北京物流信息联盟

金刚石这么硬,修整成型磨钻头?别扯啦,任性没办法~就这么屌!

2021-11-30 12:17:20


点击磨具磨床磨削关注 数万人看

微信号:grinding001(←长按复制)

投稿邮箱:2105551090@qq.com

理论实践、资讯视野、分享朋友圈一起提高

视频讲解的是钻头是如何制造的!

摘要

传统意义上生产力被描述为输入和输出之间的关系。在尽可能低的投入情况下获得更大的输出。一般来讲这意 味着有两个优化策略:尽量减少投入,最大限度地输出。

在工具磨削加工过程中,砂轮的采购价和使用寿命对生产的投入起决定性的影响,尤其在费用和时问方面。每欧元磨具成本能生产出的工件越多,投人就越低。这不仅取决于砂轮的价格和使用寿命,也取决于固定的成本,例如员工的工资和每小时的机器成本。高效率的砂轮能更好地利用这些成本驱动因素,导致每个工件的固定费用下降而产量相应的增加。对于沟槽的磨削,这两个优化策略差别很大。图l表明,事实上工具的成本是随采购成本和砂轮的使用寿命而变化的,它只占沟槽磨削总成本的5%。另一方面,固定的工资成本和机器的成本占到磨削成本的90%。因此在磨削加工过程中有必要尽量减少这个比例以节省时问。


图1 沟槽加工中的成本分解

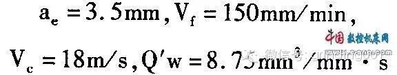
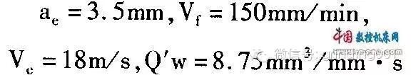
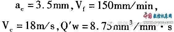
因此机床制造商们就着重于设计导轨行程较短且更为紧凑的加工设备。机床的控制系统变得更强,需要一个更快的定位。此外,事前进行模拟和虚拟三维试运行,以减少加工过程中的设置时间。总之所有这些努力都是为了减少固定成本。关于减少磨削时间的问题,这对磨具制造商也提出了同样的要求。过去通过大切深磨削,大大地提高了生产力。但是为了达到这个目的,必须降低进给速度,材料的去除率Q'w (方程l)仅稍有增加。(Q'w :以单位时间内每毫米砂轮宽度切除材料的数量来表示)


因为沟槽磨削在所有切割加工中经常出现,只能通过提高进给速度才能获得生产力的提高。不过在一般情况下,增加进给速度会导致砂轮更大的磨损。虽然这是事实,利用现代高性能的磨沟砂轮加工每个工具的砂轮磨损与较低效率的标准砂轮相比大致是相同的,这是由于较高的进给速度导致了产量的增加。正因为如此,每个班次工具的整体磨损意味着操作者如不在场往往机器就不能长时间工作,除非具有自动修整(例如金刚石修整滚轮)的成型磨砂轮,才不会影响砂轮的工作效率。

最近在磨床上进行所谓的“内部整形”的成型加工,只能适合于陶瓷结合剂系列砂轮,圣戈班磨具公司最近开发了一种特殊的树脂结合剂,也适合于这种内部成型加工。温特公司新型的Q—Flute+系列修整砂轮在高性能的沟槽磨削中显示出了优良的特性,但需要金刚石成型滚轮进行修整。事实上在磨床上整形已不再存在任何停机时间以及由夹具所造成的形位公差的错误,这样就可以增加高质量工具的产量。

金刚石砂轮的最佳整形

为了达到最佳的磨削工艺,砂轮必须有合适的磨削条件。这适用于两方面,宏观结构上来看就是整形,而从微观结构上看就是砂轮的形貌。很大程度上微观结构决定了砂轮的磨削行为(如下表)。这意味着切削力和切削温度很大程度上由微观结构决定。基于这些原因,应该尽可能把砂轮修整好。在磨削过程中,由于不可避免的刀具磨损不仅导致砂轮在微观结构上的变化,而且在宏观结构上也发生了变化。为了能够保证工件的公差以及磨削过程中的准确性,砂轮必须进行修整和清洗。修整包括整形和修锐,整形是对砂轮的几何尺寸和同心度的优化,而修锐是提高砂轮的切削能力,增加磨粒的凸出高度。在清洗过程中把残留的切屑从孔隙中清除,使该孔隙空间可以再容屑而得到充分利用。

