北京物流信息联盟

今年炒股不如买基金,“优选50”教你做老司“基”

2022-07-04 15:42:15

点击蓝字关注我们

,其中,偏股基金18只,偏债基金12只,被动指数型基金3只,增强指数型3只,QDII型基金10只,货币型基金3只。

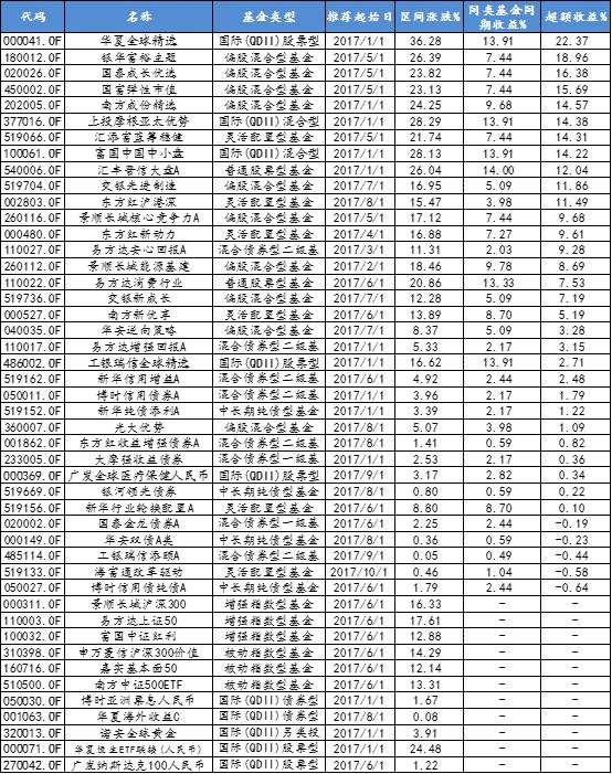
1  “优选50”推荐以来收益情况

由于市场上不同货币型基金之间的收益差异不大,因此选择本月“优选50”中除货币型基金以外的其他基金,统计其推荐日至今以来所获收益(如图中“区间涨跌%”列),以及同类基金同期收益(%),得出:

1.    所有“优选50”基金自推荐起始日以来,全部获取正收益

2.    从区间涨跌幅来看,偏股混合型基金、QDII股票型基金、QDII混合型基金表现较好。华夏全球精选、上投摩根亚太优势和富国中国中小盘是展恒今年重点推荐的三只QDII型基金,分别投资于全球、亚太地区和中国香港地区股票市场,自年初推荐以来,涨幅分别为36.28%、28.29%和28.13%。银华富裕主题、汇添富蓝筹稳健、易方达消费行业、国富弹性市值、国泰成长优选、和南方成份精选,自五月份推荐以来,收益均在20%以上。前3只偏股型基金主要投资于大盘蓝筹股票,前两季度涨势强悍;后2只偏股型基金主要投资于中盘成长型股票,在第三季度大幅上涨;国富弹性市值的投资方向较为均衡,涨幅持续上升。

3.    从超额收益(即区间收益与同类基金同期收益之差)来看,九成基金的区间收益高于同类同期平均收益。50%的“优选50”偏股基金获得超过10%的超额收益,三分之二的“优选50”偏债基金获得正超额收益,另外几只偏债型基金调入时间较短,后期博反弹能力较强,会在今年第四季度有所表现。偏债型基金主要选择重仓高信用等级债券、杠杆比例控制在一定范围内、重仓债券久期适中的债基,帮助投资者在尽量不亏损的基础上获取收益。

4.    今年6月份,展恒基金调入了8只跟踪不同指数的被动指数型基金和增强指数型基金,跟踪的指数分别为沪深300、上证50、中证500、香港恒生指数和美国纳斯达克指数,基本均获得10%以上的收益,投资者可选择对其进行长期定投。

数据来源:展恒研究中心

数据截止日期:2017年10月23日

2 “优选50”风险调整后收益情况

对于“最大回撤”、“收益标准差”和“下行风险”,将偏股基金或偏债基金或QDII型基金的前五名标红色,将偏股基金或偏债基金或QDII型基金的第6—10名标蓝色,排名越靠前,代表该基金的风险越低。对于夏普比率,将全部基金的前10名标红色,将全部基金的第11—20名标蓝色。根据下图数据得出:

1.    相对来说,新华纯债添利A、景顺长城能源基建、银河领先债券和东方红沪港深的风险调整后收益(用夏普比率表示)较高,这四只基金对应的风险也较低。

2.    债基的最大回撤控制得不错。纯债型和混债一级基金的回撤基本在0.50%以内,混债二级基金受股市影响,最大回撤在2%—3%之间,是大部分投资者可以接受的正常范围。

3.    中小盘股票仓位较大的股基回撤较大,波动率相对也较大。比如,华安逆向策略、南方中证500ETF、新华行业轮换配置A、交银先进制造等,这类基金推荐投资者进行长期定投。

数据来源:展恒研究中心

数据区间:2017年1月1日—2017年10月23日

3 “优选50”综合情况

对全市场的基金按类型从综合业绩(不同时期的业绩)、综合风控(不同时期的风险)、基金经理和基金公司四个方面进行评分,“优选50”中股基和债基的评分如下图。

1.    “优选50”中股基和债基的业绩、基金经理和基金公司得分均远超市场平均(市场平均处于50分—55分区间)。综合风控得分相对较低,一般情况下,收益能力强的基金,风控得分均较低,属正常现象。股基的业绩得分较高,债基的风控得分较高。

