2022-03-10 09:25:50
《测绘学报》
构建与学术的桥梁 拉近与权威的距离
SAR图像河流分割的加权指数区域能量模型
韩斌1, 吴一全1,2,3,4
1. 南京航空航天大学电子信息工程学院, 江苏 南京 211106;
2. , 河南 郑州 450003;;
3. 南京水利科学研究院港口航道泥沙工程交通行业重点实验室, 江苏 南京 210024;
4. 哈尔滨工业大学城市水资源与水环境国家重点实验室, 黑龙江 哈尔滨 150090
收稿日期:2017-03-23;修回日期:2017-07-16
基金项目:国家自然科学基金(61573183);;港口航道泥沙工程交通行业重点实验室开放基金;城市水资源与水环境国家重点实验室开放基金(LYPK201304)
第一作者简介:韩斌(1990-),男,博士生,研究方向为遥感图像处理。E-mail:909907566@qq.com
通信作者:吴一全, E-mail:nuaaimage@163.com
摘要:传统主动轮廓模型很难实现精确的SAR图像河流分割。针对这一问题,本文提出了一种加权指数区域能量主动轮廓模型,以精确地提取SAR图像中的河流。该模型在Chan-Vese(CV)模型能量泛函中引入了指数区域能量,能更好地衡量分割图像和原始图像的差异程度,提高模型的分割准确性。此外,利用目标区域和背景区域内像素灰度的最大绝对差取代模型中常值区域能量权重,自适应地调节目标区域和背景区域的能量比重,加速曲线运动到目标区域的边缘,获得更高的分割效率。针对实际河流SAR图像进行了分割试验,结果表明:与传统主动轮廓模型相比,本文提出的模型能更快速、精确地分割SAR图像中的河流,在分割结果和分割效率两方面具有优势。
关键词:SAR图像 河流分割 主动轮廓模型 指数区域能量 最大绝对差
Weighted Exponential Region Energy Model for River Segmentation of SAR Images
HAN Bin1, WU Yiquan1,2,3,4
Abstract: The traditional active contour models can hardly achieve the accurate river segmentation of SAR images. To solve this problem, a novel active contour model with weighted exponential region energy is proposed, which can extract rivers in SAR images accurately. The exponential region energy is incorporated into the energy functional of the Chan-Vese model, which can measure the difference between the segmented image and the original image, resulting in the improvement of segmentation accuracy of the model. In addition, the maximum absolute differences of the pixel grayscale values inside the object and background regions are utilized to replace the original constant region energy weights, which can adaptively adjust the ratios of the object and background region energies and accelerate the motion of the curve towards the boundaries of the object region, resulting in the higher segmentation efficiency. The experiments are performed on real SAR images of rivers and results demonstrate that compared with the traditional active contour models, the proposed model can segment rivers in SAR images more rapidly and accurately and has some advantages in terms of both segmentation performance and segmentation efficiency.