修整表

修 整

清 洗

整形

开刃


宏观结构

微观结构

微观结构

砂轮的同心度

和轮廓

砂轮的形貌

把切屑从孔隙

中清除

改变磨粒和结合

降低结合

砂轮不会产生

任何变化


修整工具分为固定式修整器和旋转式修整器(图2)。固定式修整器分为单点修整和多点修整。单点金刚石修整器在工具的尖端只有单颗金刚石旋转式修整器具有优越性,它既可用于成型修整也可进行仿形修整。对于成型修整,砂轮的负面轮廓被成型在工具上,正面轮廓被直接复制到砂轮上,进给是在直径方向上。仿形修整具有标准的型面,进给系统是由数控系统在多个方向同时进行控制。修整结果由修整工具和冷却液确定,同时也受到其他参数的影响如接触比率Ud,修整进给速率qd以及修整进给量aed。参数对砂轮的切割性能有至关重要的影响。


图2 修整工具(左边是固定式修整器.右边是旋转式修整器)


图3 接触比示意图


接触比率

接触比率Ud是衡量砂轮与修整器在单个修整行程内接触的频率(图3)。接触比率可由下列方程汁算得出:


在这个等式中的apd是修整时的接触宽度,fad是修整进给量。在图3说明的上半部分显示了修整比率,在Ud=1这些条件下,修整进给fad对应于修整的实际宽度bd。理论修整深度Rt(或者称有效峰谷粗糙度)是由对应的修整进给量fad而产生的。通过减少修整行程,或增加接触比率,可以减少砂轮的有效粗糙度Rts。在磨削过程中,用较多的有效切削刃切除同样数量的材料可以降低工件表面的峰谷粗糙度。更大的接触比率显示在图3的下半部分。正如上文所述,接触比率会随着修整进给量的增加而下降。当接触比率Ud<1时,在砂轮的表面就形成线状结构。当接触比率Ud=1时,理论的峰谷粗糙度对应于修整进给量fad。

修整速度比率

速度比率qd描述了旋转修整器Vr周边速度对砂轮周边速度Vad之比(方程3)。前面的符号表明砂轮是否已修整到顶部切人模式,在接触点处修整器和砂轮满足未来从相反的方向,或在底部切入模式。


砂轮的形貌受到修整速度比率变化的影响相当大。修整器上磨料颗粒赋予被修整砂轮的曲线形状是由速度比率来决定的。在顺向修整时产生了外摆线,以一个陡峭的角度接触砂轮的表面(图4)。这样产生了冲击载荷,导致了脆性砂轮系统出现更大的有效峰谷粗糙度Rts,在逆向修整时情况也是如此。同时顺向修整时修整力较高,对修整器的使用寿命有负面效应。当修整速度比qd=1时,修整器和砂轮之间没有发生相对运动。在这种情况下通过切割不会发生修整,但是砂轮的边缘层会破碎。这种方法也被称为“破碎法”。在qd=0时,修整器不会移动。辊状修整器此时作为一个固定修整器。

图4修整进给量

在修整过程中第三个主要的参数是修整进给量aed。这就决定了修整器是否仅接触凸出的磨料或结合剂。修整通常在工具磨床上完成。这意味着加工过一定数量的工件后磨削过程必须中断,砂轮要在外园修整磨床上进行再次修整。通常远远不止一层的磨料要被除去。这意味着不仅砂轮的磨损量非常大,而且磨料颗粒所有的凸出部分都被摧毁。然而砂轮的磨粒凸出量越大,砂轮就越锋利。磨粒凸出得越高,就可提供更大的容屑空问,以利于冷却液的进入把切屑从磨削区冲走。由于进给速度的增加导致切屑厚度和产生的磨削热相应的增加,能够增加的最大进给量直接取决于磨粒的凸出高度。

