2022-05-12 14:58:51
报告日期: 2017年12月6日
★主要结论
本文基于我们上一篇局部波动率模型期权定价报告,继续探讨其在场外期权上的定价与对冲效果。波动率曲面构建方面,我们采用SVI参数法,基于场内期权隐含波动率的离散数据构建完整的隐含波动率曲面,探讨其在上证50ETF单边障碍期权、白糖与豆粕普通期权上的动态对冲效率。Delta对冲操作是基于日内1min价格变动,通过预先设定调仓的阈值进行组合头寸调整,跟踪对冲损益,并对临近到期的反式击出期权边界附近的进行特殊调仓处理,防止其Delta快速变化产生高额交易成本。此外,我们对障碍期权静态对冲进行了探讨,以击出期权为例构建静态对冲组合。
对于标的为上证50ETF的单边障碍期权,基于两年样本区间的动态对冲总损益百分比统计分析显示,SVI波动率模型较BS常数波动率模型在均值、各分位数上更优,且Wilcoxon检验大多在0.05的置信水平上显著,对冲交易的换手率均处于合理的范围,说明我们边界处理方法是有效的。 对于击出期权的静态对冲组合,在不进行调仓的情况下,其盯市价格与击出期权理论价格间存在一定误差并日间的产生较大跳变,仍需将剩余风险进行动态管理。
商品期权方面,白糖与豆粕美式期权基于5个月的样本区间的对冲统计结果显示,SVI波动率模型较BS常数波动率模型在均值、各分位数上更优,且Wilcoxon检验在0.01的置信水平上显著。
★风险提示
模型拟合结果不稳定,模型价格与市场价格发生较大偏离。
★致谢
感谢东方证券研究所首席金工分析师朱剑涛老师的指导与帮助。
根据国际清算银行(BIS)的统计,截至2016年底,全球场外衍生品名义本金约为482.9万亿美金,其中主要为利率和外汇产品,分别占比76.28%和14.21%,股权与商品类分别占比1.27%和0.28%。2008年金融危机之后,全球衍生品总量由一定的下滑,其中利率类衍生品总量先增后降,外汇类、权益类变动不大,商品场外衍生品总额有一定程度的下滑,以CDS下降最为显著。总市值方面,2016年底全球场外衍生品总市值达到约15.0万亿美金,其中权益类总市值为0.47万亿美金,约占3.15%,商品类总市值占比约1.09%。
场外期权方面,截至2016年底,全球场外期权名义本金总额约为46.7万亿美金,约占全球场外衍生品名义本金总量的9.7%,其中利率类期权占比最高,约为68.98%,外汇期权占比22.44%,股权类占比7.73%,商品场外期权约占0.84%。
全球场外期权的期限主要以短期为主,场外期权总量上期限小于1的占比约为47.38%,在利率、外汇和权益类场外期权中,利率类场外期权期限较长,以1至5年为主,外汇类期权期限最短,约83.9%的合约期限在1年以内,权益类场外期权适中,66.21%的期限小于1年,29.44%的合约期限大于5年。
我国场外衍生品市场方面,2017年场外期权月度新增交易数目与新增名义本金也快速上涨。根据中国证券业协会发布的场外业务报告,本年8月份,我国场外权益类衍生品新增名义本金1202.25亿元,其中期权业务新增1796笔,约为983.37亿元,月末未了结名义本金约为4580.09亿元,本年累计新增期权业务7791笔,约为3049.68亿元。
场外期权标的主要包括A股股指(沪深300、中证500、上证50)、A股个股、黄金期现货,以及境外标的。其中,8月新增期权合约中,A股股指名义本金、期权费分别占比22.84%、10.56%;A股个股名义本金、期权费占比21.84%和76.45%,黄金期现货名义本金、期权费占比2.65%和0.28%,其他期现货名义本金、期权费占比47.49%和0.6%。
场外期权在我国衍生品市场中的地位与发展空间越来越亮眼,而对冲效率对场外期权业务成本与报价的市场竞争力有重要影响。在本篇报告中我们将探讨局部波动率模型、期权定价的二叉树模型在场外期权上的定价与对冲效果。波动率曲面构建方面,我们采用SVI模型,基于场内期权隐含波动率的离散数据构建完整的隐含波动率曲面,探讨其在上证50ETF单边障碍期权、白糖与豆粕普通期权上的动态对冲效率。
