北京物流信息联盟

聊聊参同契(三):京房体系

2022-01-14 08:04:16

不少人相信,这个世界的一切都是随机的,这世间的万事万物,通过大量无序而随机的运动,事物间发生种种变化,最后交织在了一起,构成了这个宇宙。


佛家虽然不关心这个世界是哪里来的,然而对现实也有一番自己的解释,称之为缘起性空,认为在世间上没有独存性的东西,也没有常住不变的东西,一切都是因缘和合所生起。


简而言之,随机构成了这个世界,所以一切都应该是随机的。


然而,如果取一个盆子,扔到地上摔破,会破碎成很多块,再扔一块盆子,同样会如此。


每个盘子破碎后形成的碎片,相比较的话,它们都是不同的,由于产生一模一样的碎片的概率太小了,所以即使摔上几万个盘子,也未必能够找到一模一样的碎片。


这是世间随机性的一种体现。


然而,如果你将每个盘子的碎片都记录下来的话,无论是它的大小,还是它的重量,会发现它们都会呈一个比率关系。


然后你将每个盘子的碎片都计算一下的话,会发现它们构成的比率竟然是相同的。


于是你发现从你的书柜上随便抽出一本书,上面文字数量分布,同样会符合这个比率。


更进一步的,你计算机上的文件大小比率分布,全世界所有国家的姓氏分布,整个地球上的地震位置的分布,所有种类生物中的各类数量的分布,统统都符合这个分布。


即便是你从沉思抬头望向天空时,宇宙中行星碎片的数量,仍然会符合这个分布。


它名叫幂律分布,无处不在。


幂律公式的一般形式是这样的:


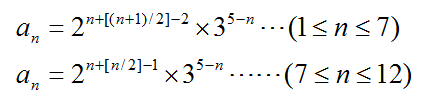
史上记载京房觉得更古的十二律并不完美,所以将它衍伸成了六十律,不过也有资料显示,其法是由其师焦延寿所创,只是于京房手上得以宣扬。


所谓京房六十律者,一律为五音,而共计有十二律,故至共计六十律,因涉及音律其名称繁杂这里便不细说。


只需知晓,京房六十律的推算,如果整理成数学公式是这样的:




上面公式看不懂不要紧,只需要明白出京房的六十律的计算方法中包括幂律分布。


其中构造是为了符合道生一,一生二,二生三的内涵(1的任何次方仍然是1)。


京房六十律对应于六十甲子,而所谓六十甲子,便是将天干与地支相配,阳配阳,阴配阴,逐个挨排而去,共计得六十个干支,称之为六十甲子,这种对应构的律吕,于是就产生了纳音五行。


它的路线比较复杂,但体现了里面的规律,起算的干支开始的,所以按遁甲路线是仲孟季,而其相配的干支开始,则走孟仲季。


比如说,甲子之仲对应于黄钟之商,而下一个商音,则在大吕,而商音属金,所以甲子之仲配乙丑,均纳金。再往下一个商,便到了夷则之商,而算完了甲后,要算的壬,所以就推到了壬申之季,然后再下一个商到了南吕,所以癸酉对于南吕,癸酉也是金。壬申算完,再过八位,于是便到了庚辰之季,自然就到了姑洗之商,壬申辛巳皆纳相同的五行,到此金的三元便结束了,再往下则到了戊子仲对应于黄钟之徵,所以是属火的。


虽是说的复杂,总结下来其实比较简单,只要以金自西行为始,从甲子起依照“同类娶妻,隔八生子”,按照仲孟季逆行,火—木—水—土,则三十纳音五行全备,五音一终,再行甲午,同理又得另三十甲子纳音五行。



当然这个不明白仍然没有问题,只需要明白纳音并不是凭空而来,背后是有着一套非常严密的数理逻辑。


上面算法是比较复杂的,而在抱朴子中提出来一种简便算法,《仙药》章推人五音六属中提出:“子午属庚,丑未属辛,寅申属戊,卯酉属己,辰戌属丙,巳亥属丁”。


并在内篇中更言:“一言得之者,宫与土也;三言得之者,徵与火也;五言得之者,羽与水也;七言得之者,商与金也;九言得之者,角与木也。”


这意思就是说,如果算得一,那么就是属土,算得三,就是属火的,算得五就是属火的,算得七,就是属金的,算得九就是属木的。


因据道经中记载:,南方丹天之气三,北方玄天之气五,西方素天之气七,东方苍天之气九。”


     三

九   一   七

     五  


而落宫的五行仍然是使用的是河图五行即:


     火

木  土   金  
     水

     

实际上这就是五子归庚的模型,如果读过以前在下写的对《五斗金章受生经》的解读那么会对其有更深刻的体会。


现在来说上面的口诀是怎么用的,比如甲子年生的人,口诀是“子午属庚”,子是属庚,而甲到庚是七位,七对应的五行是金,所以甲子的纳音五行便是金。


又比如今年丙申年,口诀是“寅申属戊”,申是属戊的,而丙到戊三位,而三对应的是火,所以丙申的纳音便是火。


其它皆仿此。


这样的称为纳支法,即将支与干所结合在了一起,而背后它们是通过纳音联系起来的,当支纳在到干上后,可以分别与河图五行进行对应。


干与支、律吕、纳音,这是一套严密的系统。


然而的问题便,如果要将它们与天象进行对应,应该如何进行?


