北京物流信息联盟

[钻井技术:561]焦石坝区块 Ø311.2 mm 井眼定向段钻头优选与应用

2022-05-15 09:33:36

[来源:石 油 钻 采 工 艺]刘明国、孔 华、兰 凯、张 敏、李亚南(中原石油工程有限公司钻井工程技术研究院, 河南濮阳 457001)


摘要:

针对焦石坝区块页岩气水平井 Ø311.2 mm 井眼定向段长、 钻遇地层复杂、 非均质性强, 易导致钻头失效快、 机械钻速低等问题, 建立了基于地层可钻性和实钻效果评价的钻头选型方法。利用测井资料获取地层岩石力学参数, 建立了岩石可钻性剖面, 确定了合理的钻头类型;基于虚拟强度指数原理建立了综合考虑地层破岩效率和进尺的钻头性能评价指数, 对完钻井钻头使用效果进行了定量评价。利用该方法分地层推荐了焦石坝 Ø311.2 mm 井眼定向段钻头选型方案, 并在焦页 49-1HF 等 5口井进行了应用, 平均机械钻速同比提高了 207%, 单只钻头平均进尺提高了 139.2 m。应用效果表明, 基于地层可钻性和实钻效果的钻头选型方法能够定性地优选钻头类型、 定量地评价钻头性能, 有效提高了钻头与地层的匹配性。


正文:

合理选用钻头是提高钻速、 降低钻井综合成本的重要途径之一。钻头选型及评价方法可分为 3 种:一是以所钻区域岩心、 测录井资料为基础, 获得相关地层岩石力学参数, 对待钻地层进行评价, 结合钻头使用说明优选推荐钻头 [1-2] , 该方法主要考虑了钻头与地层的匹配性;二是以钻头使用资料为基础, 从钻井每米成本、 机械钻速等指标考核获取最优钻头型号, 该方法主要考虑钻头的使用效果 [2-4] ;三是综合前两种方法, 将钻头使用效果和地层岩石力学参数叠加组合 [5-6] , 但各种方法都有其自身的优势与不足。笔者在对焦石坝区块地层岩石力学特性分析的基础上, 通过建立基于虚拟强度指数的钻头选型评价方法, 以焦石坝 Ø311.2 mm 井眼定向段为例, 分层段推荐了钻头选型方案, 在现场进行了应用, 取得了较好的效果。


1 钻头使用问题分析

涪陵焦石坝区块页岩气井二开 Ø311.2 mm 井眼钻遇井段属海相地层, 受压实作用影响, 胶结致密、岩石硬度高, 薄层互层多、 岩性交替, 跳钻严重, 钻头受到的冲击作用强、 失效快、 易崩齿, 钻头使用效果相对较差 [7-8] 。其中以定向段钻头失效最为显著, 主要表现为:


(1)地层非均质性强, 钻头失效快。牙轮钻头定向机械钻速低, 使用寿命短, 平均使用时间仅55.42 h, 单只钻头进尺仅 86.04 m;PDC 钻头定向钻软硬交错地层时, 易崩齿, 失效快, 导致机械钻速低、钻头使用数量多。焦页 1HF 定向段长 479.78 m, 使用钻头超过 11 只, 其中使用了 9 只牙轮钻头。


(2) 前期完钻井使用的钻头型号多而杂。地层的复杂性导致钻井工程设计中的钻头选型、 钻井参数选择带有较大的盲目性和不确定性, 使用型号多达30 种, 部分型号钻头与地层的匹配性差, 破岩效率与进尺不能兼顾, 使用效果差别大。焦页 23-3HF 井钻遇浊积砂岩, PDC 钻头进尺仅 8 m 便严重磨损。


(3) 焦石坝区块采用平台式钻井, Ø311.2 mm 井眼定向段长, 方位变化大, 定向钻进过程中, 钻头倾斜与井壁接触, 导致钻头磨损严重。


上述问题的存在严重制约了 Ø311.2 mm 井眼定向段机械钻速的提高, 2013 年完钻 8 口井中Ø311.2 mm 井眼定向段平均机械钻速仅为 2.65 m/h,进尺占全井总进尺的 40% 左右, 但定向周期却占了全井总钻进周期的 60% 左右。