进行场外期权的定价,首先要对波动率进行估计,对于已经具有相应的场内期权的场外期权,我们可以通过场内期权市场价格反算隐含波动率,基于这些离散的隐含波动率点估计场外期权定价所需的波动率参数。目前业界常用的方法是基于BS模型隐含波动率为常数的假设估计模型价与市场价误差平方和最小的波动率值,进而用于场外期权的定价与对冲。而实际上,隐含波动率随行权价与到期日的变化而呈现微笑或倾斜的状态,基于常数模型率估计进行定价与对冲效率较低,无法反映场内期权市场不同行权价与期限的隐含波动率结构,即市场对期权隐含波动率的完整预期。在《局部波动率模型期权定价实证研究》这篇研究报告中,我们将SVI模型(Stochastic Volatility Inspired Model)引入50ETF期权进行实证研究,并成功基于场内期权隐含波动率拟合出与实际相符的隐含波动率曲面,在场内动态对冲上取得显著优于BS常数波动率模型的结果。SVI模型实施的具体方法也在上篇报告中有详细说明,在此仅做简述。
SVI模型的原理是基于市场数据进行SVI表达式的参数优化,其刻画了期权的隐含方差(Implied Variance)对期权虚实值程度(Forward log-moneyness)的微笑曲线,可以通过参数灵活的取值对方差的总体水平、左右渐近线角度、顶点的平滑程度、曲线的方向以及曲线在水平方向上的位置进行调整,得到符合市场实际情况的隐含波动率曲线。我们在《局部波动率模型期权定价实证研究》这篇研究报告中指出,采用Quasi-Explicit优化法,将SVI模型进行参数降维,将原始的含有5个参数的非线性优化问题分成内层优化与外层优化两部分,大幅提高了运算效率与参数拟合的稳定性。其中,内层优化的目标函数为
我们使用SVI模型,基于2017年8月3日的认沽与认购期权收盘价数据,分别进行拟合,通过优化SVI参数表达式,我们可以得到认沽与认购期权四个不同到期日的隐含波动率曲线,再将其进行线性插值构造完整的隐含波动率曲面,如图表14-15所示,隐含波动率曲面微笑的现象非常明显。
在商品期权方面同样采用SVI模型,以2017年8月3日的收盘数据为例,构造豆粕期权与白糖期权认购、认沽期权隐含波动率曲面,由于商品期权交易量不大,非主力、次主力期货合约对应的期权交易量非常之少,我们仅选取主力与次主力两个合约构造隐含波动率曲面。豆粕期权(图表16-17)与白糖期权(图表18-19)隐含波动率曲面相比50ETF期权在不同行权价上变化的范围较窄,但曲面形状亦较为明显。
在完成SVI模型隐含波动率曲面的构建或BS常数波动率模型隐含波动率估计之后,我们要进行期权定价方法的选择,之前的报告因为只涉及简单的欧式期权,我们采用的是解析解法。而本文将对不同类型的场外期权进行定价与对冲,包括欧式、美式,以及部分奇异期权,我们采用二叉树的数值法进行期权的定价与希腊值计算。基于二叉树的数值法的优势在于其可以为美式期权以及收益结构复杂的奇异期权提供有效地定价与Greeks计算,并且相对于Monte Carlo模拟效率要高很多,一般情况下Monte Carlo模拟在处理非常复杂包含对历史路径依赖的收益结构时才使用,其计算效率最低。
4.1、障碍期权收益与风险结构
常规边界期权是最常见的单边触碰障碍期权,包括跌出买权(down and out call)、跌入买权(down and in call)、涨出卖权(up and out put)、涨入卖权(up and in put)四种,击出期权触发价的设置使期权在虚值时失效,这简化了触发条件。反式边界期权触发价的设置使期权在实值时失效,因此导致其价值在边界的两边出现巨大差异,其交易难度和风险也相对常规期权较高。图表21中包括不同类型单边障碍期权的分类与基本特征描述。本文中我们以欧式买权为例,针对两种常规买权和两种反式买权,进行基于SVI模型隐含波动率曲面的定价与Greeks分析,以及对冲实证研究。
(1)反式击出期权(单鲨型障碍期权)
反式击出期权(reverse knock-out option)的障碍价格位于期权实值部位,即涨出买权(up-and-out call,UOC),或跌出卖权(down-and-out put,DOP)。以涨出买权为例,其在期权有效期内,当标的价格最大值大于等于障碍时期权价值为零,反之期权具有欧式看涨期权收益结构,定价公式如下:
从中证场外衍生品报价系统取得单鲨型障碍期权的两个示例,其行权价为期权生效日标的价格的100%,对于看涨期权当标的收盘价上涨超出115%(看跌期权标的跌出85%)的触发价时期权失效。
