北京物流信息联盟

生物统计专题 一元线性回归

2022-07-14 08:22:17

请点击上方蓝字关注我们:)


上期内容回顾

上期我们着重介绍了重复测量方差分析和多因素方差分析,下面一起来回顾一下吧:

重复测量方差分析:直接调用aov()函数,但是要注意此函数中的formula格式需加改动;图示法显示分析结果,直接调用interaction.plot()函数

多因素方差分析直接调用aov()函数,对数据进行多因素方差分析

温馨提示温故而知新,点击文章末尾“阅读原文”查看上期内容~~

本期内容导读

从许多方面来看,回归分析都是统计学的核心。它其实是一个广义的概念,通指那些用一个或多个预测变量(也称自变量或解释变量)来预测响应变量(也称因变量或被解释变量)的方法,也是实际应用中重要的定量研究方法。本期从基本的一元线性回归开始,为大家介绍一些基础的概念和常用函数。

调用函数

在R中,拟合线性回归分析最基本的函数就是lm(),格式为

lm(formula, data)

参数解释:

formula指要拟合的模型形式,data是一个数据框,包含了用于拟合模型的数据。表达式(formula)形式如下:

Y ~ x1 + x2 + ... + xk

~ 左边为响应变量/因变量,右边为各个预测变量/自变量,预测变量/自变量之间用+符号进行分隔。公式中常使用的符号及含义如下表所示:

R表达式中常用的符号
符号解释
~分隔符,左边为响应变量,右边为解释变量,如y~ x,表示x预测y
+连接解释变量,如y~ x1+x2,表示x1,x2预测y
:变量交互项,如y~x1+x2+x1:x2,表示使用x1,x2及x1和x2的相互项预测y
*所有可能项与其交互项,如y~x1*x2,展开为y~x1+x2+x1:x2
^交互项达到的次数,如y~(x1+x2+x3)^2,展开为y~x1+x2+x3+x1:x2+x1:x3+x2:x3
.除因变量以外的所有变量,如y~.,(假设共有x1,x2,x3,y四个变量),表示y~x1+x2+x3
-可以删除某个变量,如y~x*z-x:z展开为x+z
-1删除截距,即直线强制过原点


除了lm(),进行回归分析时还有一些其他的函数也比较常用。拟合模型后,将这些函数应用于lm()返回的对象,可以得到更多额外的模型信息。


对拟合线性模型非常有用的其它函数
函数用途
summary()展示拟合模型的具体结果
coefficients()返回模型的参数(截距和斜率)
confint()提供模型参数的置信区间(默认为95%)
fitted()列出拟合模型的预测值
residuals()返回拟合模型的残差值
anova()生成拟合模型的方差分析表
vcov()返回模型参数的协方差矩阵
plot()生成模型拟合的诊断图
predict()用拟合模型度新数据集预测响应变量值


一元线性回归示例

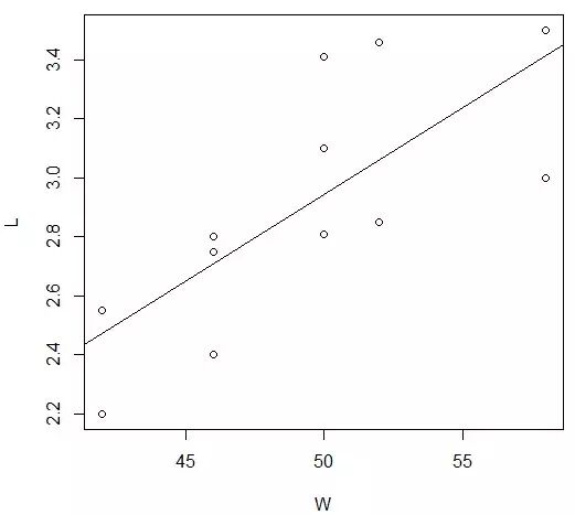
某单位对12名女工进行体检,体检项目包括体重(W/kg)和肺活量(L/L),数据如下表所示,建立肺活量(因变量)与体重(自变量)的线性回归关系。


操作步骤如下:


这里的模型参数的检验,均为针对参数与0是否有显著性差异的检验,所以该模型中截距与差异不显著,而相关指数较小说明模型拟合结果并不是很好,这时需要回归诊断等方法,确定离群点并删除,或者增加数据以提高模型拟合的准确性,关于回归诊断以后会具体介绍,这里暂时略过。

若想要取出某个的模型参数,就需要应用到上述中的常用函数,这里举例展示:


拟合模型图形


拓展延伸

R中自带数据集women提供了女性的身高及体重,通过线性回归的方法,可以用女性的身高预测体重,有兴趣的读者可以自己拟合一下!

关于plot()函数,在本章中会对拟合结果进行回归诊断,它返回的诊断图像的含义可以通过R中自带的帮助系统查询plot.lm()函数得到介绍,有兴趣的读者赶快打开看看吧!

关注我们

—官方网站—

R语言中文网 www.r-china.net

—官方QQ群—

R语言中文论坛-2(1000人群):427060123

R语言中文论坛(2000人群,已满):74076289

Biostatistician(500):186701945

—官方微博—

新浪微博:@R语言中文网官网

—官方微信—

微信名:R语言中文网 微信号:rchinanet



点击“阅读原文”查看上期重复测量方差分析和多因素方差分析内容!喜欢就点赞鼓励一下~

友情链接

Copyright © 2023 All Rights Reserved 版权所有 北京物流信息联盟