金刚石修整系统(DDS)

圣戈班公司最近开发的产品之一就是金刚石仿形修整器,特别适合于超硬材料砂轮的修整。众所周知这种修整系统可以使金刚石砂轮直接在磨床上进行修整。当使用金刚石砂轮时该系统被称为金刚石修整系统(DDS)。在该系统之后的内部修整就是接触修整金刚石技术(TDD),按接触修整立方氮化硼(TDC)模式进行工作。这个体系中金刚石砂轮借助于CNC控制系统使用金刚石修整轧辊进行修整。因为这个修整量只有几微米,对磨粒的凸出部分没有负面影响。因此没有必要再开刃。这种修整方法具有非常精确的型面公差。从图5可以看出,金刚石修整轧辊中磨料层不是电镀在工具本身,而是按一种特定的方式,在没有任何基体支撑的情况下把金刚石分布在特别硬的金属胎体上。轧辊修整器被加工到与嵌入金刚石同样的宽度。这样可保持接触宽度不变。

由于金刚石滚轮修整器和金刚石砂轮中金刚石之间的强度没有很大的差别,超过修整滚轮的宽度时,需对要修整的相应的轮廓建立一个磨损模式。因为滚轮修整器制成的方式,这种磨损很容易得到控制。在轮廓被修整成型后,它可以保持这种形状直至该工具使用完为止。再按照上述修整的定义,仿形修整表现为宏观结构,即砂轮的轮廓和同心度。砂轮是否需要再修整,取决于金刚石砂轮所使用的结合剂系统、仿形修整的特性以及需要维持多长时间。通常采用氧化铝或碳化硅修整块进行手工开刃。由于陶瓷结合剂具有多孔性和非常脆的性质,陶瓷结合剂砂轮也需要开刃。在仿形修整过程中部分结合剂桥破裂使得磨粒出露更高,容屑空间变大。结果这类结合剂砂轮非常利于切削。而对于树脂结合剂,如果能够修整,而且修整得太强烈,只有少量的磨粒凸出,这意味着必须进行开刃。对于这种结合剂,选择修整参数必须非常准确,从而不必进行手工开刃。因为在生产过程中修整是在有冷却润滑剂的情况下进行的,因此没有必要进行砂轮清洗。

图5 利用DS修整滚轮进行修整

上文提到的,磨削过程是借助于CNC控制系统进行的,因此它可以被集成到磨削程序中。由于具有这种潜在的自动化功能,可以在生产设备上修整金刚石砂轮,从而避免工件的形位公差的错误。每一种装具方法都存在公差,因此砂轮必须是经过平衡校准过的。此外,当砂轮安装法兰后,不可避免地产生运转误差。在很大程度上内部修整可以消除这些误差。因为在内部修整时砂轮的速度对应于它的磨削速度,使用此方法可以将动态的影响减至最低。可以把工具上产生的极微细刃部崩口加工掉

可仿形切削的树脂结合剂Q—Flute+修整器

采用带柄工具进行沟槽磨削取决于所使用的树脂结合剂金刚石砂轮。通常他们不能用金刚石修整滚轮进行修整。因为在修整过程中受到力的作用使超硬材料磨粒被压到结合剂中。新开发的Q—Flute+修整器结构可以防止这一点。因此Q—Flute+修整器可以在机器上修整陶瓷结合剂金刚石砂轮。为了利用这个可修整的基本特性,首先必须进行一些测试,以建立合适的修整参数。问题是要探讨影响修整的已知参数,以建立起他们与陶瓷结合剂及树脂结合剂系统的关系。例如探讨了速度比在使用Q—Flute+修整器过程中对修整过程的影响。