2.    “优选50”基金的基金公司综合水平全部位列前30%,排名靠前的基金团队具备优秀强大的投研能力。

3.    “优选50”基金业绩得分绝大部分高于70分,相较全市场基金,属于“优秀”行列。

4.    特殊情况有:南方成分精选的基金经理由于上任不满2两年,基金经理得分很低,但其借助公司优秀的投研能力使得该基金获利能力和风控能力均优于同类绝大部分基金。东方红收益增强债券A成立较晚(2015年11月),因此对综合业绩和综合风控方面有所拖累,另外,东方红资管的股基表现优于债基表现,因此在债基中,其基金公司得分不是很高。

数据来源:展恒研究中心

数据截止日期: 2017年10月23日

4 “优选50”组合收益

针对五个不同风险等级的投资者(保守型、稳健型、平衡型、成长型、进取型),今年年中,展恒基金研究中心从历月“优选50”优质基金池中再次精选基金,组成五个不同风险等级的公募基金组合(FOF),列表如下:

五个组合的收益如下图1-5,展恒基金APP上可以一键购买相应的组合。

图1 保守型公募基金组合收益

数据来源:展恒研究中心

数据截止日期: 2017年10月23日

图2 稳健型公募基金组合收益

数据来源:展恒研究中心

数据截止日期: 2017年10月23日

保守型组合和稳健型组合中货基和债基仓位占比很重,因此以中证综合债为比较基准。

图3 平衡型公募基金组合收益

数据来源:展恒研究中心

数据截止日期: 2017年10月23日

平衡型组合中股基、债基配置均匀,因此其比较基准处于沪深300和中证综合债之间,而平衡型组合的收益逼近沪深300,说明其以较低的风险获得了相当高的收益。

图4 成长型公募基金组合收益

数据来源:展恒研究中心

数据截止日期: 2017年10月23日

图5 进取型公募基金组合收益

数据来源:展恒研究中心

数据截止日期: 2017年10月23日

成长型组合和进取型组合中股基配置多于债基配置,两个组合的收益亦遥遥于沪深300,尤其是进取型组合,今年以来收益超越40%。推荐风险承受能力较高的投资者持有,以博取高额收益。


“也许你还想看

年度专题

【年度专题】2017年展恒投资策略报告篇(一)  宏观经济回顾

【年度专题】2017年展恒投资策略报告篇(二) 宏观经济回顾

【年度专题】2017年展恒投资策略报告篇(三) 货币政策回顾

【年度专题】2017年展恒投资策略报告篇(四) 外围市场及基础市场回顾

【年度专题】2017年展恒投资策略报告篇(五)后续市场展望及公募基金操作建议

基金课堂

【基金课堂】中小投资者玩转ETF的正确姿势

【基金讲堂】原来这样的基金最适合基金定投

【基金课堂】定投常见问题:周投和月投,哪个更好?

【基金小课堂】不会挑选量化基金?感觉又错过了几十亿

【基金小课堂】2017年-投资基金要做哪些准备?


热点

吃饭买东西被拒收现金?没事,央妈替你出气!

市场大跌后,是时候考虑军工板块的基金了

全球股市集体暴跌,背后原因多重复杂

灾后重建,大佬慷慨解囊,基建、医药概念股飘红

银行业深度报告:2017面临三稳局面,资产质量压力犹存

人民币温和升值,外资疯狂冲向中国市场

FOF

【FOF系列报告】FOF投资标的之偏股型基金

【FOF系列报告】FOF投资标的之债券型基金

【FOF前沿】深度|展恒基金公募FOF研究体系-基金评价与筛选

【FOF前沿】深度|展恒基金公募FOF研究体系-资产配置方法与产品(一)

【FOF前沿】深度|展恒基金公募FOF研究体系-资产配置方法与产品(二)

【FOF前沿】深度|展恒基金公募FOF研究体系-资产配置方法与产品(三)

【FOF前沿】深度|展恒基金公募FOF研究体系-资产配置方法与产品(四)完结篇




About 展恒

展恒基金凭借专业的研究团队及强大的投研实力,对商业银行需求进行深入研究,为商业银行提供全面的金融服务。服务涵盖公募基金业务培训、研究与营销推广支持及资产管理业务对接等。通过丰富的基金产品线,增强银行的盈利能力,全方位提升银行影响力及专业性。




说明

投资者评级说明

(1)保守型投资者:投资者意愿承担的风险小于20,即0-20;

(2)稳健型投资者:投资者意愿承担的风险在20-40之间;

(3)平衡型投资者:投资者意愿承担的风险在40-60之间;

(4)成长型投资者:投资者意愿承担的风险在60-80之间;

(5)进取型投资者:投资者意愿承担的风险大于80,即80-100。


免责声明

本报告中的信息均来源于展恒基金认为可靠的公开可获得资料,但对这些资料或数据的准确性、完整性和正确性展恒基金不做任何保证,据此投资责任自负。本报告不构成个人投资建议,也没有考虑到个别客户特殊的投资目标、财务状况或需要。客户应考虑本报告中的任何意见或建议是否符合其特定状况。本报告仅向特定客户传送,未经展恒基金授权许可,不得以任何方式复印、传送或出版,否则均可能承担法律责任。就本报告内容及其中可能出现的任何错误、疏忽、误解或其他不确定之处,展恒基金不承担任何法律责任。



友情链接

Copyright © 2023 All Rights Reserved 版权所有 北京物流信息联盟