Key words: SAR image river segmentation active contour model exponential region energy maximum absolute difference
河流信息提取和识别对水资源调查与监测、水利设施评估与建设、洪涝灾害防治、水上航道规划等具有重要的现实意义。传统人工测量存在诸多不足,例如测量周期长、不具备实时性、需要花费大量的人力物力等。随着合成孔径雷达(synthetic aperture radar, SAR)遥感成像技术的不断发展,它逐渐应用于对地观测领域。SAR成像具有拍摄周期短、观测范围广、所成图像分辨率高等特点,特别是还具有全天候、全天时的优势,成为了河流信息提取和识别的重要手段之一。图像分割是利用SAR图像提取和识别河流信息的关键技术,因此研究SAR图像河流分割很有必要。
SAR图像河流分割的方法大体可划分为:基于区域的分割方法和基于边缘的分割方法[1]。文献[2]首先对图像进行分块处理,然后依据统计直方图得到河道初始标记信息,再利用结合河道初始标记信息的分水岭方法对SAR图像进行粗分割,最后根据区域邻接图获取河道提取结果。文献[3]采用阈值分割方法分割SAR图像得到初始的河面区域及河岸线部分,再利用SAR图像纹理特征对河岸线进行连通处理,最终实现河面的完整提取。文献[4]提出一种基于小波域和脊线跟踪的河道边缘提取方法。首先利用小波变换数据在相邻尺度上的空间相关性得到初始河道边缘,再利用脊线跟踪法连接间断的河道边缘,以获得完整的河道边缘。文献[5]提出一种基于空间像素模板和Adaboost的分割方法以实现遥感图像中河流的提取。该方法利用过滤波式特征选取获得空间像素模板并构建多维特征向量,然后通过Adaboost集成学习算法完成遥感图像中河流的提取。文献[6]提出一种结合支持向量机和水平集的SAR图像河流检测方法。该方法综合利用SAR图像中河流的特点以及图像中的纹理特征,并通过支持向量机分类器进行河流的粗提取。在此基础上,采用距离正则化水平集方法实现SAR图像中河流的检测。虽然上述方法都能从SAR图像中提取河流信息,但分割准确性或分割效率还有待进一步提高。
自Chan-Vese(CV)[7]模型被提出以来,主动轮廓模型成为了图像分割领域的主要方法之一[8-10]。依据利用图像信息的不同,主动轮廓模型大致可分为3类:全局模型[11-15]、局部模型[16-20]及混合模型[21-24]。近年来,研究者们将主动轮廓模型应用于SAR图像河流分割,取得了较好的结果[25-27]。文献[25]提出一种基于倒数灰度熵和改进CV模型(RGECV)的河流SAR图像分割模型。该模型采用倒数灰度熵对图像进行粗分割,并将粗分割结果作为改进CV模型的初始曲线,利用改进CV模型对图像进行细分割,取得了较好的结果,但仍然不够准确。文献[26]提出一种基于CV模型和交叉熵模型的混合主动轮廓模型(CVCE)来进行SAR图像河流分割。不同于传统主动轮廓模型,该模型利用两种区域像素灰度差异性描述准则,即类内方差和交叉熵,来衡量分割图像和原始图像的差异程度,能更好地抑制SAR图像中干扰区域的影响。然而分割图像中仍存在一些干扰区域,分割准确性有待进一步提高,并且CVCE模型计算量较大,导致分割效率较低。SAR图像一般表示地表后向散射的强度。SAR图像中河流区域后向散射系数相对较小,成像较弱,回波信号接近于零,因此河流区域灰度较低,呈现为黑色区域。而SAR图像中干扰区域的灰度与河流区域的灰度十分接近,利用现有主动轮廓模型分割SAR图像中的河流,干扰区域往往会被误分为河流区域,导致分割效果不佳。综合上述分析,本文提出一种加权指数区域能量主动轮廓模型,以精确分割SAR图像中的河流。该模型在CV模型能量泛函中引入了指数区域能量,能更好地衡量分割图像和原始图像的差异性,提高模型的分割准确性。此外,利用目标区域和背景区域内像素灰度的最大绝对差取代模型中常值区域能量权重,以提高模型的分割效率。
1 CV模型简介
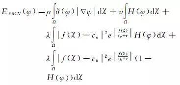
在Mumford-Shah模型的基础上,文献[7]提出了一种新的主动轮廓模型。该模型假设分割图像主要由两个匀质区域组成,即目标区域Ωo和背景区域Ωb。分别用目标区域和背景区域内像素灰度的均值co和cb来表征目标区域和背景区域的灰度特征。于是CV模型的能量泛函可表示为
(1)
式中,f(χ)表示原始图像;L(C)和S(C)分别表示长度和面积规则项;μ、v、λ是相应能量项的权重。ECV(C)中,前两项为内部能量约束项,在曲线演化进程中,维持曲线的光滑程度,后两项为外部能量约束项,在曲线演化进程中,指导曲线运动到目标的边缘。
为了更好处理拓扑变化的问题,引入水平集φ隐含地表达曲线C,则水平集形式的CV模型能量泛函为