以行权价为2.6,触发价为2.8的涨出买权和行权价为2.8,触发价为2.6的跌出卖权为例,基于2017年8月3日隐含波动率曲面,图表23至图表28展示了其价格、Delta、Gamma随标的价格变化的变化情况。随到期期限缩短,涨出买权的价格临近触发价时变动幅度加大,临近触发价时,期权的Delta也由正转负,并随到期日的缩短变化速度增大,到期日在一周之内临近触发价时期权的Delta、Gamma都出现即为夸张的表现,这为我们的动态对冲带来一定的困难,我们在对冲实证过程中对临近到期的期权在触发值附近的对冲组合调仓做出专门的处理。
(2)其他单边障碍期权类型
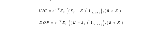
除反式击出期权外,普通单边障碍期权还包括反式击出期权,普通击出、击入期权。反式击入期权的障碍价格同样是在期权的实值部位,即涨入买权(up-and-in call,UIC)与跌入卖权(down-and-in put,DOP),其定价公式为:
反式击入期权同样会出现到期日临近时,标的价格接近障碍时期权价格、Delta、Gamma快速变化的情况,对Delta动态对冲造成一定的难度。以行权价为2.6,触发价为2.8的反式击入买权为例,图表29至图表30展示了其Delta与Gamma在随到期日临近的变化状态。
普通击入击出期权的障碍价格在其虚值部位,包括跌入买权(down-and-in call)、涨入卖权(up-and-in put)、跌出买权(down-and-out call)、涨出卖权(up-and-out put)。普通击入击出期权的风险较反式障碍期权小,因障碍价格在期权虚值部位,临近到期不会出现靠近障碍价格期权的价格、Delta等快速变化的现象。以行权价为2.8,障碍价格为2.6的跌入买权为例,图表31至图表32展示了其Delta与Gamma在随到期日临近的变化状态。
4.2、Delta动态对冲方法
(1)障碍价格附近的调仓处理
对于反式期权,在距到期日一周之内,临近障碍价格时Delta的变动幅度很大,当标的价格反复接近障碍价格的情况下会产生较多的交易费用,但对于敲出期权的卖方当标的较为接近障碍价格时其风险敞口潜在的提高幅度已经很小。我们采用这样的方法处理敲出边界情况,对于距到期日一周之内的反式击出期权(单鲨障碍期权),以1%为界限,对于涨出买权,当标的价格低于障碍价格1%以内,不再增加对冲组合的仓位;对于跌出卖权,当标的价格高于障碍价格1%以内,不再增加对冲组合的仓位。而对于反式击入期权,当标的较为接近障碍价格时其风险敞口潜在的提高幅度很大,限制对冲仓位是不明智的,可能导致严重的单次损失,我们采用实际Delta进行对冲不采取仓位限制。
(2)Delta动态对冲的步骤
我们参考Bakshi(1997)期权动态对冲的做法构建对冲头寸,从2015年9月1日至2017年6月1日,每日新建当日生效期限为3个月的障碍期权,所包含的障碍类型与触发价区间由图表22所示。对于每个障碍期权,采用Delta动态对冲的方法构造复制组合,对卖出障碍期权头寸进行对冲。从第一个期权生效至最后一个期权到期,我们对冲实证研究的历史时间区间为2年,基于每日的场内期权收盘价数据计算隐含波动率,通过SVI模型拟合隐含波动率曲面,以及在BS模型常熟波动率假设下计算使总误差最小的常数波动率估计。动态对冲过程是基于日内1分钟数据,关注日内标的价格的实时变化,同时也控制调仓频率,并对障碍期权标的临近触发价时的特定情况在调仓方面做一定处理,以免因为对冲组合过度的开平仓带来较高的对冲成本。
4.3、Delta动态对冲结果
动态对冲的实证部分,我们设计单边障碍期权如图表33所示,每种障碍期权包含三个不同的障碍价格。从2015年9月至2017年6月,每日构建相应的障碍期权,从2015年9月第一个期权生效至2017年9月最后一个期权到期,基于日内1min数据进行动态监测与对冲组合的仓位调整。对冲过程中我们使用两种波动率模型,一是基于SVI模型构建的隐含波动率曲面,二是基于BS模型常数波动率假设推算得到的总误差最小的常数模型率估计,并分析两种波动率模型下的动态对冲总损益。
正如前文对障碍期权收益与风险结构部分的分析中提到,反式击出期权的交易难度和风险都是较高的,对冲方面,其障碍价格附近Delta变化剧烈给动态对冲带来了一定的难度,我们通过上文中障碍价格附近的调仓处理,选择在距到期日一周之内临近敲出价格时留出一定敞口,避免在障碍价格附近频繁调仓。