2 钻头选型评价方法

2.1 岩石可钻性剖面法

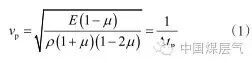
通过对剖面进行分析研究, 能够较准确地分析评价地层可钻性特征, 从而在宏观上寻找与地层可钻性相匹配的钻头类型 [9-12] 。对于均匀各向同性介质, 其声波时差与岩石物理机械特性有如下关系 [13]



式中, v p 为纵波速度, m/s;v s 为横波速度, m/s;Δt p为纵波时差, s/m;Δt s 为横波时差, s/m;E 为岩石弹性模量, MPa;μ 为泊松比;ρ 为岩石体积密度, g/cm 3 。


岩石可钻性、 研磨性等力学参数与声波时差存在一定的关系, 因此以声波时差为自变量, 分别以PDC 钻头可钻性级值 K dPDC 、 牙轮钻头可钻性级值K dcone 、 硬度 K h 、 抗压强度 S c 、 研磨性 ω 为因变量, 对数据进行回归分析, 应用数理统计方法可以获得相关可钻性曲线 [14] 。


2.2 基于虚拟强度指数的钻头性能评价方法

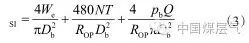
近年来, 国内外提出了采用虚拟强度指数 ( Virtualstrength index, 简称 VSI) 进行钻头选型与评价的方法, 并取得了较好的应用效果 [15] 。其表达式为


式中, V SI 为虚拟强度指数, MPa;W e 为钻头有效钻压, kN;D b 为钻头直径, m;Δp b 为钻头压力降,MPa;Q 为泥浆泵排量, L/s;η 为能量降低系数;N为钻头转速, r/min;T 为钻头扭矩, N · m;R OP 为机械钻速, m/h。


虚拟强度指数体现了钻压、 转速、 扭矩、 水力参数的综合影响, 消除了机械钻速对钻压和扭矩等参数变化的敏感性, 可定量评价钻头的使用效果。虚拟强度指数原理对机械钻速较为侧重, 但遇到“高速低效” , 即钻速高进尺少的钻头, 则不能准确反映其工作性能。钻头性能的好坏不仅表现在钻速的高低, 还应包括进尺的长短。


综合考虑地层破岩效率和进尺, 确定采用钻头性能评价指数 E 对钻头性能进行综合表征


式中, E 为钻头性能评价指数, m/MPa;L 为单只钻头进尺, m。


2.3 钻头选型流程的建立

在分析地层可钻性剖面的基础上, 结合基于虚拟强度指数的钻头性能评价方法, 优选最合理的钻头类型和型号, 即可最大限度地提高钻头与地层的匹配性。钻头选型流程见图 1。


3 现场应用

3.1 焦石坝二开定向段地层可钻性分析

根据焦页 1-2HF 井电测数据, 得到地层岩石力
学强度、 可钻性级值、 硬度、 研磨性等参数, 如图 2。



由图 2 可知, 焦石坝区块钻遇的地层属海相地层, 年代较为古老, 胶结致密、 岩石硬度高, 属于中硬 - 硬地层。茅口组 - 黄龙组地层岩性以硬脆性灰岩为主, 抗切削能力强, 抗冲击能力弱。该井段硬度超过 1 100 MPa, 研磨性大于 3.5, PDC 钻头可钻性级值在 8~10, 且区间内变化幅度相对剧烈, 地层研磨性高、 可钻性差, 不利于 PDC 钻头的使用。韩家店组以绿灰色泥岩、 粉砂质泥岩为主;小河坝组以灰色泥岩、 粉砂质泥岩为主。这 2 个地层研磨性为3~3.5, 属于较高研磨性地层, PDC 钻头可钻性级值在 4~5, 可钻性相对较好, 并且地层岩性均匀, 各参数变化幅度不大, 有利于 PDC 钻头的使用。龙马溪组以泥岩为主, 研磨性和可钻性级值并不大, 但由于该井段地层含有浊积砂岩, 相关参数变化幅度剧烈, 不利于 PDC 钻头的使用。