图6 采用修整参数磨削固结碳化钨钻头的功率对比图修整参数:温特Ds成型滚轮/温特Q—Flute+修整器


图7 Q—Flute+修整器磨削行为对比修整参数:温特Q—Flute+修整器,ф10mm固结碳化钨钻头工件


过去在使用陶瓷结合剂系统时,采用顺向修整时砂轮的形貌可以获得更大的有效峰谷粗糙度。如果陶瓷结合剂中在超硬磨料和填充材料之间具有典型的架桥结构,就可以看出为什么会出现这种情况。因为在顺向修整时负荷垂直作用于砂轮,单个结合剂桥被破坏而暴露出新的磨料。另一方面对于树脂结合剂来讲,在逆向修整时的修整具有优势,因为切削负荷越大,结合剂将受到更强的侵蚀。在圣戈班的技术中心进行了一些试运行测试,这些测试结果表明:陶瓷结合剂系统的修整参数也适用于树脂结合剂。例如,图6显示了在逆向和顺向修整时砂轮磨削功率的对比。对比是取修整后加工的第一个钻头,参考工件都是被刚刚开刃的砂轮修磨过。差异是显而易见的。图7也证明按逆向修整时修整过的砂轮不再显示其切割锋利性。反之,砂轮一直处于高压力下工作。


1)应用类型

2)第一次修整行程

3)第二次修整行程

图8 两次内修整行程的自动磨削过程修整参数:温特Q—Flute+修整器,ф10mm固结碳化钨钻头工件


图9 不同切削刃口的质量对比修整参数:温特Q—Flute+修整器,ф10mm固结碳化钨钻头工件


在顺向修整时采用TDD方法修整时,磨粒凸出部分只是受到轻微的影响。在砂轮工作点即使仿形磨削压力小一点,砂轮也能很快通过本身自由研磨再次返回到其工作范围内。图8显示了稳定的磨削过程。在磨削过程开始前,先用氧化铝油石对砂轮开刃。在前五个钻头加工过程中,开过刃的砂轮在磨料的顶部很容易被磨损,由于摩擦力的增加导致主轴功率的增加。在第一次修整过程之后这种趋势将继续下去。在第二次五个钻头加工过程中发现砂轮仍在其工作范围,在随后的第二次修整过程中其磨削行为也没有负面影响。因此,在稍后阶段并不需要开刃。因此,任何数量的工件可进行自动修磨,而不需要另外的手动操作。根据工件的质量要求,不论是何种结合剂体系,在机器上进行修整加工都具有优越性。图9显示了内部修整明显的优点。该图显示了两次切割碳化钨钻头边缘的500倍放大图。两种钻头都是用温特公司Q—Flute+修整器在正常参数下加工而得。左边的钻头显微图是用传统的机械加工方法且砂轮是通过外修整而加工出来的。右边的显微图显示质量有明显的改善,所使用的砂轮是通过内修整的。

结论

在带柄工具的生产中,沟槽磨削过程是最消耗时间且制造成本最多的阶段。因此,当使用金刚石砂轮磨削钻头沟槽时需要较高的进给速度。为了确保高的进给速度,需要切削锋利的结合剂体系。不过,这种结合剂体系会比原来固有的结合剂磨损更大些。金刚石砂轮可以在机器上进行修整,磨损可以由集成到磨削程序中的再生过程得到补偿。由此产生了自动化生产的可能性并且提高了工具切削刃的质量。至今只有陶瓷结合剂金刚石砂轮可以在机器上进行修整。使用这种砂轮磨削时,出现磨损太多而且进给速度过低。然而最近出现了一种树脂结合剂磨沟槽砂轮,既具有较高的材料去除率又能在生产设备上进行修整。借助于此,可以在当前生产速度的条件下进行自动化生产并且工件质量也得到了提高。

收获还不转走呀!


90%的人点击下方"阅读原文"磨削原理大解析
↓↓↓

友情链接

Copyright © 2023 All Rights Reserved 版权所有 北京物流信息联盟