基于两年的样本区间,对障碍期权动态对冲结果样本进行统计分析,进而比较两种模型的结果。我们对样本结果进行均值、中位数以及25%、75%分位数的展示,并通过Wilcoxon检验两种模型的结果差异是否显著。Wilcoxon检验是一种非参数检验方法,即不比较总体参数只比较总体分布的位置是否相同,当样本分布不符合正态分布时,用来代替t检验。样本动态对冲结果的分布明显具有左偏的形态不符合正态分布,可以由均值、分位数统计结果看出,因而t检验也会失效,我们在此采用Wilcoxon检验。
由图表34至图表36所示,基于SVI波动率模型与BS常数波动率模型对上述障碍期权进行Delta动态对冲,样本统计分析结果显示:1)从样本均值、中位数等统计结果可以看出基于SVI波动率模型的对冲效果较BS常数波动率更优;2)Wilcoxon检验的p值结果显示,在0.05的显著性水平下,大部分障碍期权类型样本检验结果拒绝两组样本总体分布相同的原假设,认为SVI模型对冲结果相对BS模型的优势是统计显著的;3)换手率方面,反式击出障碍期权换手率高于普通击出期权,这与我们前文对反式障碍期权边界Delta变化的分析一致,我们对反式敲出期权边界条件的特殊处理使得其换手率控制在合理范围内。
此外,我们可以看到,从均值或中位数来看,除涨出买权之外,其他类型的障碍期权总损益的百分比均为正数,看跌期权普遍高于看涨期权,首先,样本期内50ETF大多处于上涨期,买权的边界比卖权更容易接近或穿越;其次,为统一两个模型对冲损益的度量标准,并避免出现因个别时点隐含波动率过低产生期权初始价值过低而产生异常损益百分比的结果,我们对两个模型采用统一的初始期权价值,即SVI模型与BS模型对期权初始定价结果的最大值,由此造成的期权定价偏高可能是产生普遍的正对冲损益的原因,但即便如此我们所用的期初模型价值仍远小于市场上障碍期权的一般报价。
4.4、静态对冲组合构建
欧式奇异期权的收益函数(payoff)是分段式的仿射函数,可以通过一系列普通认沽认购期构造其复制组合。奇异期权的直接静态对冲基于Carr(1994)提出的买卖权的对称性原理(Put Call Symmetry),对称原理在海外期权交易中已有较长的实践经验,假设没有偏度的情况下,其做法是基于远期找到一个对称的等价行权价与其风险相匹配。计算对称行权价的具体方法如下:
Nassim Taleb(1996)指出,以行权价的平方根的比例构造多空组合可以提供零Gamma和零Vega,在一个Delta中性的结构中,买卖权对称性可以实现低于三阶矩的中性。当然,这是一个较为理论化的结论,实际上交易过程中,买卖权对称性可能具有一定的不稳定性,在海外市场,静态对冲方法是被业界广为接受的,毕竟完美的对冲总是不存在的,静态对冲方法较动态对冲方法还是可以节约不少交易成本。
基于上证50ETF,我们以击出买权为例对静态对冲的步骤进行详细解释。我们构建跌出障碍买权基本信息入下,设置行权价为2.495与生效日标的收盘价临近,到期日为当月50ETF期权当月合约到期日的前一天,简化了构建组合的情形,若障碍期权到期日不存在相同月份的场内期权合约则静态对冲的复制组合在临近到期日时会发生较大的价值偏离。
基于静态对冲原理,场内期权构造近似复制组合的步骤如下:
基于上述静态对冲方案,采用障碍期权生效当日的波动率计算,在不同的标的价格下,静态对冲复制组合复制组合的价值,以及静态对冲组合的理论对冲误差。
在障碍期权的生效期内,在对静态对冲组合进行调仓的前提下,我们基于每日实际收盘价格计算静态对冲组合的价格与对冲损益,实际对冲误差的计算方法为,以收盘价计算的复制组合价格与基于当日波动率计算的障碍期权价值之差占初始障碍期权价值的百分比。
在障碍期权有效期内,我们看到静态对冲组合实际误差较大并在日间产生很大的跳变,其原因主要是,隐含波动率曲面偏度不为零,导致基于对称性原理构建的静态组合存在偏差;其次是由于收市场交易情绪的影响期权收盘价格存在一定程度的偏离是正常情况 ;随市场情况的变化,静态对冲组合也需要进行相应的仓位调整,或将剩余风险敞口通过动态对冲进行处理,预计会有助于提升对冲效果。
采用静态对冲的方法使用相应的场内期权构造投资组合理论上是Delta中性、Gamma中性与Voga中性的。考虑到国内不管是50ETF期权还是商品期权,行权价、到期日较少而构造静态对冲组合的困难较大,若可找到合适的行权价可以此作为动态对冲的补充。