(2)
式中,δ(φ)和H(φ)分别表示Heaviside函数、Dirac函数的正则近似化,可由下式计算得到
(3)
(4)
利用变分原理和最速下降法求解式(2),则其梯度下降流方程为
(5)
采用有限差分法离散式(5)并迭代求解,当迭代趋于稳定时,图像分割完成。
2 加权指数区域能量模型描述2.1 指数区域能量主动轮廓模型
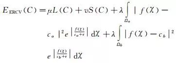
传统CV模型是利用欧氏距离衡量分割图像和原始图像的差异程度,并且依据类内方差最小准则来分割图像。而河流SAR图像中干扰区域的灰度与河流区域的灰度十分近似,因此干扰区域往往会被错分为河流区域。显然,仅利用欧氏距离衡量分割图像和原始图像的差异程度不够准确,无法实现河流SAR图像准确分割。为解决这一问题,提出了一种指数区域能量(ERCV)主动轮廓模型,在CV模型的能量泛函中添加指数区域能量项,进一步约束分割图像和原始图像的差异程度,于是ERCV模型能量泛函的表达式为
(6)
式中,τ是一个小正数,用来避免分母为零没有意义的情况。观察式(6)和式(2)可以发现,式(2)事实上也可认为是计算目标区域和背景区域内像素灰度的类内方差并以此指导曲线逼近目标边缘;而式(6)在计算类内方差时增加了指数约束,能更好地描述目标区域和背景区域内像素灰度的差异程度,因此,ERCV模型能获得更高的分割准确性。
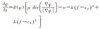
同样采用水平集φ来隐含表达曲线C,则式(6)可改写为
(7)
式(7)可通过变分原理和最速下降法求解,得到其梯度下降流方程
(8)
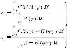
式中,co和cb分别是目标区域和背景区域内像素灰度的均值,其计算式为
(9)
2.2 基于最大绝对差加权的ERCV模型
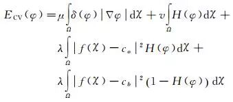
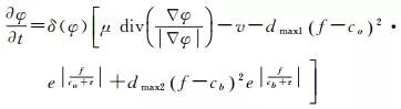
传统主动轮廓模型的区域能量权重λ是常值,而在曲线演化进程中,曲线的位置和轮廓是持续变化的,目标区域和背景区域内像素灰度差异性随之发生改变,导致目标区域和背景区域能量大小也时刻发生变化。显然,采用常值区域能量权重不够合理,会造成模型的分割效率不高。于是引入目标区域和背景区域内像素灰度的最大绝对差来表征目标区域和背景区域内像素灰度差异程度,在曲线演化进程中,能利用其自适应地调节目标区域和背景区域的能量比重,实现曲线的加速演化,提高模型分割效率。因此,将ERCV模型中的常值区域能量权重替换为目标区域和背景区域内像素灰度的最大绝对差,则加权ERCV(WERCV)模型的能量泛函可表示为
(10)
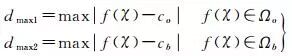
式中,dmax1和dmax2分别表示目标区域和背景区域内像素灰度的最大绝对差,计算式如下
(11)
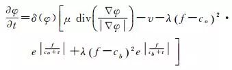
利用变分原理和最速下降法求解式(10),则其梯度下降流方程为
(12)
利用WERCV模型分割图像时,当目标区域内像素灰度差异性大于背景区域内像素灰度差异性,相应的目标区域能量会大于背景区域能量,同时目标区域内像素灰度的最大绝对差也大于背景区域内像素灰度的最大绝对差,即dmax1>dmax2。在随后的曲线演化进程中,目标区域能量的比重大于背景区域能量的比重,目标区域能量起主导作用,加速曲线逼近目标边缘;反之亦然,当背景区域内像素灰度差异性大于目标区域内像素灰度差异性,相应的背景区域能量会大于目标区域能量,同时背景区域内像素灰度的最大绝对差也大于目标区域内像素灰度的最大绝对差,即dmax2>dmax1。在随后的曲线演化进程中,背景区域能量的比重大于目标区域能量的比重,背景区域能量起主导作用,同样加速曲线逼近目标边缘。
依据上述分析,将WERCV模型的优势总结如下:
(1) 利用WERCV模型分割图像,能获得更准确的分割结果。大部分现有主动轮廓模型是利用欧氏距离来衡量分割图像和原始图像的差异程度并遵守类内方差最小准则来分割图像,干扰区域往往会被误分为目标区域,分割结果不够理想。WERCV模型在CV模型能量泛函中增加了指数区域能量项,增强了分割图像和原始图像差异性的约束,能更精确地衡量分割图像和原始图像的差异程度,因此WERCV模型能更准确地分割图像。
(2) 利用WERCV模型分割图像,具有更高的分割效率。现有主动轮廓模型中,区域能量权重是常值,不会随着曲线位置和轮廓的变化而发生改变。然而目标区域和背景区域能量的大小同样是时刻变化的,利用常值区域能量权重显然不合理。WERCV模型采用目标区域和背景区域内像素灰度的最大绝对差作为区域能量权重,能自适应地调节目标区域和背景区域能量的比重,加速曲线逼近目标边缘。因此WERCV模型能更高效地分割图像。