3.2 完钻井钻头性能评价分析

根据所钻地层特征及定向段造斜能力要求, 结合焦石坝区块前期施工钻头使用数据统计, 分地层、分井段, 对钻头使用情况进行量化评价分析, 计算结果见表 1。


茅口组-黄龙组井段除了 MSI616 钻头外,PDC 钻头地层适应性相对不高, 牙轮钻头 MD537、HJT537GK 综合性能相对较高。韩家店组和小河坝组井段主要以稳斜钻进为主, 从结果可以看出, 以MDSI616、 T1365B 钻头综合性能相对较高。


由表 1 可知, 龙马溪组地层以 MDSI616、 T1365系列和 HJT537GK 综合性能最优, 但与其他地层对比, 钻头的性能评价指数相对较低。这主要是由于该地层含有浊积砂, 钻头磨损严重, 单只钻头进尺基本在 100m 以内, PDC 钻头进尺高的优点未能较好体现(见表 2) 。


3.3 钻头选型方案

根据各层位地层可钻性级值的变化情况以及钻头使用效果评价结果, 最终确定了焦石坝Ø311.2mm井眼定向段各地层钻头推荐方案 (见表3) :茅口组-黄龙组造斜井段, 推荐使用 537 系列牙轮钻头, 提高定向过程中工具面的稳定性, 保证造斜率;韩家店组、 小河坝组地层厚度大且岩性相对稳定, 推荐使用


6 刀翼双排切削齿 PDC 钻头 MDSI616 和 T1365B,以提高钻头的稳定性和破岩效率;龙马溪组由于存在浊积砂, 考虑到该段钻穿浊积砂即中完, 厚度一般在 200 m 左右, 推荐采用 537 系列牙轮钻头, 提高钻头的使用效率。


4 应用效果分析

根据钻头优选结果, 结合地层特点, 在焦页 49-1HF 等 5 口井定向段进行了应用。现场应用表明,通过分地层优选钻头, 提高了钻头与地层的匹配性, 破岩效率大幅度增加, 5 口井平均机械钻速达到了 8.15 m/h, 与优选前相比提高了 207%;通过分地层优选钻头, 扩大了 PDC 钻头的适用井段, 平均单只钻头进尺由 145.62 m 提高到 284.82 m, 提高了 139.20 m。推荐的钻头选型方案兼顾了钻头进尺与机械钻速, 使用效果达到机械钻速大于 4 m/h、进尺超过 200 m 的钻头比例由优选前的 5% 提高到47.37%。同时, 单井平均钻头使用数量由优选前的6.6 只降低到 3.8 只, 减少了钻头的使用数量和起下钻次数, 有效缩短了钻井周期。


5 结论与认识

(1) 建立的基于地层可钻性和实钻效果的钻头选型方法, 能够定性地推荐钻头类型, 定量地评价钻头使用效果, 有效地保证了钻头优选结果的准确性。


(2) 依据地层可钻性剖面分析, 焦石坝 Ø311.2 mm井眼定向段海相地层岩石硬度属于中硬 - 硬, 地层研磨性强。茅口组 - 黄龙组和龙马溪组地层岩石力学参数变化幅度大, 非均质性突出。


(3)利用钻头选型技术, 建立了焦石坝区块Ø311.2 mm 井眼定向段地层岩石可钻性剖面, 得到了地层可钻性变化规律, 结合已钻井的钻头使用评价结果, 优选出了适合于该区块地层的钻头系列, 达到了指导生产的目的。

〔编辑 薛改珍〕


友情链接

Copyright © 2023 All Rights Reserved 版权所有 北京物流信息联盟