5.1、Delta动态对冲方法
商品方面,目前场内有白糖期权和豆粕期权的欧式期权,我们设计商品场外期权如图表42所示,从2017年4月至2017年6月,每日构建相应的障碍期权,从2017年4月第一个期权生效至2017年9月最后一个期权到期,基于日内1min数据进行动态监测与对冲组合的仓位调整。我们通过场内期权隐含波动率数据使用SVI模型构造波动率曲面,并与通过BS常数波动率模型进行对比分析。
商品期权Delta对冲的基本假设与调仓条件如下:
i. 交易成本为万分之二;
ii. 杠杆率为1.0;
iii. 对冲组合资金盈余的利息收入为3%,资金占用的利息费用为6%。
iv. 调仓条件为:基于日内1min数据距上次调仓标价格变动超过标的价格的5%则进行调仓,若日内未调仓则按收盘价调仓。
除此之外,不存在边界条件的处理,Delta动态对冲基本方法与上文基于50ETF的场外期权基本一致。
5.2、Delta动态对冲结果
对于豆粕与白糖场外期权,从图表43所示Delta动态对冲结果可以看出,基于SVI模型的对冲损益的均值、中位数、各分位数等统计结果均好于BS模型。对于豆粕期权,在杠杆率为1.0的情况下,基于SVI模型隐含波动率曲面的平均对冲总损益占期初期权价值的百分比约为-5%左右,高于BS常数波动率模型的-8%,并且在0.01的显著性下,Wilcoxon检验的结果拒绝原假设,认为两组数据结果的总体分布位置不同,说明了SVI模型优于BS模型的统计显著性。对于白糖期权,在杠杆率为1.0的情况下,基于SVI模型隐含波动率曲面的平均对冲总损益占期初期权价值的百分比约为-7%左右,高于BS常数波动率模型的-14%,同样,Wilcoxon检验结果显示,SVI模型相对BS模型的优势是显著的。
(1)上证50ETF标的的单边障碍期权动态对冲结果
对于标的为上证50ETF的反式击出、反式击入等不同类型与障碍类型的障碍期权,从2015年9月至2017年6月,每日构建相应的障碍期权,从2015年9月第一个期权生效至2017年9月最后一个期权到期,分别采用SVI波动率模型与BS常数波动率模型,基于日内1min数据进行动态监测、调整仓位,并对临近到期日标的价格接近触发价的反式击出期权进行特定仓位管理。动态对冲结果的样本统计分析结论如下:
从样本均值、中位数等统计结果可以看出基于SVI波动率模型的对冲效果较BS常数波动率更优;
Wilcoxon检验的p值结果显示,在0.05的显著性水平,大部分障碍期权类型样本检验结果拒绝两组样本总体分布相同的原假设,认为SVI模型对冲结果相对BS模型的优势是统计显著的(个别触发价的Wilcoxon检验结果在0.1的水平上显著);
换手率方面,反式击出障碍期权换手率高于普通击出期权,这与我们前文对反式障碍期权边界Delta变化的分析一致,我们对反式敲出期权边界条件的特殊处理使得其换手率控制在合理范围内。
(2)上证50ETF标的的单边障碍期权静态对冲结果
基于买卖权的对称性原理(Put Call Symmetry)构建击出期权的静态对冲组合,静态对冲组合由场内期权构成,该组合在偏度为零的假设下,理论上是Delta中性、Gamma中性与Voga中性的。在不进行调仓的情况下,我们按照每日收盘价格计算静态组合的每日盯市价格并比较其与障碍期权理论价值的偏离度,我们观测到的静态对冲组合实际误差较大并在日间产生较大的跳变,需将剩余风险敞口进行动态对冲。
(3)白糖、豆粕期货标的的普通美式期权动态对冲结果
基于SVI波动率模型与BS常数波动率模型对从样本区间为2017年4月至2017年9月的白糖与豆粕普通美式期权进行Delta动态对冲,基于日内1min数据进行动态监测与对冲组合的仓位调整。动态对冲结果的样本统计分析结论如下:
对于白糖普通美式期权,从样本均值、中位数等统计结果可以看出基于SVI波动率模型的对冲效果较BS常数波动率更优,并且Wilcoxon检验结果在0.01的水平上显著;
对于豆粕普通美式期权,同样基于SVI波动率模型的对冲效果较BS常数波动率更优,并且Wilcoxon检验结果在0.01的水平上显著。
1) Nassim Nicholas Taleb, Dynamic Hedging: Managing Vanilla and Exotic Options. Wiley, 1997.