3 试验与结果分析
为了验证提出模型的有效性,分别采用CV模型、LRCV模型、RGECV模型、CVCE模型以及提出模型对实际河流SAR图像进行了分割试验,并对比、分析了试验结果。试验环境为:CPU型号为Intel Core i7-3610QM,主频2.30 GHz,内存4 GB,仿真软件Matlab R2014A,操作系统为Windows 7。试验图像是由加拿大航天局和MDA公司联合研制的RADARSAT-2卫星拍摄,该卫星工作波段为C波段,分辨率为3 m,入射角为30°~40°。图 1、图 2为两幅河流SAR图像及其5种模型的分割结果。其中,图 1(a)、图 2(a)均为原始河流SAR图像,图 1(b)—(f)、图 2(b)—(f)均分别表示CV模型、LRCV模型、RGECV模型、CVCE模型以及提出模型(WERCV)的分割结果。相关模型的试验参数为:在CV模型和RGECV模型中,μ=0.01×255×255,v=0,λ=1,Δt=0.1,ε=1;在LRCV模型,μ=0.01×255×255,λ=1,Δt=0.1,ε=1,σ=3;在CVCE模型和WERCV模型中,μ=0.01×255×255,v=0,Δt=0.1,ε=1。
| 图 1 原始河流SAR图像1及其5种模型的分割结果Fig. 1 The original SAR image of river 1 and its segmentation results by five models |
图选项 |
| 图 2 原始河流SAR图像2及其5种模型的分割结果Fig. 2 The original SAR image of river 2 and its segmentation results by five models |
图选项 |
为了更好地对比和分析河流SAR图像的分割结果,首先总结了河流SAR图像的特征:①河流SAR图像主要由河流区域和背景区域组成。河流区域相对较暗,灰度值较低,可将其当做匀质区域;与河流区域相比,背景区域相对较亮,灰度值较高,是非匀质区域。②除前面两区域外,SAR图像中还存在一些干扰区域,其灰度值与河流区域十分接近,往往会被错分为河流区域。仅依据图像灰度特征,很难将干扰区域和河流区域完全区分出来。
在图 1、图 2中,图(b)表示CV模型的分割结果,显然分割效果并不令人满意,分割图像中还存在一些干扰区域。CV模型是利用欧氏距离衡量分割图像和原始图像,依据类内方差最小准则分割图像;此外,SAR图像中的干扰区域灰度与河流区域灰度十分近似。上述两原因导致CV模型很难将河流区域和干扰区域完全区分开来。LRCV模型的分割结果在图(c)中展示,分割效果并不优异。事实上,LRCV模型可认为是CV模型的局部形式,该模型将CV模型中的全局区域拟合中心替换为局部区域拟合中心,所以LRCV模型能处理非匀质图像。而SAR图像中河流区域是匀质区域,背景区域是非匀质区域,利用LRCV模型分割SAR图像中的河流,结果并不理想,分割效果比CV模型差。图(d)表示RGECV模型的分割结果。RGECV模型首先采用倒数灰度熵多阈值方法对SAR图像中的河流进行粗分割,粗分割的结果作为二次分割的初始条件。然后将CV模型中的Dirac函数替换为边缘强度指示函数,利用改进CV模型对SAR图像中的河流进行细分割。然而RGECV模型的分割效果与CV模型相差不大,只是在分割效率方面有所提高。图(e)表示CVCE模型的分割结果,分割效果好于CV模型。与CV模型不同,CVCE模型利用两种区域像素灰度差异性描述准则,即类内方差和交叉熵,来描述河流区域和背景区域内像素灰度的差异程度,能较好地抑制SAR图像中干扰区域的影响。因此,CVCE模型能获得较好的分割结果,但分割图像中仍存在一些干扰区域,分割准确性有待进一步提高。WERCV模型的分割结果在图(f)中展示,分割效果最佳。WERCV模型是在CV模型能量泛函中添加了指数区域能量项,增强了分割图像和原始图像差异性的约束,能更加精确地衡量分割图像和原始图像的差异程度。因此,WERCV模型能很好地抑制干扰区域对分割结果的影响,可以实现SAR图像中河流的准确分割。
为了更加客观地比较5种模型的分割效果,给出上述2幅SAR图像的人工分割结果作为参考图像,如图 3所示。
| 图 3 河流SAR图像人工分割结果Fig. 3 Manual segmentation results of SAR images of rivers |
图选项 |
选择准确率(Ac)和虚警率(FA)来定量评价5种模型的分割效果。准确率和虚警率的计算式如下
(13)
(14)
式中,TP表示正确分割的河流像素;FP表示错误分割的河流像素;TN表示正确分割的背景像素;FN表示错误分割的背景像素。依据式(13)和式(14)计算上述分割结果的准确率和虚警率(见表 1)。
