,但生成、平滑、抛光和倒角阶段在图2a - 2d中都有大致的概述。

图2a: 棱镜制造过程:粗磨阶段

图2b: 棱镜制造过程:精磨阶段

图2c: 棱镜制造过程:抛光阶段

图2d: 棱镜制造过程:倒角阶段

在制造棱镜的整个过程中,需要不断调整和固定进行中的每个镜面。将棱镜固定到位涉及两个方法之一:阻止和接触。阻止需要将棱镜排列在注入热蜡的金属工具中。另一方面,接触是一个在室温下进行的光学粘合过程,通过其范德瓦尔斯交互作用将两个清洁的玻璃表面紧固在一起。接触方法在要求高精度公差时使用,因为它不需要在生成、平滑或抛光阶段中进行其他调节来考虑棱镜表面和接触块之间的蜡厚度。

在棱镜制造过程的每一个阶段中,从产生到阻止和接触,都需要一位熟练的验光师手动检查和调整正在处理的棱镜表面。因此,它需要注入非常大的劳力,而且要求经验和技巧来完成。整个过程通常需要相当大量的时间、工作和专注。

理论:光线与折射

了解棱镜何工作是决定哪种类型的棱镜最适合某个特定应用的关键。为此,重要的是首先了解光与光学表面的相互作用。这种相互作用可通过斯涅尔的折射定律说明:

(1)

其中n1是入射媒介的指数,θ1是入射光线的角度,n2是折射/反射媒介的指数,以及θ2是折射/反射光线的角度。斯涅尔定律说明当光线经过多个媒介时,入射角和投射角之间的关系(图3)。

图3: 斯涅尔定律和内部全反射理论

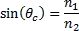
棱镜的显著能力是不需要特殊镀膜即可反射光线路径,例如在使用反射镜时则需要使用这些镀膜。此功能通过一种称为全部内反射(TIR)的现象来实现。TIR在入射角(从正常测量的入射光线角度)大于临界角θc时发生:

(2)

其中n1是光线产生时媒介的折射率,n2是光线出射时媒介的折射率。重要的是,需要知道TIR只有当光从高指数媒介传输到低指数媒介时发生。

在临界角,折射角等于90°。参考图3,将发现TIR只在当θ超出临界角时发生。根据斯涅尔定律,如果该角度在临界角之下,则透射将连同反射一起发生。如果棱镜面不符合所需角度的TIR规格,则必须使用反射镀膜。这就是为什么有些应用需要镀膜版本的棱镜,在其他应用中可以无需镀膜即可良好工作的原因。

理论:图像旋性/同位

通过棱镜成像的一个重要方面是图像旋性(同位),亦指图像的方向。这在每次光线路径射到平面 任何平面反射面,或产生TIR的棱镜表面角度时出现。共有两种类型的旋性:左和右。右旋性(图4)描述图像经历偶数反射次数,导致可在至少一个位置清晰阅读(假设图像是文本)的情况。左旋性(图5)描述图像经历奇数反射次数,导致图像位置不规则,相当于在反射镜中所看到的情况。

图4: 右旋性或偶数同位

图5: 左旋性或奇数同位

除了同位,还有三种不同类型的图像变化(图6)。倒位是指水平轴上的图像翻转,而逆转是指垂直轴上的图像翻转。当两者同时进行时,就会发生180°的图像旋转,因此没有同位变化。思考同位的另一种方法,是将它定义为通过针对朝着任何物体或图像光学空间的传播方向回顾来决定(图7)。

图6: 倒位(顶部)、逆转(中间)、旋转(底部)

图7: 决定同位的方式

使用棱镜时,需考虑以下四点:

  1. 图像旋性会在每次图像反射时改变。

  2. 沿反射面平面的任何点,和从物体及其图像等距离。

  3. 可将斯涅尔定律应用到所有表面。

  4. 测试图像旋性/同位时,最好使用非对称字母,如R、F或Q。避免使用如X、O、A等字母。

棱镜类型

共有四种主要类型的棱镜:色散棱镜、偏转或反射棱镜旋转棱镜偏移棱镜。偏转、偏移和旋转棱镜常用于成像应用;扩散棱镜专用于色散光源,因此不适合用于要求优质图像的任何应用。

色散棱镜

根据棱镜基片的波长和反射率,棱镜色散取决于棱镜的几何及其折射率色散曲线。最小偏向角决定入射光线和投射光线之间的最小夹角(图8)。绿色光的波长偏离超过红色,蓝色比红色和绿色多;红色通常定义为656.3nm,绿色为587.6nm和蓝色为486.1nm。

图8: 通过棱镜实现色散

偏转、旋转和偏移棱镜

偏转光线路径的棱镜,或将图像从其原始轴偏移,在很多成像系统中很有帮助。光线通常在45°、60°、90°和180°角度偏转。这有助于聚集系统大小或调整光线路径而不影响其余的系统设置。旋转棱镜,例如道威棱镜,用于旋转倒位后的图像。偏移棱镜保持光线路径的方向,还会将其关系调整为正常。