2) Bakshi,G., Cao C., Chen Z., Empirical Performance of Alternative Option Pricing Models. The journal of finance, VOL. LII, NO. 5 . December 1997.
3) Gatheral, J. A parsimonious arbitrage-free implied volatility parameterization with application to the valuation of volatility derivatives. Presentation at Global Derivatives & Risk Management, Madrid, 2004.
4) Gatheral, J., Jacquier, A. Arbitrage-free SVI volatility surfaces. Quantitative Finance, 14(1):59 - 71, 2014.
5) Gatheral, J. The Volatility Surface: A Practitioner's Guide. Wiley Finance, 2006.
6) Durrleman, V. A note on initial volatility surface. Unpublished, February 2003.
7) Fengler, R. Arbitrage-Free Smoothing of the Implied Volatility Surface. Quantitative Finance, 9(4):417-428, 2009.
8) Gatheral, J., Jacquier, A. Convergence of Heston to SVI. Quantitative Finance, 11 (8):1129 - 1132, 2011.
9) Zeliade Systems. Quasi-explicit calibration of Gatheral's SVI model. Zeliade White Papers, 2009.
10) Leursen, M.A., Le Riche, R. Globalized Nelder-Mead method for engineering optimization. Computers & Structures, 82(23-26):2251 - 2260, 2004.
模型拟合结果不稳定,模型价格与市场价格发生较大偏离。
王冬黎 高级分析师(金融工程)
从业资格号: F3032817
Email: dongli.wang@orientfutures.com
免责声明
本报告由上海东证期货有限公司(以下简称“本公司”)制作及发布。
本研究报告仅供本公司的客户使用。本公司不会因接收人收到本报告而视其为本公司的当然客户。
本研究报告是基于本公司认为可靠的且目前已公开的信息撰写,本公司力求但不保证该信息的准确性和完整性,客户也不应该认为该信息是准确和完整的。同时,本公司不保证文中观点或陈述不会发生任何变更,在不同时期,本公司可发出与本报告所载资料、意见及推测不一致的报告。本公司会适时更新我们的研究,但可能会因某些规定而无法做到。除了一些定期出版的报告之外,绝大多数研究报告是在分析师认为适当的时候不定期地发布。
在任何情况下,本报告中的信息或所表述的意见并不构成对任何人的投资建议,也没有考虑到个别客户特殊的投资目标、财务状况或需求。客户应考虑本报告中的任何意见或建议是否符合其特定状况,若有必要应寻求专家意见。本报告所载的资料、工具、意见及推测只提供给客户作参考之用,并非作为或被视为出售或购买投资标的的邀请或向人作出邀请。
在任何情况下,本公司不对任何人因使用本报告中的任何内容所引致的任何损失负任何责任,投资者需自行承担风险。
本报告主要以电子版形式分发,间或也会辅以印刷品形式分发,所有报告版权均归本公司所有。未经本公司事先书面授权,任何机构或个人不得以任何形式复制、转发或公开传播本报告的全部或部分内容,不得将报告内容作为诉讼、仲裁、传媒所引用之证明或依据,不得用于营利或用于未经允许的其它用途。
如需引用、刊发或转载本报告,需注明出处为东证衍生品研究院,且不得对本报告进行任何有悖原意的引用、删节和修改。
相关推荐
友情链接
Copyright © 2023 All Rights Reserved 版权所有 北京物流信息联盟