表 1 5种模型分割结果的准确率和虚警率Tab. 1 The accuracy and false alarm of segmentation results by five models(%)
| (%) | |||
| 图 1 | 图 2 | ||
| 准确率/虚警率 | 准确率/虚警率 | ||
| CV模型 | 89.9/32.0 | 88.3/25.7 | |
| LRCV模型 | 89.8/31.9 | 76.5/41.1 | |
| RGECV模型 | 91.3/28.6 | 85.6/30.1 | |
| CVCE模型 | 94.3/19.5 | 96.5/9.3 | |
| WERCV模型 | 98.0/8.6 | 99.5/1.4 | |
表选项
由表 1可知,本文模型的准确率最高,在95%以上;虚警率最低,在10%以下。综合准确率和虚警率2个定量评价指标,本文模型在分割效果上有较大优势。
为了更加客观地评价上述5种模型的分割效率,将它们的迭代次数和运行时间列于表 2中。
表 2 5种模型迭代次数和运行时间Tab. 2 Iterations and running time of five models
| s | |||
| 图 1 | 图 2 | ||
| 迭代次数/运行时间 | 迭代次数/运行时间 | ||
| CV模型 | 105/3.32 | 95/2.99 | |
| LRCV模型 | 135/8.92 | 105/7.26 | |
| RGECV模型 | 100/2.98 | 80/2.21 | |
| CVCE模型 | 145/10.47 | 120/8.36 | |
| WERCV模型 | 45/0.95 | 35/0.71 | |
表选项
依据表 2可知,CV模型的迭代次数和运行时间适中。CV模型目标区域和背景区域的能量权重是常值,不能自适应地调节能量的比重,导致曲线演化较慢,因此CV模型分割效率一般。LRCV模型是CV模型的局部形式。该模型将CV模型中的全局区域拟合中心替换为局部区域拟合中心,计算量有所增大,因此所需迭代次数和运行时间多于CV模型。LRCV模型的分割效率相对较低。RGECV模型将CV模型中的Dirac函数替换为边缘强度指示函数,加速曲线运动到目标边缘。所需迭代次数和运行时间要少于CV模型,RGECV模型的分割效率相对较高。CVCE模型是CV模型和交叉熵模型的结合,利用两种区域像素灰度差异性描述准则来衡量分割图像和原始图像的差异程度,计算量有较大程度的增大,因此CVCE模型的迭代次数和运行时间最多,分割效率最低。WERCV模型是在CV模型的能量泛函中增加了指数区域能量项,计算复杂度提升不多。并且还引入目标区域和背景区域内像素灰度的最大绝对差作为区域能量权重,替换模型中原有的常值能量权重,能自适应地调节目标区域和背景区域的能量比重,加速曲线逼近目标边缘,很大程度地提高了模型的分割效率。因此,WERCV模型所需迭代次数和运行时间最少,分割SAR图像中的河流效率最高。
4 结 论
SAR图像背景区域灰度复杂,是非匀质图像,传统主动轮廓模型难以准确分割SAR图像中的河流。针对这一问题,本文提出了一种加权指数区域能量主动轮廓模型,以实现准确的SAR图像河流分割。该模型在CV模型能量泛函中增加了指数区域能量项,增强了分割图像和原始图像差异性的约束,能更好地衡量分割图像和原始图像的差异程度,提高模型的分割准确性。此外,将模型中原有的常值区域能量权重替换为目标区域和背景区域内像素灰度的最大绝对差,能自适应地调节目标区域和背景区域的能量比重,加速曲线逼近目标边缘,提高模型的分割效率。试验结果表明:与现有主动轮廓模型相比,提出模型能更快速、准确地分割SAR图像中的河流,在分割结果和分割效率两方面均具有优势。本文模型主要适用于水面静止的河流SAR图像,图像中河流区域灰度较单一,范围大致在0~60。另指出本文模型的不足,其在分割图像时,仅利用了全局图像信息,没有考虑局部图像信息,在后续研究工作中将引入局部图像信息,进一步提高模型的分割性能。
【引文格式】韩斌,吴一全。SAR图像河流分割的加权指数区域能量模型[J]. 测绘学报,2017,46(9):1174-1181. DOI: 10.11947/j.AGCS.2017.20170134
更多精彩内容:
院士论坛| 高俊:图到用时方恨少, 重绘河山待后生——《测绘学报》60年纪念与前瞻
权威 | 专业 | 学术 | 前沿
微信投稿邮箱 | song_qi_fan@163.com
微信公众号中搜索「测绘学报」,关注我们,长按上图二维码,关注学术前沿动态。
欢迎加入《测绘学报》作者QQ群: 297834524
进群请备注:姓名+单位+稿件编号
相关推荐
友情链接
Copyright © 2023 All Rights Reserved 版权所有 北京物流信息联盟