棱镜选择指南

为了帮助您选择适用于特定应用的最佳棱镜,请考虑以下最常用于光学、成像和光电工业的选择指南。

棱镜选择指南

等边棱镜 - 色散

功能
  • 将白光源分散到其组件颜色

应用
  • 光谱学

  • 电信

  • 波长分开

利特罗棱镜 - 色散、偏转

功能
  • 未镀膜:将白光源分散到其组件颜色

  • 镀膜:将光线偏转60°

  • 图像为右旋性

应用
  • 光谱学(未镀膜

  • 多光谱激光系统调节(镀膜)

直角棱镜 - 偏转、偏移

功能
  • 将光线偏转90°

  • 图像为左旋性

  • 组合用于图像/光束偏移

应用
  • 内镜

  • 显微镜

  • 激光校准

  • 医疗仪器

五角棱镜 - 偏转

功能
  • 将光线偏转90°

  • 图像为右旋性

应用
  • 视觉瞄准

  • 投影

  • 测量

  • 显示系统

半五角棱镜 - 偏转

功能
  • 将光线偏转45°

  • 图像为右旋性

应用
  • 佩肯正像镜组件

阿米西屋脊棱镜 - 偏转

功能
  • 将光线偏转90°

  • 图像为右旋性

应用
  • 显微镜

  • 望远镜目镜

阿米西屋脊棱镜 - 偏转

功能
  • 将光线偏转45°

  • 图像为右旋性

应用
  • 显微镜

  • 望远镜目镜

回射器 (三角棱镜) - 偏转、偏移t

功能
  • 将光线偏转180°

  • 图像为左旋性

  • 不论棱镜的方向如何,将进入棱镜面的任何光束反射回其本身。

应用
  • 干涉测量

  • 轴线校准

  • 测距

  • 激光追踪

  • 精密校准

楔形棱镜 - 偏转、旋转

功能
  • 单独使用可将激光光束偏转至一定的角度

  • 组合使用两个棱镜可创建变形棱镜组以进行光束整形

应用
  • 光束偏转

  • 可调谐激光

  • 不规则形状成像

  • 林业

菱形棱镜 - 偏移

功能
  • 偏移光轴而不改变旋性

  • 方向保持不变(没有光线偏转

应用
  • 放大镜

  • 测距器

  • 激光仪器

道威棱镜 - 旋转

功能
  • 未镀膜:将图像旋转棱镜旋转角度的两倍

  • 未镀膜:图像为左旋性

  • 镀膜:将进入棱镜面的任何光束反射回其本身

  • 镀膜:图像为右旋性

应用
  • 干涉测量

  • 天文

  • 模型识别

  • 在检测器后面或周围的视角成像

变形棱镜组 - 扩束

功能
  • 在一个维度上扩展入射光束直径

  • 适合用于使椭圆形光束呈圆形

应用
  • 激光二极管激光扩束器

  • 高清成像透镜

匀光管 - 匀光

功能
  • 均匀化非均匀光源

应用
  • LED照明器

  • 微投影仪

  • 激光散斑衰减器

  • OEM照明

锥形均匀化柱状导光管 - 匀浆

功能
  • 均匀化非均匀光源,同时缩小输出数值孔径(NA)

应用
  • 投影仪

  • 微显示中继系统

本简介提供棱镜的制造过程及其相关理论的概述,以及有助于找到适用于任何应用的最好棱镜的选择指南。有关直角棱镜、屋脊棱镜和组合棱镜(如立方体分光器)的更深入信息,请参阅棱镜应用范例”。

转载至:EDMUND OPTICS


- END -



公告通知

微秀影像,帮你做掌上企业宣传片


1、你是否习惯了在会议室用投影仪向客户作公司介绍

2、你是否习惯了在会议室用投影仪向客户作产品介绍

3、你是否习惯了在会议室用投影仪给员工作培训

4、你是否习惯了将公司开展的各种活动的资料存在电脑里,或打印出来订在墙面上

------

所有的这一切《微秀影像》来帮您改变!

你的公司介绍随时可以微信给客户手机

你的产品介绍随时可以微信给客户手机

你的企业培训随时可以微信给员工手机,员工也可以随时学习

你的开展的各类活动资料,可以及时微信分享给每一位员工

------


有需要者、想尝试者,可以立即咨询《微秀影像》

电话:18676193058

邮箱:renyu1973@126.com


《微秀影像》给您做专业的企业微信宣传资料

《光学人生》给您做免费推广






诚勿扰!

 


微信群

冷加工群:全开放的大群

 

常按下图二维码,与版主面对面

版主已经为光学事业奋斗了27年


 

更多交流,敬请期待

 

QQ群

冷加工群:全开放的大群

 

常按下图二维码,直接进入QQ冷加工2群

 

 

更多交流,敬请期待



友情链接

Copyright © 2023 All Rights Reserved 版权所有 北京物流信息联盟