提到这个便需要又提到,传言纳甲之术,始于京房,大凡用六爻算卦的人,多是要称一声京房先师的。


因为每一个六爻卦,都可以由两个三爻卦构成,而一共有八个三爻卦,纳甲其实就是把八卦与干支进行了对应,其对应关系是这样的:乾纳甲壬,坤纳乙癸,震纳庚,巽纳辛,坎纳戊,离纳己,艮纳丙,兑纳丁。


然而京房其实并明显没有说纳甲是怎么来的,所幸的是,在《周易参同契》,它将纳甲做了完美的解释。


三日出为爽,震庚受西方。八日兑受丁,上弦平如绳。十五乾体就,盛满甲东方。蟾蜍与兔魄,日月(炁)双明,蟾蜍视卦节,兔者吐生光。七八道已讫曲折低下降,十六转受统,巽辛见平明,艮直于丙南,下弦二十三,坤乙三十日,东北丧其朋。节尽相禅与,继体复生龙,壬癸配甲乙,乾坤括始终。


这是说,初三的时候,月出在庚方,而初八的时候在丁方,十五的时候月出现在甲方,等到十六的时候,它又出在辛方,然后二十三又到了丙方,三十又到了乙方。


为了保证准确性,贫道了采用的美国喷气推进实验最新提供的DE431星历表数据对公元前的星象进行了推算,可以确定这个是正确的。


在初三的时候,月是一个月牙状的,初八的时候已经是半月了,到了十五的日便成了满月,如果画成图,它是这个样子的。







周天三百六十度,分成八个部分,而戊己居中而不显,推到公元前200年的星象进行核对,可以判断出古人在上半月是在酉时进行观测。


上面的图,敏锐一点便会发现,壬癸为水,甲乙为木,丙丁为火,庚辛为金,它与河图是一致的。


如此可以看出,当初三月牙状时,如果将有光部分看成阳,没有光的部分看成阴,那么就构成了个震卦,而到了初八变成了月相兑卦,到了十五,变成了乾卦。


初三              初八             十五

---   ---           ----   ----         ----------

---   ---           ----------          ----------

---------          -----------         ----------


到此便会明白,八卦纳甲,所纳之天干,代表的是月出现的方位,而八卦代表的是月相。


如果细心研读的,看到了这里,会疑惑到了十六,仍然还是乾卦,怎么一下子转到辛方去了?


实际上过了十五以后,观测便不是在酉时,而是换到了卯时,所以方位全部发生了变化。


古人说卯酉者,日月出入之门户。


所以卦与天干的对应,便如此形成了。


在研究纳音、纳甲、还有京房六十律的时候,很多人往往弄反了一个问题,认为是先有纳甲的纳干与纳支,然后才了纳音,然后才有了六十律对应,所以搞得混乱一片。


实际上,是先有了纳音,然后才有了干支对应关系,然后才将卦与干进行对应,形成了后世使用的京房纳甲。


因为在秦简日书上早已有六十甲子纳音,而其写于战国晚期及秦始皇时期,并史上亦有资料记载说:““焦延寿独得隐士之说,托之孟氏,不相与同。房以明灾异得幸".


所以纳音的出现远远早于京房所公布的系统,而后世说的京房体系,实际上是用采用纳音作为线索推演出来。


如果明白了这个源流,那么再看京房易传中写的卦气说:“立春正月节,在寅,坎卦初六,立秋同用。雨水正月中,在丑,巽卦初六,处暑同用。惊蛰二月节,在子,震卦初九,白露同用。春分二月中,在亥,兑卦九四,秋分同用。三月节,在戌,艮卦,寒露同用。谷雨三月中,在酉,离卦九四,霜降同用。立夏四月节,在申,坎卦,立冬同用。小满四月中,在未,巽卦,小雪同用。芒种五月节,在午,震宫九四(注:四库本误为乾宫九四),大雪同用。夏至五月中,在巳,兑宫初九,冬至同用。小暑六月节,在辰,艮宫初六,小寒同用。大暑六月中,在卯,离宫初九,大寒同用。”


会变得非常简单,将每一卦都对天干地支进行对应,取爻位干支对应节气,如下图所示。



冬至从兑宫初九开始,为丁巳,丁巳五子归庚为一

小寒从艮宫初六开始,为丙辰,丙辰五子归庚为一

大寒从离宫初九开始,为己卯,己卯五子归庚为一

................

大雪从震宫九四开始,为庚午,庚午五子归庚为一


清晰明了。

友情链接

Copyright © 2023 All Rights Reserved 版权所有 北京物流信息联盟